The developing brain in the formation of oxidant and antioxidant systems
- Авторлар: Shabanov P.D.1, Zarubina I.V.1
-
Мекемелер:
- Kirov Military Medical Academy
- Шығарылым: Том 14, № 4 (2023)
- Беттер: 229-236
- Бөлім: Neuropsychopharmacology
- URL: https://medbiosci.ru/1606-8181/article/view/258528
- DOI: https://doi.org/10.17816/phbn623031
- ID: 258528
Дәйексөз келтіру
Аннотация
BACKGROUND: The structures, tissues, and systems of the brain differentiate gradually. The values of biochemical constants vary depending on the timing of development, that is, the embryonic, early, and late postnatal periods. In this respect, the multicomponent oxidation and antioxidation systems that do not mature at the same time are of interest.
AIM: To examine the processes of lipid peroxidation based on the level of malonic dialdehyde and antioxidant protection (superoxide dismutase, catalase, and reduced glutathione) in the brain of rat embryos and offspring at different periods of pre- and postnatal development.
MATERIALS AND METHODS: Thirty-nine pregnant female Wistar rats weighing 220–250 g were selected, from which 176 embryos and rat pups of different sexes and age were obtained, including embryos in the third trimester of pregnancy (13–17 days of gestation) and rat pups aged 1–14 weeks. The concentration of malonic dialdehyde (indicator of lipid peroxidation) was determined in the brain tissue, and the activity of superoxide dismutase, catalase, and level of reduced glutathione was found as indicators of antioxidant defense systems.
RESULTS: The brains of the embryos were characterized by low levels of malonic dialdehyde, and its concentration sharply increased immediately after the birth of rat pups. A similar but a less pronounced pattern was also recorded for indicators of antioxidant protection (superoxide dismutase activity and level of reduced glutathione). The opposite reaction was observed in catalase, which demonstrated high activity in the brain in the prenatal period but significantly decreased after birth. With further postnatal development up to sexual maturity (14 weeks, or 3 months of age), no significant changes in the activities of superoxide dismutase, catalase, and concentration of reduced glutathione were noted; however, a twofold drop in the level of malonic dialdehyde in the brain was noted.
CONCLUSION:Already in the first months of life in rats, a quite stable status of lipid peroxidation and antioxidant defense systems of the brain tissue developed.
Негізгі сөздер
Толық мәтін
INTRODUCTION
Brain structures, tissues, and systems differentiate gradually. Biochemical constants vary depending on the timing of embryonic, early, and late postnatal development. Oxidation/antioxidation systems are multicomponent and do not mature simultaneously [1]. The response to physiological stimuli and pharmacological agents depends on the maturity of individual systems.
This study analyzed rats with a gestation period that lasts 21–22 days. However, a study showed [2] that neurotransmitter mechanisms in the brain are largely underdeveloped at birth and cannot provide an adequate behavioral response in newborn animals. Rats are born without fur and vision and only become fully developed and active by days 9–10. They are capable of self-sustaining behavior only by day 17 of postnatal development [3]. This finding was the basis for conducting experiments to identify critical periods of development in animal organisms. The experiments involved removing the animals from their mothers and growing them in single cages under complete intraspecific and partial sensory isolation. These and similar studies have demonstrated [4, 5] that in rats, the third trimester of pregnancy and early postnatal period (typically considered up to days 14–21 of life) are the most vulnerable to the effects of extreme environmental factors, such as hypoxia and neurotoxins. Data indicate that the prolonged maturation process of the brain’s biochemical systems affects both the prenatal and postnatal periods. Based on the established scheme of brain maturation [6], which relies primarily on neurohistological studies (Fig. 1), seven primary morphogenetic processes were identified: proliferation, migration, differentiation, synaptogenesis, apoptosis, gliogenesis, and myelination. These processes provide sufficient detail to characterize the maturation of the central nervous system structures.
Fig. 1. Basic morphogenetic processes occurring in the developing rat brain [6, as modified]. A central vertical line separates the prenatal and postnatal periods of development. The central abscissa axis indicates the days of development in the prenatal and postnatal periods
Рис. 1. Основные морфогенетические процессы, происходящие в развивающемся мозге крыс [6, с изменениями]. Центральная вертикальная черта разделяет пренатальный и постнатальный периоды развития. По центральной оси абсцисс указаны дни развития в пренатальный и постнатальный периоды
These processes typically occur simultaneously, following the laws of interaction and interpenetration. However, each process can be characterized individually and in relation to other processes. Morphologists combine these processes into histogenesis and organogenesis. However, these concepts do not help explain the biochemical processes that occur within the cell and at the synaptic contact level. These processes include the synthesis of mediators, their axonal transport, deposition in vesicles, release under the influence of nerve impulses, release into the synaptic cleft, interaction with receptors, and disintegration or recapture by presynaptic endings. To a lesser extent, processes such as the maturation of enzyme systems involved in synaptic transmission and oxidation/antioxidation maintenance systems, which involve many substrate and enzyme systems, can be characterized.
Therefore, this study examined the processes of lipid peroxidation (LPO) by measuring the levels of malonic aldehyde and antioxidant defense (AOD) in the brain, including the activity of superoxide dismutase and reduced glutathione (RG), in rat embryos and offspring at various stages of pre- and postnatal development.
MATERIALS AND METHODS
The research protocol involved studying the brains of embryos and offspring of female Wistar rats obtained from the Rappolovo nursery in the Leningrad region. In total, 176 embryos and rats of different sexes and ages were obtained from 39 pregnant females weighing 220–250 g. The sample included embryos from the third trimester of pregnancy (days 13–17 of gestation) and rats aged 1–14 weeks. The female and offspring animals were kept in vivarium conditions with inverted light from 8:00 to 20:00 at 22°C ± 2°C. They were provided with dry briquetted feed and water ad libitum. Each group consisted of 10–12 animals.
In biochemical studies, researchers examined whole embryonic brains or brains of rats obtained after euthanasia. Brains were isolated, freed from their membranes, and washed with Na-phosphate buffer (50 mM at pH = 7.4). Then, they were homogenized in the same buffer at a ratio of 1:4–6 in terms of weight and volume of the buffer. The resulting brain homogenate was centrifuged for 25 min at 4000 g. The precipitate was removed, and the supernatant was recentrifuged for 60 min at 15,000 g. The supernatant was obtained and used to determine the activity of superoxide dismutase (SOD) and the level of malonic dialdehyde (MDA) as an indicator of LPO. Catalase activity was determined by treating the intermediate precipitate of the mitochondrial fraction with a Na-phosphate buffer (50 mM at pH = 7.4) and homogenizing it in 1% Triton X-100 solution as a detergent in a volume equal to the volume of the homogenate initially taken. The homogenate was selected and centrifuged for 40 min at 15,000 g. Catalase activity was determined in the supernatant and expressed as μM H2O2/min · mg protein.
The state of brain AOD was characterized by three indicators: SOD activity, catalase, and RG levels. These indicators were determined in 10% brain homogenate using 25 mM Tris-HCl with 175 mM KCl buffer at pH 7.4. SOD activity was measured using the method described in [7], which determines the degree of inhibition of nitroblue tetrazolium reduction in the presence of phenazine methosulfate and nicotinamide adenine dinucleotide. The protein content of the samples was estimated using the unified method [8], and the results were expressed as A/mg protein. The concentration of RG was measured by reacting it with excess alloxan [9] and expressed as μM/g. The concentration of MDA resulting from LPO was measured by reacting it with 2-thiobarbituric acid [10] and expressed in μM/g of protein.
Statistical differences were assessed using GraphPad Prism 6 software (Graphpad Software Inc., USA). One-factor analysis of variance and Student’s t-test were used to compare the control and experimental groups. Statistical significance was considered at p < 0.05. The data were presented using the arithmetic mean and standard error of the mean.
RESULTS
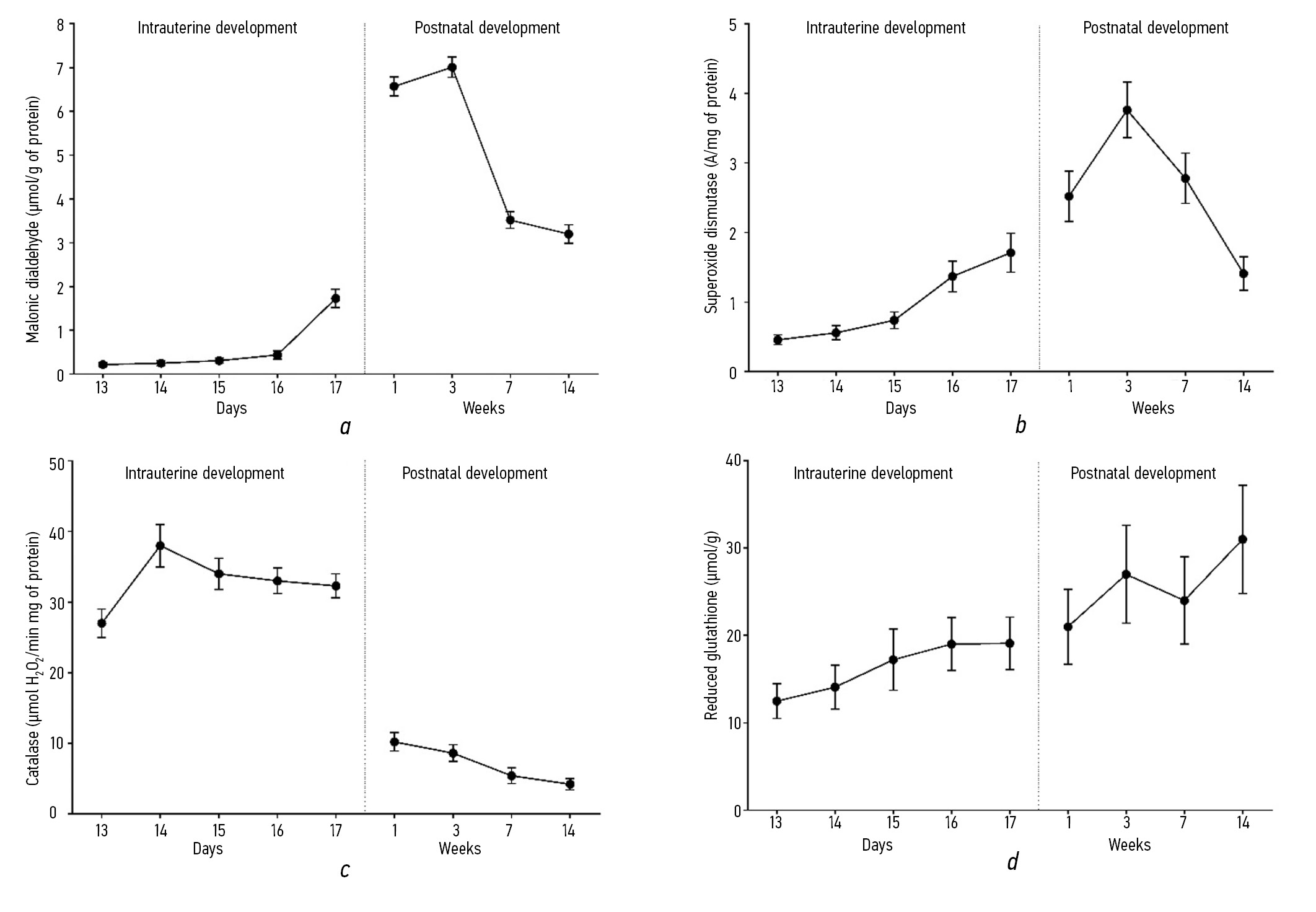
In embryos, the brain’s LPO activity, as determined by the MDA content in brain tissue, exhibited relatively low values, not exceeding 1–2 μM/g protein. During the first 1–3 weeks after birth, the MDA level in the brain tissue sharply increases, which gradually decreases by 7–14 weeks of postnatal development (Fig. 2a). A similar, albeit less pronounced, pattern was observed for AOD indicators, specifically SOD activity (Fig. 2b) and RG level (Fig. 2d). These studies have demonstrated that during the first week of postnatal development, the measured indices increase, but not as sharply as that of MDA. Conversely, despite high activity levels during the prenatal period (30–40 μM H2O2/min · mg protein), a decrease in catalase activity was observed in the brain after birth (Fig. 2c).
Fig. 2. Dynamics of oxidation/antioxidation parameters (M ± m) in the brain of embryos and offspring of rats of different ages. The ordinate and abscissa show the studied indicators and time (days, weeks), respectively: a — malonic dialdehyde (µmol/g protein); b — superoxide dismutase (A/mg protein); c — catalase (µmol Н2О2/min · mg protein), d — reduced glutathione (µmol/g)
Рис. 2. Динамика показателей оксидации/антиоксидации (M ± m) в головном мозге эмбрионов и потомства крыс разного возраста. По оси ординат — исследованные показатели; по оси абсцисс — время (дни, недели): а — малоновый диальдегид (мкмоль/г белка); b — супероксиддисмутаза (А/мг белка); c — каталаза (мкмоль Н2О2/мин · мг белка), d — восстановленный глутатион (мкмоль/г)
As a result, the birth of rats and their first week of life are characterized by a sudden increase in MDA levels, a slight increase in SOD activity and RG levels, but a significant decrease in catalase activity in the brain tissue. The period of postnatal development up to puberty (14 weeks or 3 months of age) does not significantly affect SOD activity, catalase activity, or RG concentration. However, it causes a twofold decrease in MDA levels in the brain. This finding suggests that rats develop stable LPO and AOD levels in the brain tissue during the first months of life.
DISCUSSION
When discussing the obtained results, it is important to address the following two main questions:
- How does the developing brain differ from the adult brain in terms of LPO and AOD?
- To what extent can these results be applied to the traditional approach of studying brain functions, which mainly assesses neurotransmitter systems related to motor, cognitive, and emotional functions?
The first question has an obvious answer: yes, a significant difference exists. The investigation of the dynamics of selected indicators of LPO and AOD systems revealed that various components of the studied systems change differently during the maturation process of brain structures. Thus, regarding MDA, the primary and conventional laboratory indicator of LPO, the changes are significant. We observed a sharp increase in the first week of the postnatal period, which resulted in a 3–3.5-fold increase in MDA compared with that in the prenatal period (end of pregnancy).
The AOD systems should logically react to the increase in LPO to compensate for changes in the oxidant status. However, this is not observed. However, the SOD activity and RG level mildly increased during this period. In contrast, the catalase activity sharply decreases by approximately fourfold. These observations suggest either insufficient maturity of the oxidation/antioxidation systems or a not yet fully formed harmony of biochemical control of these processes. Both assumptions appear to be supported by research conducted in our laboratory [1, 3–5] and other studies [11]. Our conclusion that the LPO and AOD systems reach a stable status within the first 3 weeks of the postnatal period is well supported.
The second question concerns the correlation between intracellular oxidation/antioxidation processes and traditional neurotransmitter mechanisms. These mechanisms are believed to explain the realization of different brain functions, including motor, cognitive, emotional, and motivational functions. The study demonstrated that the critical periods for the development of dopaminergic (6-hydroxydophamine) and serotoninergic (5,7-dihydroxytryptamine) neurotransmitter systems are days 13–14 of the prenatal period and days 4–10 of the postnatal period [12]. The disturbances in monoaminergic neurotransmitter systems during the periods considered should be assessed as critical for the formation of deviant behavior associated with the use of psychoactive drugs [13]. In addition, the cholinergic neurotransmitter system of the brain is more involved in cognitive processes, specifically memory, attention, and motor functions. The cholinergic system in the brain performs universal functions and is associated with oxidative and antioxidative processes. Unlike the dopamine, noradrenaline, and serotoninergic systems, it is not represented by specialized conductive pathways; therefore, it is delocalized. V.I. Tikhanov [14] demonstrated a close relationship between cholinergic mechanisms and the oxidative status of humans. Unfortunately, V.I. Tikhanov did not consider ontogenetic problems related to the cholinergic systems of the organism. However, his studies convincingly demonstrated that the activation of M- and H-cholinergic mechanisms also activates the oxidation/antioxidation system, whereas the blockade of these receptors moderately suppresses this system [15, 16].
The data above confirm that the oxidation/antioxidation systems in ontogenesis develop in parallel with the neurotransmitter systems of the brain and largely determine their operation. This clarifies the critical periods in the development of both systems and the possibility of comparing the data obtained with those obtained in the study of the formation of neurotransmitter systems of the brain [3, 13, 17]. The discussion of neuromorphological concepts related to the formation (histogenesis) of individual processes, as previously mentioned, does not provide significant insight into the issue of functional parallelism in the development of neurotransmitter and oxidative systems in the brain.
CONCLUSIONS
- MDA levels in the brains of embryos are low but increase sharply immediately after the birth of rats.
- A comparable, albeit less pronounced, pattern was observed for markers of AOD, such as SOD activity and RG levels.
- A directly opposite response was observed in catalase, whose activity in the brain was high in the prenatal period and significantly decreased after birth.
- During postnatal development up to puberty (14 weeks or 3 months of age), no significant change was found in the activities of SOD and catalase, and the RG level remained stable. However, the MDA level in the brain decreased by twofold. This suggests that rats have a stable status of the LPO and AOD systems in brain tissue from an early age.
ADDITIONAL INFORMATION
Authors contribution. Thereby, all authors made a substantial contribution to the conception of the study, acquisition, analysis, interpretation of data for the work, drafting and revising the article, final approval of the version to be published and agree to be accountable for all aspects of the study. The contribution of each author: P.D. Shabanov, I.V. Zarubina — manuscript drafting, writing and pilot data analyses; P.D. Shabanov — general concept discussion.
Competing interests. The authors declare that they have no competing interests.
Funding source. This study was not supported by any external sources of funding.
ДОПОЛНИТЕЛЬНАЯ ИНФОРМАЦИЯ
Вклад авторов. Все авторы внесли существенный вклад в разработку концепции, проведение исследования и подготовку статьи, прочли и одобрили финальную версию перед публикацией. Вклад каждого автора: П.Д. Шабанов, И.В. Зарубина — написание статьи, анализ данных; П.Д. Шабанов — разработка общей концепции.
Конфликт интересов. Авторы декларируют отсутствие явных и потенциальных конфликтов интересов, связанных с публикацией настоящей статьи.
Источник финансирования. Авторы заявляют об отсутствии внешнего финансирования при проведении исследования.
Авторлар туралы
Petr Shabanov
Kirov Military Medical Academy
Хат алмасуға жауапты Автор.
Email: pdshabanov@mail.ru
ORCID iD: 0000-0003-1464-1127
SPIN-код: 8974-7477
Dr. Sci. (Med., Pharmacology), professor, professor of the Pharmacology Department
Ресей, 6, Acad Lebedev st., Saint Petersburg, 194044Irina Zarubina
Kirov Military Medical Academy
Email: i.v.zarubina@list.ru
ORCID iD: 0000-0002-7670-2864
SPIN-код: 1902-3574
Dr. Sci. (Biol., Pharmacology), professor, senior lecturer
Ресей, 6, Acad Lebedev st., Saint Petersburg, 194044Әдебиет тізімі
- Shabanov PD, Yakovleva OA, Burmistrov SO. Sozrevanie oksidantnykh i antioksidantnykh sistem v rannem ontogeneze u krys. Psychopharmacology and biological narcology. 2010;10(1):2681–2687. (In Russ. )
- Bairamov AA, Meshcherov ShK. Otdalennye neirokhimicheskie ehffekty prenatal’nogo vozdeistviya selektivnykh M- i N-kholinotropnykh preparatov. Psychopharmacology and biological narcology. 2008;8(1):2286–2293. (In Russ. )
- Shabanov PD, Lebedev AA, Nozdrachev AD. Kriticheskie periody formirovaniya dofaminergicheskoi sistemy. Doklady Akademii nauk. 2002;386(4):565–569. (In Russ. )
- Shabanov PD, Meshcherov SHK, Lebedev AA. Sindrom sotsial’noi izolyatsii. Saint Petersburg: Ehlbi-SPb; 2004. 208 p. (In Russ. )
- Shabanov PD, Lebedev AA, Meshcherov ShK, Mogilevskii DA. Vnutriamnioticheskoe vvedenie 6-gidroksidofamina beremennym krysam snizhaet u potomstva podkreplyayushchie svoistva fenamina. Klinicheskaya patofiziologiya. 2002;2(2):46–49. (In Russ. )
- Vorhees CV. Principles of behavioral teratology. Riley EP, Vorhees CV, editors. Handbook of behavioral teratology. New York: Plenum Press, 1986. P. 23–48. DOI: 10. 1007/978-1-4613-2189-7_2
- Dubinina EE, Sal’nikova LA, Efimova LF. Activity and isoenzyme spectrum of superoxide dismutase of human red cells and blood plasma. Laboratornoe delo. 1983;(10):30–33. (In Russ. )
- Lowry OH, Rosebrough NY, Farr AL, Randall RJ. Protein measurement with the Folin phenol reagent. J Biol Chem. 1951;193(1):265–275. DOI: 10. 1016/S0021-9258(19)52451-6
- Stal’naya ID, Gorishvili TG. Metod opredeleniya malonovogo dial’degida s pomoshch’yu tiobarbiturovoi kisloty. Orekhovich VN, editor. Sovremennye metody v biokhimii. Moscow: Meditsina; 1977. P. 66–68. (In Russ. )
- Zarubina IV, Mironova OP. The effect of bemithyl on the glulathione system in rat liver under acute hypoxia conditions. Experimental and clinical pharmacology. 2002;65(3):28–30. (In Russ. )
- Ugryumov MV. Mekhanizmy neiroehndokrinnoi regulyatsii. Moscow: Nauka; 1999. 247 p. (In Russ. )
- Shabanov PD, Lebedev AA, Meshcherov ShK, Strel’tsov VF. Vliyanie neirokhimicheskogo razrusheniya dofaminergicheskikh terminalei v rannem ontogeneze na ehmotsional’nye formy povedeniya vzroslykh krys. Russian Journal of Physiology. 2003;89(11):1438–1450. (In Russ. )
- Shabanov PD, Nozdrachev AD, Lebedev AA, Meshcherov ShK. Serotoninergicheskie mekhanizmy formirovaniya ehmotsional’nogo povedeniya v ontogeneze u krys. Doklady Akademii nauk. 2003;393(4):562–566. (In Russ. )
- Tikhanov VI, Shabanov PD. Cholinergic mechanisms of regulation of free radical oxidation of the liver lipids in cold adaptation in rats. Reviews on Clinical Pharmacology and Drug Therapy. 2019;17(2):41–48. (In Russ. ) DOI: 10. 7816/RCF17241-48
- Tikhanov VI, Shabanov PD. Okislenie lipidov mikrosom pecheni fermentativnymi i nefermentativnymi mekhanizmami v prisutstvii kholinergicheskikh sredstv. Reviews on Clinical Pharmacology and Drug Therapy. 2019;17(2):53–59. (In Russ. ) DOI: 10. 7816/RCF17253-59
- Tikhanov VI. Reciprocity between muscarinic and nicotinic cholinoreactive structures of liver tissue in conditions, in substrates and in products of free radical oxidation of liver lipids in 5-day period of cooling in rats. Reviews on Clinical Pharmacology and Drug Therapy. 2019;17(3):51–58. (In Russ. ) DOI: 10. 17816/RCF17351-58
- Stashina EV, Poletaeva AO, Zelener AO, et al. Long-terms prenatal effects of central M- and N- holinoblockers on the motivational component of behavior in offspring of rats. Vestnik NovSU. Issue: Medical Sciences. 2021;(1):94–100. (In Russ. ) DOI: 10. 34680/2076-8052. 2021. 1(122). 94-100
Қосымша файлдар





