Хронофармакологические аспекты антистрессорного действия анксиолитических средств
- Авторы: Ованесов К.Б.1, Бейер Э.В.2, Каминская О.В.2, Эльбекьян К.С.2, Скорняков А.А.2, Алексанова Е.М.2
-
Учреждения:
- Северо-Западный государственный медицинский университет им. И.И. Мечникова
- Ставропольский государственный медицинский университет
- Выпуск: Том 14, № 1 (2023)
- Страницы: 40-48
- Раздел: Экспериментальная нейропсихофармакология
- URL: https://medbiosci.ru/1606-8181/article/view/253498
- ID: 253498
Цитировать
Полный текст
Аннотация
Актуальность. Любое стрессорное воздействие, будучи возмущающим фактором, неизменно сопровождается дезорганизацией биологических ритмов.
Цель — изучить эффекты стресса и фармакологических веществ на двух моделях временной организации поведения — циркадианной локомоции и динамике плавания крыс.
Материалы и методы. Суточную динамику подвижности крыс оценивали в специально сконструированном приборе, состоящем из соединенных с компьютером жилых клеток. Каждая клетка связана с кнопкой посредством рычага и шарнира. При перемещении крысы из одного конца бокса в другой контакт замыкался, и программа в автономном режиме суммировала число таких перемещений за каждый час эксперимента. Подсчитывали общее количество переходов за 3-часовые промежутки с последующим построением хронограммы циркадианного ритма подвижности. Для оценки влияния веществ на циркадианный ритм крысам внутрибрюшинно вводили анксиолитики диазепам (0,1 мг/кг), тофизопам (10 мг/кг) и эпифизарный гормон мелатонин (0,1 мг/кг). Контролем служили инъекции аналогичного объема (0,5 мл) физиологического раствора.
Результаты. Вещества с анксиолитическими свойствами: бензодиазепиновые производные диазепам (0,1 мг/кг) и тофизопам (10 мг/кг), а также эпифизарный гормон мелатонин (0,1 мг/кг) — сходным образом устраняют вызванную стрессом дизритмию у крыс. Под их влиянием нормализуется циркадианный ритм двигательной активности и наблюдаются адаптивные сдвиги во временной динамике принудительного плавания.
Заключение. Однократное стрессирование дезорганизует динамику суточной подвижности у крыс. Диазепам, тофизопам и мелатонин, различаясь по силе действия, в целом ослабляют эти нарушения. Особенно ясно показано, что анксиолитики восстанавливают ритм у высокочувствительных к стрессу животных. Исследованные вещества реорганизуют временную динамику принудительного плавания крыс с увеличением доли длиннопериодных колебаний в его структуре. Первичная либо вторичная ликвидация стрессорной дизритмии, очевидно, является важным элементом специфического действия анксиолитических средств.
Полный текст
АКТУАЛЬНОСТЬ
Любое стрессорное воздействие, будучи возмущающим фактором, неизменно сопровождается дезорганизацией биологических ритмов [1, 2]. Отсюда априори действие антистрессорных средств должно приводить к устранению дизритмии. Поскольку прямые доказательства в пользу указанного положения отсутствуют, изучены эффекты стресса и фармакологических веществ на двух моделях временной организации поведения — циркадианной локомоции и динамике плавания крыс. В этих условиях сопоставлены свойства бензодиазепиновых анксиолитиков (диазепама и тофизопама) и эпифизарного гормона мелатонина, который также демонстрирует противотревожное действие [3–5].
МАТЕРИАЛЫ И МЕТОДЫ
Опыты выполнены на 32 белых нелинейных крысах-самцах массой 180–220 г. Суточную динамику подвижности животных оценивали в специально сконструированном приборе, состоящем из соединенных с компьютером жилых клеток. Каждая клетка связана с кнопкой посредством рычага и шарнира. При перемещении крысы из одного конца бокса в другой контакт замыкался, и программа в автономном режиме суммировала число таких перемещений за каждый час эксперимента. Подсчитывали общее количество переходов за 3-часовые промежутки с последующим построением хронограммы циркадианного ритма подвижности. Для характеристики амплитуды ритма использовали индекс в виде отношения всего числа ночных переходов к дневным (в условных единицах — у. е.). Животные находились в жилых клетках круглосуточно при фиксированном световом режиме: включение света — 8 ч, отключение — 20 ч.
После регистрации исходной подвижности животных подвергали острому стрессу (в период с 19:00 до 20:00 ч). С этой целью на 18 минут крыс помещали в резервуар с водой (температурой 28 °С), попутно оценивая их плавательное поведение. Определяли общую продолжительность отдельных слагаемых поведения: активного плавания (энергичные гребковые движения всеми конечностями), пассивного плавания (слабые гребки задними лапами) и неподвижности (иммобилизации). В соответствии с ранее описанным хронобиологическим подходом [6] в структуре активного плавания и иммобилизации выделяли периоды разной продолжительности — менее 6, 6–18, 18–36 и более 36 с.
Далее всех животных разделили на 4 группы (по 8 особей) и внутрибрюшинно вводили анксиолитики диазепам (0,1 мг/кг), тофизопам (10 мг/кг) и эпифизарный гормон мелатонин (0,1 мг/кг). Животные контрольной группы получали инъекции аналогичного объема (0,5 мл) физиологического раствора. Оценив влияние фармакологических веществ на циркадианный ритм интактных крыс, спустя 5–7 дней их повторно подвергали плавательному стрессу, но уже на фоне применения изучаемых препаратов, вводившихся за 30 мин до стрессирования. Статистический анализ и сопоставление вариационных рядов производили при помощи метода Манна — Уитни и критерия Стьюдента.
РЕЗУЛЬТАТЫ И ИХ ОБСУЖДЕНИЕ
Динамика суточной подвижности
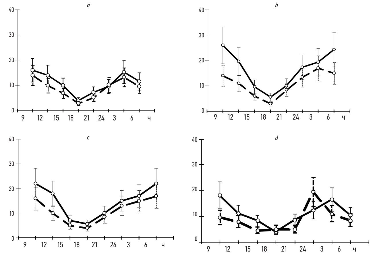
Исходная локомоторная активность крыс, ведущих, как известно, ночной образ жизни, была выше в темновую фазу суток с максимумом в 24 ч и минимумом в середине светового дня (12–15 ч). В результате показатель амплитуды ритма оказывался достаточно высоким (3,4 ± 0,4 у. е). Вечернее предъявление плавательного стресса у большинства животных (80 %) вызывало резкую дезорганизацию циркадианного ритма, проявлением чего служило сглаживание ночной и, напротив, усиление дневной подвижности со смещением ее акрофазы на ранние утренние часы. В ряде случаев наблюдали расщепление кривой суточной локомоции на ультрадианные составляющие либо инверсию ритмики (в 40 %) с учащением движений в световой период. Вследствие этого падала величина амплитуды ритма (1,35 ± 0,2 у. е., p < 0,01; рис. 1).
Рис. 1. Влияние диазепама (b), тофизопама (c) и мелатонина (d) на циркадианную подвижность стрессированных крыс в сравнении с контрольным введением физиологического раствора (a). Сплошной линией обозначены исходные хронограммы подвижности, пунктирной — после инъекций соответствующих веществ
Fig. 1. Effect of diazepam (b), tofizopam (c), and melatonin (d) on circadian motility in stressed rats compared with control rats receiving saline injections (a). The solid line indicates the initial chronograms of motility, and the dotted line indicates the chronograms after injections of the respective substances
Контрольное введение физиологического раствора животным, не подвергавшимся предварительному стрессу, учитывая стрессирующий характер самой процедуры инъекции, вызывало некоторые изменения в динамике циркадианной подвижности в виде небольшого сглаживания колебательной кривой без значимых отклонений от исходных данных. Что касается сочетания введения физиологического раствора и плавательного стресса, то в такой ситуации вообще отсутствовали какие-либо дополнительные сдвиги в паттерне суточной локомоторной активности в силу очевидного превалирования эффекта последнего фактора.
Диазепам в достаточно низкой дозе (0,1 мг/кг) заметно не влиял на исходный ритм подвижности, меняя в то же время ответ на стресс (рис. 1, b). В целом по всей группе крыс можно было констатировать определенное повышение четкости рисунка кривой суточной подвижности из-за достоверного ограничения числа дневных переходов по камере, за счет чего несколько возрастала амплитуда (с 1,1 ± 0,16 при стрессе до 1,4 ± 0,15 у. е. после введения препарата). При этом положение акрофазы ритма отличалось крайней нестабильностью, широко варьируя у отдельных особей — с 3 до 12 ч. Cуммарный подход маскировал индивидуальные особенности реакции животных на стресс при использовании вещества. Между тем если стрессорное воздействие грубо деформировало циркадианный ритм, то анксиолитик способствовал его более успешной нормализации. Сходное действие оказывал другой бензодиазепиновый анксиолитик — тофизопам. На фоне его использования также отмечена синхронизация ритма двигательной активности и повышение его амплитуды (до 1,55 ± 0,1 у. е., p < 0,05).
Эпифизарный гормон мелатонин демонстрировал более отчетливые хронотропные свойства. Это проявлялось в усилении исходной ночной подвижности со смещением акрофазы на поздние часы. В условиях стрессирования показано формирование более контрастного циркадианного ритма, судя по возрастанию его амплитуды (с 1,07 ± 0,16 при стрессе до 1,9 ± 0,2 у. е. после введения гормона, при р < 0,01). К тому же максимум подвижности весьма регулярно (в 70 % случаев) приходился на 24 ч (рис. 1, c). При индивидуальном анализе у животных, высокочувствительных к стрессу, синхронизующее действие мелатонина было выражено гораздо отчетливее.
Таким образом, на изученной хронобиологической модели у всех исследованных анксиолитиков выявлена разной степени выраженности антистрессорная активность. Препараты ослабляют индуцированное стрессом дневное повышение локомоции, предотвращая инверсию циркадианного ритма.
Временная динамика принудительного плавания
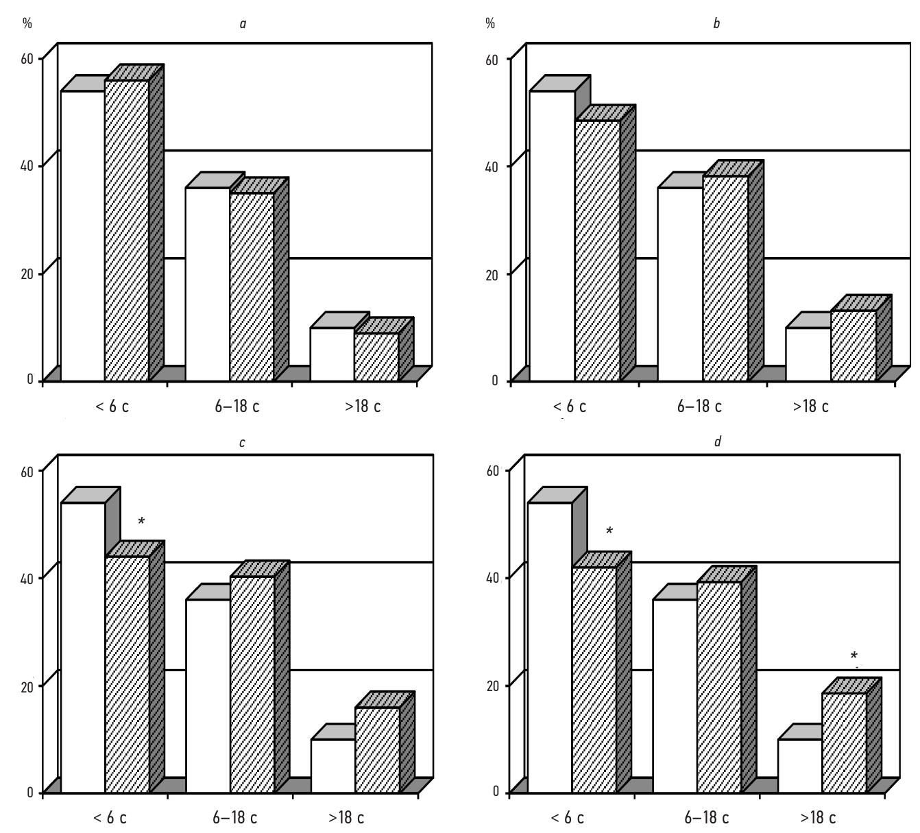
Согласно ранее представленным сведениям [6], плавательное поведение крыс является ритмологическим феноменом в силу последовательного чередования 3 основных состояний: активного и пассивного плавания, а также иммобилизации. Каждое из этих состояний, в свою очередь, складывается из циклов разной продолжительности. В соответствии с приведенными нами выше и литературными данными принудительное плавание для животных одновременно и сильная стрессорная реакция. Ее ритмические составляющие позволяют судить не только о выраженности ответа на стресс, но и о степени адаптированности поведения. Критерием адаптации крыс к стрессу при повторном помещении их в резервуар с водой служит увеличение доли длиннопериодных эпизодов активного плавания и иммобилизации [6].
Как свидетельствуют результаты настоящего исследования, несмотря на некоторые индивидуальные различия в ритмической структуре плавания, в целом для поведения интактных животных было характерным достаточно значительное содержание высокочастотных циклов (длительностью до 6 с), независимо от формы активности. Количество же эпизодов средней (6–18 с) и особенно большой (свыше 18 с) продолжительности оказывалось заметно меньше. Дополнительное стрессирование инъекцией физиологического раствора в контрольной группе существенно не меняло ритмический паттерн подвижности с незначительным ростом числа самых коротких циклов (рис. 2, a). Под влиянием диазепама наблюдалось усиление плавательной активности крыс. Возрастанию общего времени активного плавания сопутствовало ограничение доли пассивного плавания и иммобилизации. Одновременно перестраивалась ритмическая структура плавания с преимущественным увеличением количества более продолжительных периодов активности. В итоге соотношение между основными гармониками ритма смещалось в пользу длительных эпизодов (рис. 2, b).
Сходное действие оказывал тофизопам. Под его влиянием доля активного плавания возрастала еще в большей степени, и сдвиги в ритмической структуре поведения были более отчетливыми (рис. 2, c). Близкий по конечному результату, но несколько отличный по качественным показателям эффект вызывал мелатонин. Его воздействие сводилось к достоверному ограничению самых коротких циклов как активного плавания, так и неподвижности. Сдвиг в сторону более длительных состояний был нерезким, но достаточно стабильным (рис. 2, d).
Рис. 2. Изменение соотношения периодов разной длительности (в %) в ритмической структуре плавания крыс под влиянием различных анксиолитиков. Светлые столбики означают исходные данные, заштрихованные — результаты применения физологического раствора (a), диазепама (b), тофизопама (c) и мелатонина (d), *p < 0,05 к исходным данным
Fig. 2. Changes in the ratio of periods of different durations (in %) in the rhythmic structure of swimming in rats treated with different anxiolytics. The light bars denote baseline data, and shaded bars denote the results of the administration of physiological solution (a), diazepam (b), tofizopam (c), and melatonin (d), *p < 0.05 to background data
Следовательно, адаптивная перестройка ритмической структуры плавания в виде замедления колебательного процесса с увеличением доли продолжительных циклов носит достаточно универсальный характер и свойственна анксиолитикам разного типа. Существенно, что такая реорганизация плавательной активности наблюдается независимо от превалирующей формы поведения (активного плавания либо иммобилизации).
ОБСУЖДЕНИЕ
Резюмируя представленные факты, правомерно констатировать, что исследованные противотревожные вещества при различии в их фармакологических свойствах тем не менее сходно вмешиваются в динамику не только циркадианного ритма локомоции, но и минутных колебаний принудительного плавания. За показатели их дестрессирующего действия можно принять тенденцию к восстановлению ритма суточной подвижности, дезорганизуемого стрессом, и адаптивный сдвиг плавательной ритмики в сторону более медленных флюктуаций. Иными словами, анксиолитики способствуют ослаблению стрессорной дизритмии и облегчают формирование более синхронизованных колебаний.
Несмотря на принципиальное сходство хронофармакологического ответа, обнаружена его неодинаковая выраженность у разных препаратов. Наиболее интересным представляется то обстоятельство, что эталонный анксиолитик диазепам несколько уступал по активности эпифизарному гормону мелатонину, хотя оба вещества использовались в одинаковой дозе (0,1 мг/кг). Эта доза несколько ниже той, которую чаще применяют в психофармакологических экспериментах (0,5–1 мг/кг), но достаточна для отчетливого ослабления тревожности.
На вопрос о возможной причине неодинаковой активности диазепама и мелатонина отчасти можно ответить, если определить происхождение описанных хронобиологических сдвигов. Стрессорная дизритмия имеет, по-видимому, 2 основных источника. Прежде всего, дестабилизации биоритмов разного периода при стрессе способствует первичная мобилизация эмоциогенных структур головного мозга [7]. В то же время стрессорная десинхронизация, учащение колебательных явлений (об этом свидетельствует не только перестройка динамики плавания, но и сглаживание либо расщепление кривой суточной подвижности) могут являться следствием первичных или вторичных нарушений в деятельности центральных ритмзадающих и ритморганизующих механизмов. Они представлены ведущим водителем циркадианного периодизма супрахиазматическими ядрами гипоталамуса и мозговой железой эпифизом [8]. Также необходимо принимать во внимание и тот факт, что как мелатонин, так и психотропные средства разных классов способны менять работу зрительного аппарата, участвуя таким образом в формировании ритмических колебаний поведения. Возможно, это обстоятельство необходимо рассматривать в качестве одного из компонентов в механизме действия психотропных средств [9, 10].
Все исследованные анксиолитики, разумеется, в первую очередь меняют работу эмоциогенных образований, не последнюю роль среди которых играет гиппокамп с его анксиогенными свойствами [11]. Гиппокампальная точка приложения хорошо обоснована для бензодиазепиновых анксиолитиков. Но вместе с тем нейроны этой структуры располагают и мелатониновыми рецепторами, а потому гормон вполне способен модифицировать их активность [12, 13]. Таким образом, из полученных данных следует, что само по себе восстановление ритмостаза при стрессе может быть существенным слагаемым анксиолитического эффекта и клиническое использование мелатонина для нормализации поведения, умеренно расстроенного стрессом, представляется весьма рациональным.
ВЫВОДЫ
- Однократное стрессирование дезорганизует динамику суточной подвижности у крыс. Диазепам, тофизопам и мелатонин, различаясь по силе действия, в целом ослабляют эти нарушения. Особенно четко анксиолитики восстанавливают ритм у высокочувствительных к стрессу животных.
- Исследованные вещества реорганизуют временную динамику принудительного плавания крыс с увеличением доли длиннопериодных колебаний в его структуре.
- Первичная либо вторичная ликвидация стрессорной дизритмии, очевидно, является важным элементом специфического действия анксиолитических средств.
ДОПОЛНИТЕЛЬНАЯ ИНФОРМАЦИЯ
Вклад авторов. Все авторы внесли существенный вклад в разработку концепции, проведение исследования и подготовку статьи, прочли и одобрили финальную версию перед публикацией. Вклад каждого автора: О.В. Каминская, К.С. Эльбекьян, А.А. Скорняков, Е.М. Алексанова — написание статьи, анализ данных; К.Б. Ованесов, Э.В. Бейер — разработка общей концепции.
Конфликт интересов. Авторы декларируют отсутствие явных и потенциальных конфликтов интересов, связанных с публикацией настоящей статьи.
Источник финансирования. Авторы заявляют об отсутствии внешнего финансирования при проведении исследования.
ADDITIONAL INFORMATION
Authors contribution. Thereby, all authors made a substantial contribution to the conception of the study, acquisition, analysis, interpretation of data for the work, drafting and revising the article, final approval of the version to be published and agree to be accountable for all aspects of the study. The contribution of each author: O.V. Kaminskaya, K.S. Elbekyan, A.A. Skornyakov, E.M. Aleksanova — manuscript drafting, writing and pilot data analyses; K.B. Ovanesov, E.V. Beyer — general concept discussion.
Competing interests. The authors declare that they have no competing interests.
Funding source. This study was not supported by any external sources of funding.
Об авторах
Карэн Борисович Ованесов
Северо-Западный государственный медицинский университет им. И.И. Мечникова
Автор, ответственный за переписку.
Email: ovanesov2007@mail.ru
ORCID iD: 0000-0001-7325-8027
SPIN-код: 1598-9971
д-р мед. наук, доцент
Россия, 191015, Санкт-Петербург, ул. Кирочная, д. 41Эдуард Владимирович Бейер
Ставропольский государственный медицинский университет
Email: karokris@mail.ru
ORCID iD: 0000-0003-3248-6212
SPIN-код: 3411-1334
д-р мед. наук, профессор
Россия, СтавропольОльга Владимировна Каминская
Ставропольский государственный медицинский университет
Email: kaminskaya.olga2014@yandex.ru
SPIN-код: 8878-1121
ассистент кафедры фармакологии
Россия, СтавропольКарине Сергеевна Эльбекьян
Ставропольский государственный медицинский университет
Email: obiochem@stgmu.ru
SPIN-код: 4449-1250
д-р биол. наук, профессор
Россия, СтавропольАнтон Александрович Скорняков
Ставропольский государственный медицинский университет
Email: shcrb@mail.ru
канд. мед. наук
Россия, СтавропольЕкатерина Мильтиадовна Алексанова
Ставропольский государственный медицинский университет
Email: skkpc26@mail.ru
SPIN-код: 9359-9751
врач
Россия, СтавропольСписок литературы
- Becker-Krail D., McClung C. Implications of circadian rhythm and stress in addiction vulnerability // F1000Research. 2016. Vol. 5. P. 59. doi: 10.12688/f1000research.7608.1
- Morin C.M., Carrier J., Bastien C., et al. Sleep and circadian rhythm in response to the COVID-19 pandemic // Can J Public Health. 2020. Vol. 111, No. 5. P. 654–657. doi: 10.17269/s41997-020-00382-7
- Арушанян Е.Б., Бейер Е.В. Мелатонин: биология, фармакология, клиника. Ставрополь: СтГМУ, 2015. 395 с.
- Madsen B.K., Zetner D., Møller A.M., Rosenberg J. Melatonin for preoperative and postoperative anxiety in adults // Cochrane Database Syst Rev. 2020. Vol. 12, No. 12. ID CD009861. doi: 10.1002/14651858.CD009861.pub3
- Papp M., Litwa E., Gruca P., et al. Anxiolytic-like activity of agomelatine and melatonin in three animal models of anxiety // Behav Pharmacol. 2006. Vol. 17, No. 1. P. 9–18. doi: 10.1097/01.fbp.0000181601.72535.9d
- Щетинин Е.В., Батурин В.А., Арушанян Э.Б., и др. Биоритмологический подход к оценке принудительного плавания как экспериментальной модели депрессивного состояния // Журнал высшей нервной деятельности им. И.П. Павлова. 1989. Т. 39, № 5. С. 536–542.
- Tang M., Huang H., Li S., et al. Hippocampal proteomic changes of susceptibility and resilience to depression or anxiety in a rat model of chronic mild stress // Transl Psychiatry. 2019. Vol. 9, No. 1. ID 260. doi: 10.1038/s41398-019-0605-4
- Yu X., Franks N.P., Wisden W. Brain Clocks, Sleep, and Mood. Advances in Experimental Medicine Biology / W.E. Crusio, H. Dong, H.H. Radeke, editors. 2021. Vol. 1344. P. 71–86. doi: 10.1007/978-3-030-81147-1_5
- Ованесов К.Б., Шабанов П.Д. Оценка ретинальной фоточувствительности как объективный показатель выраженности психодепримирующего эффекта // Обзоры по клинической фармакологии и лекарственной терапии. 2021. Т. 19, № 2. С. 211–220. doi: 10.17816/RCF192211-220
- Ованесов К.Б., Шабанов П.Д. Показатели фоточувствительности сетчатки как объективный показатель выраженности психостимулирующего эффекта // Обзоры по клинической фармакологии и лекарственной терапии. 2021. Т. 19, № 3. С. 313–326. doi: 10.17816/RCF193313-326
- Corr R., Glier S., Bizzell J., et al. Stress-related hippocampus activation mediates the association between polyvictimization and trait anxiety in adolescents // Soc Cogn Affect Neurosci. 2022. Vol. 17, No. 8. P. 767–776. doi: 10.1093/scan/nsab129
- Beigi B., Shahidi S., Komaki A., et al. Pretraining hippocampal stimulation of melatonin type 2 receptors can improve memory acquisition in rats // Int J Neurosci. 2019. Vol. 129, No. 5. P. 492–500. doi: 10.1080/00207454.2018.1545770
- Ergenc M., Ozacmak H.S., Turan I., Ozacmak V.H. Melatonin reverses depressive and anxiety like-behaviours induced by diabetes: involvement of oxidative stress, age, rage and S100B levels in the hippocampus and prefrontal cortex of rats // Arch Physiol Biochem. 2022. Vol. 128, No. 2. P. 402–410. doi: 10.1080/13813455.2019.1684954
Дополнительные файлы



