Heating and cooling of insulated wires of overhead power lines with variations in wind direction
- Авторлар: Bigun A.Y.1, Vladimirov L.V.1
-
Мекемелер:
- Surgut State University
- Шығарылым: Том 19, № 3 (2023)
- Беттер: 107-116
- Бөлім: POWER INDUSTRY
- URL: https://medbiosci.ru/1816-9228/article/view/253739
- DOI: https://doi.org/10.18822/byusu202303107-116
- ID: 253739
Дәйексөз келтіру
Толық мәтін
Аннотация
Subject of research: heating and cooling of insulated wires of overhead lines of electric power systems.
The purpose of the study: experimental determination of heating and cooling curves of insulated wires of overhead lines with changes in wind speed and its direction relative to the axis of the wire.
Object of research: insulated wires of overhead lines.
The main results of the study: an overview of an experimental stand developed for the study of non-stationary thermal modes of overhead power lines wires that occur when weather conditions and flowing currents change. The results of a study of heating and cooling of an insulated wire of overhead lines with a cross section of 16 mm2 with a change in the direction of the laminar airflow relative to the axis of the wire, provided that the current flowing through the sample is constant, are presented. The measurements were carried out using devices that record the current strength, temperature and voltage. Heating and cooling curves would be constructed based on the results. The angles of the wind direction relative to the wire were altered, at which the temperature difference is the smallest.
Негізгі сөздер
Толық мәтін
Введение
Развитие промышленности и социальной сферы взаимосвязано с увеличением потребления электрической энергии, а также с повышением требований к качеству электрической энергии. Так как часть потребителей значительно удалены от центров генерации электрической энергии, то передача электрической энергии происходит по воздушным линиям. На данный момент сетевое хозяйство ЕЭС России насчитывает более 13 тыс. линий электропередачи класса напряжения 110–750 кВ общей протяженностью более 490 тыс. км, а общая протяженность электрических сетей напряжением 0,4-110 кВ городских и сельских территорий превышает 3,2 млн км, в том числе воздушные и кабельные (КЛ) линии напряжением 3-35 кВ примерно 1,56 млн км [4, 6]. Надежность электроснабжения с такой протяжённостью линий является ключевой. Под надёжностью электроснабжения подразумевается снабжение электрической энергией потребителей в необходимом объеме и без перерывов. Таким образом, становится актуальным вопрос по повышению пропускной способности. Вопросам повышения пропускной способности посвящено значительное количество работ [3, 7, 8, 10], в которых описаны различные методы, одним из которых является повышение пропускной способности воздушных линий электропередачи с учетом климатических факторов. В основе их лежит учет нагрева провода.
Оценить нагрев провода можно непосредственными измерениями температуры, а также расчетным способом (произвести решение уравнения теплового баланса провода относительно температуры). В некоторых случаях произвести измерение температуры затруднительно. Если стоит задача прогнозирования, то используются расчетные методы. Существующие расчетные методы позволяют определить температуру провода в стационарном и нестационарном тепловом режиме. Нестационарные тепловые режимы имеют неоспоримое достоинство, заключающееся в расчетах в реальном времени температуры провода, допустимого тока, допустимого времени протекания того или иного времени и стрелы провеса. Для применения этих методов повсеместно необходимо произвести их верификацию на данных, полученных на реальных объектах энергетики (воздушных линиях) и в ходе экспериментальных исследованиях. В работах [1, 11] представлены экспериментальные исследования нагрева охлаждения неизолированного провода с учетом вынужденной и естественной конвекции, а также угла атаки ветра.
В настоящее время получают широкое распространение защищенные провода и изолированные самонесущие провода. Достоинством таких проводов является высокая безопасность при эксплуатации, уменьшение габарита линии, отсутствие схлестывания проводов, а также снижение возможности хищения электроэнергии и другие [5, 9]. Вопросы расчета температуры изолированных проводов рассматриваются в работах [2, 7]. Помимо того, что наличие изоляции на проводах значительно усложняет расчет, она также изменяет аэродинамические свойства провода, а, соответственно, изменяются и взаимодействия с ветром в зависимости от его скорости и угла относительно оси провода.
Результаты и обсуждение
Для определения влияния угла атаки ветра на нагрев и охлаждения самонесущего изолированного провода СИП 3 сечением 16 мм2 были проведены экспериментальные исследования. На рисунке 1 представлен общий вид экспериментального стенда, который условно можно разделить на 2 составляющих: первый – «силовой блок» и второй – аэродинамическая труба (рисунок 2) с блоком управления скоростью ветра (рисунок 3). В основе «силового блока» лежит модифицированный трехфазный трансформатор 220/110 В. В ходе эксперимента была задействована только одна фаза. Изменение тока через образец провода производилось при помощи лабораторного автотрансформатора, к выводам вторичной обмотки которого был подключен силовой трансформатор.
Рисунок 1 – Общий вид экспериментальной установки
Рисунок 2 – Аэродинамическая труба
Рисунок 3 – Блок управления скоростью потока в аэродинамической трубе
Эксперимент по исследованию влияния ветра (скорость ветра и его направление) на нагрев провода марки СИП проводился при следующих условиях: в начальный момент времени проводник длительное время находился без нагрузки, то есть можно считать, что температура провода в начальный момент времени была установившейся, т. е. равной температуре окружающего воздуха. Далее ток изменялся скачкообразно до значения 130А. При начальном нагреве скорость ветра составляла 0,6 м/с, а в дальнейшем – скачкообразно увеличилась до значения 1,75 м/с. Во время проведения эксперимента производилось изменение угла направления ветра относительно оси провода. Угол задавался, как показано на рисунках 4-6. На рисунке 5 представлен способ установки температурных датчиков. Так как используемый при эксперименте термометр имеет два выхода для подключения датчиков, производился одновременный контроль температуры жилы и изоляции.
Рисунок 4 – Расположение провода относительно направления ветра под углом 80°
Рисунок 5 – Расположение провода относительно направления ветра под углом 70°
Рисунок 6 – Расположение провода относительно направления ветра под углом
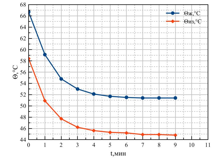
В ходе экспериментального исследования были получены зависимости изменения температуры провода с течением времени при различных углах. На рисунке 7 представлены изменения температуры жилы и изоляции при угле 90°, а на рисунке 8 – при угле 50°. Из представленных рисунков видно, что на 9 минуте разность между температурой жилы и температурой изоляции составляла от 4 до 8 °C, что соответствует ранее предложенным гипотезам.
Рисунок 7 – Изменение температуры жилы и изоляции при направлении ветра относительно провода 90°
Рисунок 8 – Изменение температуры жилы и изоляции при направлении ветра относительно провода 50°
На рисунке 9 представлены графики изменения температуры при изменении угла атаки ветра. Из данного графика можно отметить, что при изменении направления ветра температура возрастает, а также можем сделать вывод о том, что на 9 минуте при углах 40 ° и 60 ° разность между температурой жилы и температурой изоляции незначительна и составляет не более 3 °C. С течением времени, при достижении стационарного режима, разность составляет не более 0,5 °C. Время достижения стационарного режима для каждого угла разное, поэтому был сделан срез на 9 минуте для большей наглядности.
Рисунок 9 – Изменение температуры жилы в зависимости от угла направления ветра относительно оси провода
В ходе эксперимента были получены кривые изменения температуры жилы и изоляции при углах 90 ° (рисунок 10) и 40 ° (рисунок 11) в ходе повышения скорости ветра при постоянстве тока. Из них видно, что разность между температурой жилы и температурой изоляции составляла от 7 до 9 °С в течение времени переходного процесса.
Рисунок 10 – Изменение температуры жилы и изоляции при увеличении скорости ветра при угле 90°
Рисунок 11 – Изменение температуры жилы и изоляции при угле 40°, скорость ветра 1,75 м/с
На рисунке 12 получены зависимости изменения температуры жилы и изоляции от угла направления ветра относительно оси провода, по которым можно сделать вывод, что при значении от 60° до 40 ° начальная температура стационарного режима одинакова. При охлаждении провода разность температур между температурой жилы и температурой изоляции от 60° до 40 ° составляет не более 2,5°С.
Рисунок 12 – Изменение температуры провода в зависимости от угла направления ветра относительно оси провода при увеличении скорости ветра
Заключение и выводы
- Проведено экспериментальное исследование влияния ветра на нагрев и охлаждение изолированного провода.
- В работе представлены кривые нагрева и охлаждения провода марки СИП-3 при изменении угла атаки ветра.
- На основе полученных данных определено, что при мгновенном изменении тока от нуля до 130А и при угле атаки ветра от 60° и меньше разность между кривыми нагрева не превышает 3°С. Также видно, что при охлаждении разность между кривыми при угле атаки ветра от 60° и меньше – не более 2,5°С.
- Для дачи однозначных рекомендации по учету углов атаки ветра при расчетах температуры необходимо провести исследования с большими сечениями изолированных проводов.
Авторлар туралы
Alexander Bigun
Surgut State University
Хат алмасуға жауапты Автор.
Email: bigun_aya@surgu.ru
Candidate of Technical Sciences, Associate Professor
Ресей, SurgutLeonid Vladimirov
Surgut State University
Email: vladimirov_lv@surgu.ru
Candidate of Technical Sciences, Associate Professor
Ресей, SurgutӘдебиет тізімі
- Алгоритм контроля токов в ЛЭП в заданных эксплуатационных условиях / И. В. Игнатенко, С. А. Власенко, А. И. Пухова [и др.]. – Текст : непосредственный // Энергия единой сети. – 2021. – № 3(58). – С. 44-53.
- Алгоритм расчета потерь в изолированных проводах линий электропередачи с учетом температуры токопроводящих жил / Е. В. Петрова, В. Н. Горюнов, Н. В. Кириченко [и др.]. – Текст : непосредственный // Россия молодая: передовые технологии – в промышленность. – 2013. – № 2. – С. 306-308.
- Белый, В. Б. Оценка способов снижения потерь напряжения в системах сельского электроснабжения / В. Б. Белый, Р. А. Куницын. – Текст : непосредственный // Вестник Алтайского государственного аграрного университета. – 2023. – № 4(222). – С. 107-113. – doi: 10.53083/1996-4277-2023-222-4-107-113.
- Единая энергетическая система России. – URL: https://www.so-ups.ru/functioning/ees/ups2022/ (дата обращения: 06.05.2023). – Текст : электронный.
- НПО Комплектация. – URL: http://npocom.ru/stati/preimushchestva_i_nedostatki_provoda_sip (дата обращения: 20.08.2023). – Текст : электронный.
- Отчет об функционировании ЕЭС России в 2022 году. – URL: https://cntd.ru/news/read/opublikovan-otchet-o-funkcionirovanii-edinoy-nergeticheskoy-sistemy-v-2022-godu (дата обращения: 06.05.2023). – Текст : электронный.
- Оценка влияния ветра на нагрев изолированного провода воздушных линий электропередачи / А. Я. Бигун, С. С. Гиршин, В. Н. Горюнов [и др.]. – Текст : непосредственный // Динамика систем, механизмов и машин. – 2020. – Т. 8, № 3. – С. 23-30. – doi: 10.25206/2310-9793-8-3-23-30.
- Повышение эффективности передачи электроэнергии в электрической сети путём гибкого регулирования реактивной мощности / Р. А. Галстян, Н. И. Цыгулев, М. А. Антонов, А. С. Ткаченко. – Текст : непосредственный // Энергосбережение и водоподготовка. – 2022. – № 5(139). – С. 51-55.
- Сравнительный анализ изолированных и неизолированных проводов воздушных линий при вариации токов нагрузки с учетом метеоусловий / С. С. Гиршин, В. Н. Горюнов, А. Я. Бигун [и др.]. – Текст : непосредственный // Динамика систем, механизмов и машин. – 2016. – № 2. – С. 67-76.
- Увеличение пропускной способности электрической сети и повышение энергоэффективности действующей электроэнергетической системы нефтегазопромысловых потребителей / И. С. Латыпов, В. В. Сушков, Г. А. Хмара [и др.]. – Текст : непосредственный // Известия Томского политехнического университета. Инжиниринг георесурсов. – 2022. – Т. 333, № 4. – С. 236-247. – doi: 10.18799/24131830/2022/4/3497.
- Фигурнов, Е. П. Опыты по нагреву неизолированных проводов воздушных линий / Е. П. Фигурнов, В. И. Харчевников. – Текст : непосредственный // Электрические станции. – 2016. – № 11(1024). – С. 41-47.
Қосымша файлдар













