Chitosan solutions and films properties obtained using electromagnetic-activated water
- Authors: Stas I.Y.1, Popova E.A.1
-
Affiliations:
- Altai State University
- Issue: Vol 20, No 2 (2024)
- Pages: 65-73
- Section: 2.6/2.6.17 Materials Science (Technical Sciences)
- Submitted: 16.10.2024
- Published: 10.10.2024
- URL: https://medbiosci.ru/1816-9228/article/view/266512
- DOI: https://doi.org/10.18822/byusu20240265-73
- ID: 266512
Cite item
Full Text
Abstract
Purpose of research: to obtain chitosan films with improved performance properties by using water activated by an electromagnetic field of the radio frequency range as a solvent.
Objects of research: water activated by an electromagnetic field of the radio frequency range (90-200 MHz), as well as chitosan solutions and films obtained using it.
Methods of research: conductometry, potentiometry, densitometry, viscometry, turbidimetry, gravimetry, IR spectroscopy are used in the work. To determine the deformation and strength characteristics of the films, a universal testing machine with an electromechanical drive УТС-110M was used.
Main results of research: The effect of pretreatment of water with an electromagnetic field of various frequencies on the properties of acetic acid (2 %) chitosan solutions in the concentration range of 0.1-2.0% has been studied. A decrease in surface tension by 2.0–5.2 % was found, as well as an increase in light transmission by 10-30 % and viscosity of solutions by 24-37 % at a chitosan concentration of 1.0-2.0 %. These effects are most pronounced for frequencies of 70, 90, 110 and 130 MHz. Films were prepared from 2 % chitosan solutions and their deformation-strength and sorption characteristics with respect to water vapor were determined. The greatest increase in tensile strength was found for chitosan films obtained from solutions prepared on water activated by an electromagnetic field with frequencies of 70 and 110 MHz (38 and 23 %, respectively). A decrease in the hygroscopicity of films and an increase in the intensity of bands in the IR spectra of films obtained using activated water were found.
Full Text
ВВЕДЕНИЕ
Наибольшее распространение пленки хитозана получили в качестве биоразлагаемых упаковочных материалов, а также в медицине (раневые покрытия, подложка для выращивания клеток, покрытия на протезы и др.). Однако крупномасштабное применение хитозана сдерживается недостаточно хорошими физико-механическими свойствами чистых хитозановых пленок. В частности, они имеют недостаточную прочность, эластичность, высокую растворимость в водных средах. В настоящее время ведутся исследования, посвященные увеличению прочности пленок хитозана, большинство из которых связаны с внесением в готовые пленки или формовочный раствор дополнительных компонентов [1-5], что часто приводит к повышению стоимости пленок.
При получении полимерного материала основными технологическими характеристиками являются степень набухания, критическая концентрация гелеобразования, вязкость и поверхностное натяжение растворов ВМС. Большинство способов регулирования данных параметров относятся к химическим (изменение степени замещения при синтезе, кислотности среды и содержания электролитов) и физическим (ультразвук, степень механической деструкции сырья) [6-8].
Достижение требуемых технологических характеристик путем использования в качестве растворителя облученной электромагнитным полем (ЭМП) воды может существенно сократить себестоимость продукта как за счет исключения применения химических реактивов, так и за счет снижения энергетических затрат. Проведенные ранее эксперименты показали, что обработка воды ЭМП радиочастотного диапазона (30-200 МГц) приводит к изменению ее свойств. Повышается удельная электропроводность и поверхностное натяжение, теплота испарения, изменяется кислотность среды, снижается ее смачивающая способность [9-11]. Увеличение поверхностного натяжения, теплоты испарения и работы когезии свидетельствует об изменении структуры воды, а именно – о ее упрочнении. Изменение структуры водной среды не может не сказаться на взаимодействии ее молекул с молекулами или ионами растворенных в ней веществ. В частности, проведенные ранее исследования показали, что при использовании в качестве растворителя структурированной ЭМП воды наблюдается повышение вязкости растворов таких биополимеров, как желатин, агар-агар, цитрусовый пектин, карбоксиметилцеллюлоза и ее натриевая соль [12-14]. Кроме того, установлено, что в данных растворах золь-гель переходы происходят при более низких концентрациях полимера и более высоких температурах. Используя активированную ЭМП воду, можно влиять на скорость и степень набухания в ней различных биополимеров [15-16].
Исходя из ранее полученных данных, можно было предположить, что изменение сольватирующей способности активированной воды приведет к изменению структуры растворов хитозана, а следовательно, структуры и свойств пленок данного биополимера. Получение таких пленок и исследование их свойств явилось целью данной работы.
РЕЗУЛЬТАТЫ И ОБСУЖДЕНИЕ
Методы изучения свойств растворов и пленок хитозана
Для получения растворов хитозана, из которых затем изготавливали пленки, использовали деионизованную воду, удельная электропроводность которой составляла 1.1·10-4 См/м, уксусную кислоту марки х.ч. и хитозан производства ЗАО «Вектон» (г. Санкт-Петербург). Растворимость хитозана, а также свойства получаемых из его растворов пленок зависят от молекулярной массы и степени его деацетилирования. Молярную массу полимера определяли вискозиметрическим методом из линейной формы уравнения Марка-Хаувинка [17]. Для растворов хитозана при малых концентрациях коэффициент α, определяющий форму макромолекул в растворе, равен 0,85, а константа К = 1,38·10-4 [18]. Согласно расчетам, средняя молярная масса хитозана составила 3,4·104 г/моль. Степень деацетилирования, найденная методом потенциометрического титрования [19], составила 84,8 %. Хитозан нерастворим в воде, поэтому в качестве растворителя используют растворы кислот, в частности, уксусной. Предварительные исследования показали, что наиболее прочные пленки можно получить из 2 % раствора хитозана в 2 % растворе уксусной кислоты, что соответствует литературным данным [20].
Активацию воды электромагнитным полем (ЭМП) заданной частоты проводили в течение 3-х часов в ячейке емкостного типа вместимостью 100 см3 с помощью генератора Г3-119 (Россия), позволяющего варьировать частоту поля в интервале 30-200 МГц. Выходная мощность генератора – 1 Вт. Каждая порция воды подвергалась воздействию поля только одной определенной частоты. В результате полевого воздействия повышалась электропроводность воды в 2-5 раз, рН – на 0,1-0,5 единиц и поверхностное натяжение – на 5-8 %. Степень изменения свойств воды зависела от частоты ЭМП.
Пленки хитозана получали наливным способом. Для этого 10 мл 2 % уксуснокислого раствора хитозана помещали в плоские кюветы длиной 15 см и шириной 2,5 см, изготовленные из полистирола. Пленки высушивали до постоянной массы при температуре 296±2 К (5 суток) и отделяли от подложки.
Влажность пленок определяли гравиметрическим методом по разнице массы образца до и после высушивания. Высушивание пленок до постоянной массы проводили в сушильном шкафу при постоянной температуре (500 С).
Определение прочности полимерных пленок проводили на универсальной испытательной машине с электромеханическим приводом УТС-110М по ГОСТ 7855-84. Перед проведением испытаний образцы выдерживали при температуре 296±2 К, относительной влажности 50±5% не менее 16 часов. Образцы имели форму прямоугольника шириной 2,5 см и длиной 15 см [21]. Модуль упругости Е (модуль Юнга) рассчитывали по закону Гука: Е = σ/ε, где σ – механическое напряжение, МПа; ε – относительное удлинение пленок при разрыве, % [22].
Сорбцию паров воды проводили по методике, описанной в [23]. Для этого образец пленки хитозана площадью 4 см2 помещали на сетчатую подложку, установленную над уровнем воды на расстоянии 2 см в герметично закрывающейся ёмкости, на 1/5 заполненной деионизированной водой. Пленки выдерживали в парах воды в герметично закрытых сосудах при постоянной температуре. Количество поглощенной пленками воды определяли гравиметрически через равные промежутки времени (30 мин) в течение 6 часов.
Поскольку степень изменения свойств растворов полимеров зависит от частоты ЭМП, то предварительно были определены свойства растворов хитозана различной концентрации, полученных с применением активированной ЭМП различных частот воды. При увеличении концентрации хитозана от 0,1 до 2,0 % наблюдалось увеличение удельной электропроводности (ϰ), рН, относительной вязкости (η), а также снижение светопропускания (Т, %) и поверхностного натяжения (σ) растворов (рис. 1). С увеличением концентрации хитозана электропроводность и рН растворов возрастали. Однако существенных отличий в электропроводности и рН между исследуемыми и контрольными образцами не зафиксировано. Светопропускание растворов с увеличением концентрации резко снижалось. Для растворов, приготовленных с помощью активированной воды, оно имело более высокие значения при С≤0,5 % для частот 70, 90 и 110 МГц. Для f = 130 МГц при С≤1,0 % эффект полевого воздействия был выражен в гораздо большей степени – ΔТmax = 30,0 % (С=0,5-1,0 %), что может быть связано с разворачиванием клубков полимера и стремлением макромолекул хитозана приобрести линейную форму.
Рисунок 1. Зависимость свойств уксуснокислых (2 %) растворов хитозана (1 – контроль; 2 – f = 130 МГц) от концентрации (Т = 296 К): а – удельная электропроводность; б – рН; в – светопропускание; г – относительная вязкость.
При увеличении концентрации вязкость растворов резко возрастала. При концентрации хитозана >0,5 % вязкость растворов, приготовленных с использованием активированной воды, превышала вязкость контрольных образцов. Наибольший эффект зафиксирован для частот ЭМП 70, 90, 110 и 130 МГц и концентрации хитозана 1-2 %. Увеличение вязкости растворов составило 24-37%. Данный эффект также обусловлен разворачиванием клубков макромолекул хитозана. Получение более вязких растворов облегчает формирование из них пленок. Как отмечается в [24], при формовании полимерного изделия (пленки, волокна) определяющее действие на технологический процесс и свойства готового материала оказывают силы поверхностного натяжения формовочного раствора. Снижение поверхностного натяжения приводит к улучшению растекания раствора по твердой поверхности, что способствует формированию пленок. От поверхностного натяжения зависят также физико-химические и физико-механические свойства полимерных композиционных материалов [25]. Проведенные исследования показали снижение поверхностного натяжения исследуемых растворов по сравнению с контрольными на 2,0-5,4 %, в наибольшей степени выраженное для частот, приведенных выше.
В таблице 1 приведены свойства 2 % растворов хитозана в 2 % уксусной кислоте, приготовленных с использованием воды, активированной ЭМП различных частот.
Таблица 1. Свойства 2 % растворов хитозана в 2 % уксусной кислоте, приготовленных с использованием воды, активированной ЭМП различных частот.
Свойство | Частота, МГц | ||||
контроль | 70 | 90 | 110 | 130 | |
ϰ·102, См/м | 31,9±0,2 | 31,7±0,1 | 31,6±0,1 | 32,2±0,1 | 32,2±0,1 |
рН | 3,90±0,01 | 3,94±0,01 | 3,93±0,02 | 3,93±0,02 | 3,93±0,01 |
Т,% | 18±2 | 20±3 | 22±3 | 19±2 | 21±1 |
σ·103, Н/м | 56,1±0.3 | 53,0±0,4 | 53,8±0,2 | 53,5 ±0,4 | 53,7±0,5 |
ηотн | 186±3 | 251±3 | 210±2 | 245±5 | 242±6 |
Из соответствующих растворов (табл. 1) были приготовлены пленки хитозана по методике, описанной выше. Толщина пленок – 3-4 мкм. Гравиметрическим способом была определена влажность полученных пленок (табл. 2).
Таблица 2. Влажность пленок, полученных из 2 % уксуснокислых растворов хитозана.
Влажность, % | ||||
контроль | f = 70 МГц | f = 90 МГц | f = 110 МГц | f = 130 МГц |
6,3±0,1 | 6,0±0,1 | 6,5±0,2 | 6,3±0,1 | 6,1±0,3 |
Наблюдались незначительные отличия влажности пленок, приготовленных с использованием активированной воды, как в большую, так и в меньшую сторону по сравнению с контрольными образцами.
ИК-спектры пленок хитозана были получены с помощью спектрофотометра Infralum FT-801.
На ИК-спектре пленки хитозана в области 3700-3400 см-1 наблюдается широкая полоса, отвечающая валентным колебаниям OH- и NH- связей (рис. 2). Ее положение и ширина свидетельствуют о наличии межмолекулярных водородных связей, образующихся с участием этих функциональных групп. Слабая полоса 3102-3077 соответствует валентным колебаниям NH3+-групп. В области 1700-1500 см-1 проявляются полосы с максимумами 1536 см-1 (амид I) и 1399 см-1 (амид II), относящиеся к ацетилированной аминогруппе и подтверждающие, что образцы хитозана деацетилированы не полностью. Пик с максимумом 1336 см-1 отвечает деформационному колебанию ОН-связи. Пик при 1256 см-1 соответствует первичной аминогруппе (NH2). Между 1056 и 1011 см-1 наблюдаются широкие полосы поглощения, соответствующие гликозидной связи С-О-С [26, 27].
Рисунок 2. ИК-спектр пленки хитозана, полученной из 2 % уксуснокислого раствора хитозана.
На рис. 3 представлены ИК-спектры пленок, полученных с использованием неактивированной и активированной ЭМ полем различных частот воды.
Рисунок 3. ИК-спектры пленок хитозана, полученных из 2 % уксуснокислых растворов хитозана: 1 – контроль; 2 – активированная вода (70 МГц); 3 – активированная вода (90 МГц); 4 – активированная вода (110 МГц); 5 – активированная вода (130 МГц).
В ИК-спектрах пленок хитозана, полученных из растворов, приготовленных на активированной воде, наблюдалось увеличение интенсивности спектральных полос, а также существенное изменение положения и ширины полосы в области свыше 3450 см-1, что соответствует изменению числа и прочности водородных связей с участием OH- и NH- групп. Следовательно, можно предположить возникновение дополнительных межмолекулярных водородных связей в пленках, полученных с использованием активированной воды. Смещения полос в остальной области спектра не наблюдалось, однако их интенсивность для облученных растворов возрастала, что в наибольшей степени проявлялось для частоты ЭМП, равной 110 МГц (рис. 3). Выявленный эффект, возможно, связан с изменением системы водородных связей хитозана и снятием запретов на колебательные переходы.
Определены прочностные и деформационные свойства пленок хитозана. Результаты представлены в таблице 3.
Таблица 3. Влажность пленок, полученных из 2 % уксуснокислых растворов хитозана.
Параметры | Частота, МГц | ||||
контроль | 70 | 90 | 110 | 130 | |
Растягивающая нагрузка, Н | 32,0±0.5 | 44,3±0.4 | 26,8±0.5 | 39,4±0.6 | 34,0±0.4 |
Механическое напряжение, МПа | 410±4 | 567±6 | 362±4 | 558±7 | 471±6 |
Удлинение пленки при разрыве, мм | 0,50±0,02 | 1,01±0.04 | 0,41±0,03 | 0,84±0,07 | 0,59±0,07 |
Относительное удлинение пленок при разрыве, % | 2,3 | 3,6 | 2,00 | 3,9 | 2,7 |
Модуль упругости, МПа | 178 | 159 | 185 | 150 | 176 |
Наблюдалось изменение прочности пленок хитозана, полученных с использованием воды, подвергшейся воздействию электромагнитного поля различных частот. Максимальное увеличение прочности при разрыве происходило в случае, когда вода подвергалась воздействию ЭМП частотой 70 и 110 МГц. Оно составило 38 и 23 %. Установлено также снижение прочности пленок на 12 % при воздействии поля частотой 90 МГц. Удлинение пленок при разрыве также возросло по сравнению с контрольными образцами, что свидетельствует о повышении эластичности исследуемых образцов. Модуль упругости характеризует противодействие полимера изменению размера и формы под действием внешней силы. Судя по полученным значениям, полученные пленки относятся к средним по жесткости (102˂Е˂103 МПа) [28]. Для пленок, полученных с использованием воды, активированной ЭМП частотой 70 и 110 МГц, наблюдалось снижение модуля Юнга на 10 и 16 % соответственно, что является следствием увеличения эластичности пленок. Следовательно, такие пленки способны выдерживать большие деформационные нагрузки, без изменения эксплуатационных свойств. Наблюдаемые явления могут быть следствием изменения степени взаимодействия активированной воды с макромолекулами хитозана, что усиливает их взаимодействие между собой. В результате из таких растворов получаются более прочные пленки.
Сорбционная способность пленок непосредственно связана с их физико-механическими свойствами. Показано, что поглощение большого количества жидкости пленками приводит к уменьшению их прочности и может привести к полному растворению пленочного образца. Полное растворение в водных средах наблюдается на третьи сутки. Этого времени недостаточно, например, для формирования костной ткани, для заживления внутренних ран. Также уменьшение прочности пленок, сорбировавших большое количество жидкости, может привести к разрыву культивированной ткани при переносе с подложки на место трансплантации [29, 30].
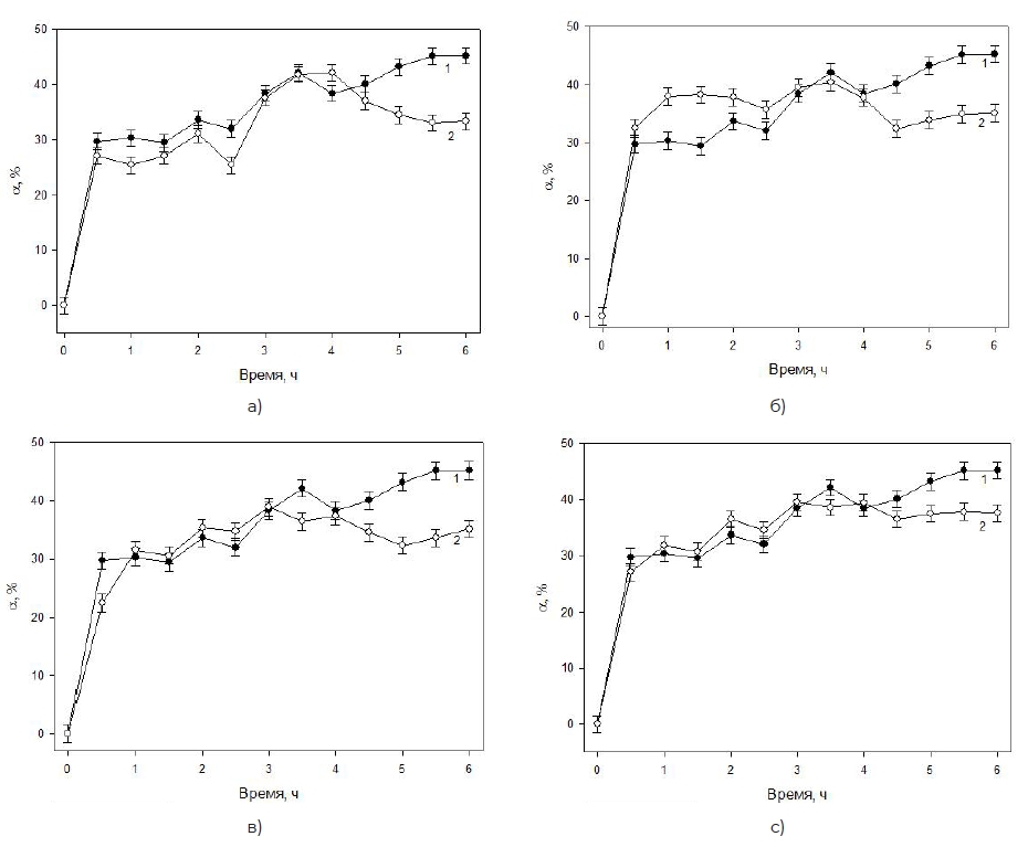
Была изучена сорбция паров воды пленками хитозана, полученными с использованием активированной электромагнитным полем воды. Поглощая воду, пленки хитозана ограниченно набухают. Равновесная степень набухания устанавливалась в течение 4,5-5 часов. При этом через некоторые промежутки времени (1,5; 2,5 и 4 ч) наблюдалось уменьшение степени набухания, т. е. пленка отдавала часть поглощенной ранее воды (рис. 4). Это явление описано в литературе [31] и объясняется перестройкой макромолекул относительно друг друга в образце набухающего полимера.
Рисунок 4. Кинетические кривые набухания пленок хитозана, полученных из 2% уксуснокислых растворов хитозана (Т=296 К): 1 – контроль; 2 – активированная вода: а) 70 МГц); б) 90 МГц; в) 110 МГц); г) 130 МГц.
В первые 4 часа отличия в количестве поглощенных паров воды между пленками, полученными из растворов, приготовленных на активированной ЭМП воде, и контрольными образцами были незначительны. При этом максимальная скорость сорбции паров воды, найденная из наклона кинетических кривых, наблюдалась в первые 30 мин (рис. 4) и заметно отличалась для пленок, приготовленных с использованием активированной воды. Минимальная скорость набухания (сорбции паров воды) соответствовала частоте 70 МГц, максимальная – 90 МГц.
Однако при достижении равновесного значения степени набухания наблюдались существенные отличия, по сравнению с контрольными образцами. Масса поглощенных паров воды и, соответственно, степень набухания пленок на активированной ЭМП всех исследованных частот оказались существенно ниже. Максимальное снижение сорбции паров воды соответствовало частоте 70 МГц – 26,6 % (рис. 4, табл. 5).
Таблица 4. Начальная скорость сорбции паров воды пленками хитозана (Т = 296 К).
Частота f, МГц | контроль | 70 | 90 | 110 | 130 |
·103, г/мин | 5,2±0,1 | 4,2±0,1 | 6,1±0,2 | 5,3±0,3 | 5,1±0,2 |
Таблица 5. Масса поглощенных паров воды в расчете на 1г пленки хитозана в различные моменты времени и предельная степень их набухания α (Т = 296 К).
Время, ч | Масса воды, поглощенной 1 г пленки хитозана, г | ||||
контроль | f= 70 МГц | f= 90 МГц | f= 110 МГц | f= 130 МГц | |
1 | 0,303±0,008 | 0,254±0,005 | 0,380±0,008 | 0,316±0,004 | 0,318±0,009 |
6 | 0,452±0,007 | 0,333±0,006 | 0,350±0,008 | 0,352±0,005 | 0,375±0,008 |
Δm,% | - | 26,3 | 22,6 | 22.1 | 17,0 |
α,% | 44,8±0,5 | 32,9±0,4 | 34,7±0,3 | 34,9±0,7 | 37,3±0,5 |
Согласно классификации пленок, используемых в качестве перевязочных материалов, предложенной авторами [3], на основании массы поглощенной воды 1 граммом пленки, полученные пленки можно отнести к перевязочным материалам для низкоэкссудирующих ран (менее 4 г воды на 1 г пленки).
ЗАКЛЮЧЕНИЕ И ВЫВОДЫ
Проведенные исследования показали, что, обрабатывая воду, используемую для приготовления растворов хитозана, ЭМП полем и варьируя его частоту, возможно получение растворов с более высокой вязкостью и меньшим поверхностным натяжением, что облегчает получение из них более прочных и эластичных пленок без внесения химических добавок. Наилучшие результаты получены при активации воды ЭМП частотой 70 и 110 МГц. Полученные пленки характеризуются меньшей гигроскопичностью, что улучшает их эксплуатационные качества. Причиной изменения свойств растворов и пленок хитозана при использовании активированной воды может быть изменение степени гидратации полярных групп хитозана, а также степени их диссоциации вследствие структурной реорганизации водной среды, что, в свою очередь, приводит к изменению конформации макромолекул полимера.
About the authors
Irina Y. Stas
Altai State University
Email: irinastas@gmail.com
Associate Professor of Physical and Inorganic Chemistry Departments
Russian Federation, BarnaulEkaterina A. Popova
Altai State University
Author for correspondence.
Email: yekaterina.p0115@gmail.com
Postgraduate student of the Department of Physical and Inorganic Chemistry
Russian Federation, BarnaulReferences
- Гальбрайх, Л. С. Хитин и хитозан: строение, свойства, применение / Л. С. Гольбрайх. – Текст: непосредственный // Соросовский образовательный журнал. – 2001. – № 1. – С. 51-56.
- Скрябина, К. Г. Хитин и хитозан: получение, свойства, применение / К. Г. Скрябина, Г. А. Вихорева, В. П. Варламова. – М.: Наука, 2002. – 368 с. – Текст: непосредственный.
- Zhou, X. Preventive effect of gelatinizedly-modified chitosan film on peritoneal adhesion of different types /Х. Zhou – Direct text // World J. Gastroenterol. – 2007. – V. 13. – № 8. – P. 1262 – 1267.
- Lauder, C. I.W. Use of a Modified Chitosan-Dextran Gel to Prevent Peritoneal Adhesions in a Rat Model / C. I. W. Lauder, A. Strickland, G. J. Maddern – Direct text // J. Surg. Res. Elsevier Inc. – 2011. – V. 171. – № 8. – P. 877 – 882.
- Ahmed, S., Ikram S. Chitosan Based Scaffolds and Their Applications in Wound Healing Ahmed / S. Ahmed, S. Ikram – Direct text // Achiev. Life Sci. Far Eastern Federal University. – 2016. – V.10. – № 1. – P. 732–737.
- Liu, T. M. Enhanced biocompatibility and antibacterial property of polyurethane materials modified with citric acid and chitosan / Т. М. Liu, X. Z. Wu, Y. R. – Direct text // J. Biomater. Sci. Polym. Ed. – 2016. – V. 27. – №12. – P. 1211 – 1231.
- Chatelet C., Damour O., Domard A. Influence of the degree of acetylation on some biological properties of chitosan films // Biomaterials. 2001. V. 22. №3. P. 261–268.
- Паламарчук, И. А. Кооперативные взаимодействия в системе лигносульфонат-хитозан / И.А. Паламарчук, Н. А. Макаревич, О. С. Бровко. – Текст: непосредственный // Химия растительного сырья. – 2008. – № 4. – С. 29-34.
- Stas, I. Ye. Effect of ultrahigh-frequency electromagnetic field on the properties of associated liquids /I. Ye. Stas, S. S. Pavlova – Direct text //Bulletin of the University of Karaganda. – Chemistry. – 2020. – №4 (100). – Р.75-84.
- Шарлаева Е. А. Изменение когезионных и адгезионных характеристик воды как результат электромагнитного воздействия / В. Ю. Чиркова, Е. А. Шарлаева, И. Е. Стась. – Текст: непосредственный // Известия вузов. Серия: Прикладная химия и биотехнология. – 2019. – Т. 9, № 2. – С. 222-231.
- Chirkova, V.Yu. Тemperature and the enthalpy of water vaporization exposed to high frequency electromagnetic field / V. Yu. Chirkova, Ye. A. Sharlayeva, I. Ye. Stas – Direct text //Bulletin of the University of Karaganda – Chemistry. – 2019. – Vol. 94. – № 2. – P.51-55.
- Стась, И. Е. Вязкость растворов желатина, приготовленных на облученной электромагнитным полем воде / И. Е. Стась, В. Ю. Чиркова, М. И. Минин – Текст: непосредственный // Вестник Воронежского государственного университета. Серия: Химия. Биология. Фармация. – 2016. – № 2. – C. 32-36.
- Стась, И. Е. Влияние электромагнитной обработки воды на вязкость и оптические характеристики растворов натриевой соли карбоксиметилцеллюлозы / И. Е. Стась, А. .В. Михейлис – Текст: непосредственный // Ползуновский вестник. – 2018. – № 4. – С. 140-144.
- Шипунов, Б. П. Аномальная реология растворов агар-агара, приготовленных с использованием воды, подвергнутой воздействию электромагнитного поля / Б. П. Шипунов, В. И. Маркин. – Текст: непосредственный // Химия растительного сырья. – 2020. – № 1. – С. 73-80.
- Stas, I. Ye. Effect of pH and water irradiation with the electromagnetic field on the gelation of gelatin solutions / I. Ye. Stas, S. S. Pavlova – Direct text // Bulletin of the University of Karaganda. Chemistry. – 2020. – № 4 (100). – Р. 96-103.
- Стась, И. Е. Интегральная теплота набухания желатина в воде, подвергшейся воздействию электромагнитного поля ультравысоких частот / И. Е. Стась – Текст: непосредственный // Вестник Воронежского государственного университета. Серия: Химия. Биология. Фармация. – 2021. – № 1. – С. 42-47.
- Худякова, Т. А. Кондуктометрический метод анализа: учебное пособие / Т. А. Худякова, А. П. Крешков. – М.: Высшая школа, 1975. – 207 с. – Текст: непосредственный.
- Fei, Liu X. Antibacterial action of chitosan and carboxymethylated chitosan / Liu X. Fei – Direct text // J. Appl. Polym. Sci. – 2001. – V. 79. – №7. – P. 1324–1335.
- Shahidi, F. Chitin, chitosan, and co-products: chemistry, production, applications, and health effects / F. Shahidi, R. Abuzaytoun – Direct text // Adv. Food Nutr. Res. – 2005. – V.49. – P. 93 – 135.
- Shukla, S. K. Chitosan-based nanomaterials: A state-of-the-art review /S. K. Shukla – Direct text // Int. J. Biol. Macromol/ – 2013. -№1. – P. 1–13.
- ГОСТ 28840-90 Машины разрывные и универсальные для статических испытаний металлов и конструкционных пластмасс. – М.: Изд-во стандартов, 1990. С. 39-48.
- Савин, С. Н. Экспериментальное определение модуля Юнга полимерных материалов / С. Н. Савин. – Текст: непосредственный // Вестник ОНУ. Серия: Химия. – 2016. – Т. 21, № 1. – С. 72-79.
- Moorjani, M. N. Parameters affecting the viscosity of chitosan from prawn waste / M. N. Moorjani, V. Achutha, D. I. Khasim – Direct text // J. Food Sci. Technol. – 1975. – V. 12. №2. – P. 187 – 189.
- Козырева, Е. В. Поверхностное натяжение растворов хитозана /Е. В. Козырева, О. В. Юкина, А. Б. Шиповская. – Текст: электронный // Современные проблемы науки и образования. – 2012. – № 4. – URL: https://science-education.ru/ru/article/view?id=6851 (дата обращения: 17.01.2024).
- Полимерные пленки / Под редакцией Е. М. Абдель-Бари; Пер. с англ. под ред. Г. Е. Заикова. – СПб.: Профессия, 2006. – 352 с. – Текст: непосредственный.
- Большаков, И. Н. Электронные и колебательные спектры хитозана / И. Н. Большаков, А. Г. Сизых, К. В. Сурков, Н. С. Дуреева, А. В. Шунтиков. – Текст: непосредственный // Хитин и хитозан: материалы VIII междунар. конф. Казань. 2006. – С. 86-89.
- Ихтиарова, Г. А. Получение хитина и хитозана из медоносного местного пчелиного подмора Apis Mellifera / Г. А. Ихтиарова, Ш. Б. Маматова, Ф. Н. Курбанова. – Текст: непосредственный // Universum: Технические науки. – 2018. – № 5.
- Гартман, О. Р. Технология и свойства хитозана из рачка гаммаруса / О. Р. Гартман, В. М. Воробьева. – Текст: непосредственный // Фундаментальные исследования. – 2013. – № 6-5. – С. 1188-1192.
- Способ получения биоразлагаемой пленки на основе хитозана и крахмала для медицины: пат. 2656502 Рос. Федерация: МПК7 С 08 J 5/18, A 61 L 15/22. / Фадеева И.В. [и др.]; заявитель и патентообладатель ФГБУН Ин-т металлургии и материаловедения РАН. – № 2017127781; заявл. 03.08.2017; обубл. 05.06.2018, Бюл. №16. 6 с.
- Панарин, Е. Ф. Матрица для культивирования клеток кожи человека на основе природных полисахаридов – хитина и хитозана / Е. Ф. Панарин, Л. Ф. Нудьга, В. А. Петрова, А. М. Бочек, Г. Л. Гофман. – Текст: непосредственный // Клеточная трансплантология и тканевая инженерия. – 2009. – Т. 4, № 3. – С. 42-46.
- Беспалова, Ж. И. Растворы высокомолекулярных соединений. Коллоидная химия полимеров: учебное пособие / Ж. И. Беспалова, В. И. Любушкин, И. А. Пятерко, В.А. Клушин. – Новочеркасск: Изд-во ЮР-ГТУ, 2009. – 83 с. – Текст: непосредственный.
Supplementary files





