The impact of obesity on COVID-19 outcomes in hospitalized patients
- Authors: Markova T.N.1,2, Anchutina A.A.1,2, Bodranets A.A.1
-
Affiliations:
- A.I. Yevdokimov Moscow State University of Medicine and Dentistry
- Moscow City Clinical Hospital No. 52
- Issue: Vol 50, No 8 (2022)
- Pages: 471-480
- Section: ARTICLES
- URL: https://medbiosci.ru/2072-0505/article/view/148993
- DOI: https://doi.org/10.18786/2072-0505-2022-50-060
- ID: 148993
Cite item
Full Text
Abstract
Background: Obesity is recognized as a risk factor for adverse outcomes in patients with COVID-19. However, a number of studies, including an analysis of the Federal Registry of Diabetic Patients (Russian Federation), have not identified any significant effect of obesity on mortality in COVID-19. Therefore, the role of obesity, assessed by body mass index (BMI) and waist circumference (WC), as a risk factor for an unfavorable course of coronavirus infection remains disputable.
Aim: To assess the impact of obesity on the severity and outcomes of coronavirus infection in the Russian population of hospitalized patients.
Materials and methods: This was a single center, retrospective, observational study in 367 patients with the polymerase chain reaction (PCR)-confirmed diagnosis of COVID-19 hospitalized to the in-patient department from April 2020 to November 2021. The first group included 185 patients with obesity (BMI ≥ 30.0 kg/m2); the second group consisted of 182 patients without obesity (BMI < 30.0 kg/m2). Prevalence of comorbidities, clinical and laboratory parameters, and computed tomography results were assessed in both groups. WC was measured in 100 patients.
Results: In this Russian population of hospitalized patients with COVID-19, obesity (BMI ≥ 30.0 kg/m2) didn't increase the probability of death both in the general sample (odds ratio (OR) = 1.31; 95% confidence interval (CI) 0.90–1.92, p = 0.164) and in the patients with type 2 diabetes (OR = 1.0; 95% CI 0.59–1.7, p = 0.997) or without diabetes (OR = 1.3; 95% CI 0.71–2.39, p = 0.392). However, obesity was associated with a 1,7-fold increase of the risk of severe COVID-19 (95% CI 1.13–2.59, p = 0.010). Morbid and abdominal obesity (according to World Health Organization and International Diabetes Federation criteria) had no significant impact on the death rate. WC of ≥ 101 cm, regardless of the patient’s gender, was associated with a 4,9-fold increase of the risk of death (95% CI 1.45–16.42, p = 0.012).
Conclusion: Obesity didn’t show any significant effect on mortality, but increased the chance of severe course of COVID-19 infection. Abdominal obesity (WC ≥ 101 cm) was a more significant factor in predicting of a fatal outcome, than BMI.
Keywords
Full Text
С начала пандемии коронавирусной инфекции общее количество подтвержденных случаев заболевания составило 648 млн с совокупной смертностью 6,6 млн [1]. Неоднократно подтверждалась высокая распространенность среди пациентов с COVID-19 сопутствующих заболеваний, в том числе сахарного диабета (СД) и ожирения [2, 3]. Коморбидная патология способствует более тяжелому течению коронавирусной инфекции с повышенным риском развития летального исхода. В метаанализе, проведенном A. Kumar и соавт., объединившем 16 003 пациентов, СД повышал вероятность тяжелой формы COVID-19 в 2,8 раза, а риск смертельного исхода – в 1,9 раза [4].
Однако вопрос о влиянии ожирения на течение коронавирусной инфекции остается дискутабельным. С одной стороны, в ряде исследований отмечено увеличение риска тяжелого течения COVID-19 при наличии ожирения вне зависимости от индекса массы тела (ИМТ, кг/м2). Ожирение повышало риски поступления в отделение интенсивной терапии на 74%, потребность в искусственной вентиляции легких (ИВЛ) – на 66%, вероятность неблагоприятного исхода с увеличением смертности – на 48% [5, 6]. В проспективном когортном исследовании, проведенном в больницах Парижа, выявлена следующая закономерность: при ИМТ от 30 до 35 смертность возрастала в 1,9 раза, от 35 до 40 – в 2,8 раза, ≥ 40 – в 2,6 раза [7]. С другой стороны, в метаанализе данных 46 исследований X. Zhao и соавт. показали, что ожирение – значимый фактор риска только для тяжелого исхода COVID-19, но не для смертности, тогда как ИМТ ≥ 35 связан с достоверным повышением летального исхода в 3,8 раза [8]. В английском популяционном когортном исследовании риск смерти возрастал при ИМТ 35–39 в 1,2 раза и ИМТ ≥ 40,0 в 1,6 раза в группе больных СД 2-го типа и COVID-19 [9]. При анализе Федерального регистра больных сахарным диабетом (Российская Федерация) выявлено отсутствие достоверного влияния ожирения (ИМТ ≥ 30) на вероятность развития смерти при COVID-19, а летальность в группе пациентов с ИМТ > 40 была в 1,5−2,5 раза выше по сравнению с группами с нормальной массой тела и ИМТ 25−29, но так же без достижения статистической значимости [10]. M. Khalangot и соавт. установили отсутствие влияния ожирения (ИМТ ≥ 30) на шансы смерти, однако показали, что окружность талии (ОТ) более 105 см увеличивала смертность в 8,9 раза [11].
Неоднозначность опубликованных к настоящему времени данных о влиянии ожирения и особенностей распределения жировой ткани на смертность при коронавирусной инфекции определила цель настоящего исследования – оценить влияние ожирения, диагностированного по ИМТ и ОТ, на тяжесть течения и исходы коронавирусной инфекции в российской популяции госпитализированных больных.
Материал и методы
С апреля 2020 по ноябрь 2021 г. проводилось одноцентровое наблюдательное динамическое ретроспективное двухвыборочное сравнительное исследование пациентов, госпитализированных в стационары ГБУЗ г. Москвы «Городская клиническая больница № 52 ДЗМ», перепрофилированные для оказания помощи больным коронавирусной инфекцией (рис. 1).
Рис. 1. Дизайн исследования; IDF – англ. International Diabetes Federation (Международная федерация диабета), ВОЗ – Всемирная организация здравоохранения, ИМТ – индекс массы тела, КТ ОГК – компьютерная томография органов грудной клетки, ОТ – окружность талии
Критериями включения в исследование были: диагноз COVID-19, подтвержденный методом полимеразной цепной реакции; возраст более 18 лет; вирусные изменения в легких по данным компьютерной томографии (КТ). Из исследования исключались пациенты с отрицательным результатом мазка из носо- и ротоглотки на вирус SARS-CoV-2 по данным полимеразной цепной реакции, отсутствием поражения легких вирусного генеза по данным КТ, имеющие иммунодефицитные состояния, тяжелые онкологические заболевания с продвинутыми стадиями метастазирования (T4N3M1), трансплантированные органы, а также получающие заместительную почечную терапию.
У всех пациентов оценивали распространенность сопутствующих заболеваний, антропометрические данные на момент госпитализации в стационар (рост, масса тела, ИМТ), клинико-лабораторные показатели в динамике – при поступлении и на 7-е сутки госпитализации: сатурацию кислорода, глюкозу плазмы натощак (ГПН), уровень лейкоцитов, лимфоцитов, нейтрофилов, С-реактивного белка (СРБ), лактатдегидрогеназы (ЛДГ), фибриногена, Д-димера, интерлейкина-6 (ИЛ-6). У 100 участников дополнительно оценивали ОТ, данные КТ органов грудной клетки в динамике (на 7-е сутки госпитализации), анализировали получаемую терапию коронавирусной инфекции.
В исследуемых группах оценивалась степень тяжести коронавирусной инфекции, а также неблагоприятные исходы: госпитализация в отделение реанимации и интенсивной терапии (ОРИТ), потребность в ИВЛ, смерть. Анализировали динамику изменения клинико-лабораторных параметров при поступлении и на 7-е сутки госпитализации, влияние пола на неблагоприятный исход среди пациентов с ожирением, а также определяли «критические точки» ИМТ и ОТ, прогнозирующие неблагоприятный исход COVID-19.
Всего проанализированы 883 участника, у которых верифицированы гипертоническая болезнь (ГБ), хроническая сердечная недостаточность (ХСН), ишемическая болезнь сердца (ИБС), хроническая болезнь почек (ХБП) (скорость клубочковой фильтрации < 60 мл/мин/1,73 м2), онкологические заболевания, болезни органов дыхания и ожирение с ИМТ ≥ 30 без подразделения на степени ожирения, с проведением оценки прогностических факторов риска летального исхода в данной группе. Среди всех участников 382 пациента имели СД 2-го типа, 501 пациент был без СД. Из основной выборки выделены также 367 участников, которые были распределены по классу массы тела в группу с ожирением (ИМТ ≥ 30) – 185 участников и в группу без ожирения (ИМТ < 30) – 182 человека. Дополнительно проводился анализ в группах больных с морбидным ожирением (n = 84) и без ожирения (ИМТ < 30) (n = 182) [12]. Разделение выборки по ОТ на группы осуществлялось согласно критериям Всемирной организации здравоохранения (ВОЗ, 1997) по высокому риску развития метаболических осложнений, связанных с ожирением, а именно: для мужчин ≥ 102 см, для женщин ≥ 88 см [13], а также по критериям Международной федерации диабета (англ. International Diabetes Federation, IDF, 2005): для мужчин ≥ 94 см, для женщин ≥ 80 см [14].
ИМТ рассчитывали как отношение массы тела в килограммах, разделенной на рост в метрах в квадрате (кг/м2). Ожирение определялось как ИМТ ≥ 30, а морбидное ожирение – как ожирение с ИМТ ≥ 35 при наличии серьезных осложнений, связанных с ожирением, или ожирение с ИМТ ≥ 40 вне зависимости от осложнений [12]. Определение ГПН проводили глюкозооксидазным методом. Уровень лейкоцитов, лимфоцитов, нейтрофилов, СРБ, ЛДГ, фибриногена, Д-димера в крови определяли по стандартной методике, ИЛ-6 – иммунохемилюминесцентным методом. Степень поражения легких по данным КТ устанавливали согласно следующим критериям: минимальный объем поражения легочной ткани (< 25%) – КТ-1; средний объем поражения (25–50%) – КТ-2; значительный объем поражения (50–75%) – КТ-3; субтотальный (> 75%) – КТ-4. Все пациенты получали стандартную терапию согласно актуальным на момент исследования временным методическим рекомендациям по профилактике, диагностике и лечению новой коронавирусной инфекции. Критерии степени тяжести COVID-19, показания к переводу в ОРИТ, критерии выписки из стационара также определялись с учетом вышеуказанных рекомендаций [15].
Этическая экспертиза исследования не проводилась в связи с его ретроспективным характером и использованием рутинных методов диагностики и лечения. Дополнительное медикаментозное вмешательство вне протокола ведения пациентов отсутствовало.
Статистический анализ базы данных осуществлялся в программе IBM SPSS Statistics v.26 и Microsoft Office Excel 2017 (Microsoft Corp., США). Количественные показатели представляли в виде медианы и квартилей (Me [Q25; Q75]), различия вычислялись с помощью U-критерия Манна – Уитни. Категориальные показатели описывали как процент (абс.). Оценка различий качественных показателей выполнена с использованием критерия χ2 Пирсона или точного критерия Фишера при количестве наблюдений в одной из ячеек четырехпольной таблицы < 5. С помощью анализа ROC-кривых для ИМТ и ОТ получены точки отсечения (англ. cut-off) с наилучшим сочетанием чувствительности и специфичности. Для оценки степени повышения риска тяжелого течения и смертельного исхода использовали метод отношения шансов. Различия считались статистически значимыми при р < 0,05.
Результаты
В общей выборке пациентов (n = 883) медиана ИМТ составила 30,4 [25, 8–35, 2]. Распространенность ожирения среди госпитализированных пациентов с COVID-19 (n = 883) была достаточно высока и составила 38,8% (343 пациента), однако не выявлено влияния данного показателя (ИМТ ≥ 30,0) на повышение шанса смертельного исхода при коронавирусной инфекции (отношение шансов (ОШ) 1,31; 95% доверительный интервал (ДИ) 0,90–1,92, p = 0,164). Необходимо отметить, что СД 2-го типа в исследуемой выборке пациентов (n = 883) был одним из значимых факторов и повышал шанс смертельного исхода в 1,7 раза (95% ДИ 1,13–2,42, p = 0,009). В числе других достоверных факторов, повышающих шансы летального исхода при COVID-19, были: наличие ГБ – в 4,2 раза (95% ДИ 2,27–7,76, p < 0,001), ХСН – в 2,3 раза (95% ДИ 1,50–3,50, p = 0,001), ИБС – в 2,1 раза (95% ДИ 1,37–3,10, p < 0,001), ХБП (скорость клубочковой фильтрации < 60 мл/мин/1,73 м2) – в 3,2 раза (95% ДИ 2,14–4,79, p < 0,001), онкологического заболевания – в 2,7 раза (95% ДИ 1,66–4,31, p < 0,001). Мужской пол (ОШ 1,30; 95% ДИ 0,89–1,90, p = 0,170), болезни органов дыхания (ОШ 1,04; 95% ДИ 0,53–2,02, p = 0,918) не имели статистически значимого влияния на летальный исход COVID-19 (рис. 2).
Рис. 2. Влияние сопутствующих заболеваний на риск развития летального исхода при COVID-19; ДИ – доверительный интервал, ОШ – отношение шансов; *скорость клубочковой фильтрации < 60 мл/мин/1,73 м2
Отмечалось закономерное преобладание пациентов с ожирением в группе больных СД 2-го типа (n = 382), в отличие от больных без диабета (n = 501) (57,3 против 24,8%, p < 0,001), однако не получено статистически значимого повышения шанса смерти при ИМТ ≥ 30 как в первой (ОШ 1,0; 95% ДИ 0,59–1,7, p = 0,997), так и во второй (ОШ 1,3; 95% ДИ 0,71–2,39, p = 0,392) когорте пациентов.
На следующем этапе проанализированы данные в зависимости от наличия ожирения. Всего в анализ включено 367 участников. Из них пациенты с ожирением (ИМТ ≥ 30) составили первую группу наблюдения (n = 185), а участники без ожирения (ИМТ < 30) – вторую (n = 182).
В исследуемых группах имелись гендерные различия – в группе с ожирением преобладали женщины. В первой группе доля мужчин составила 29,2%, а во второй – 43,4%; доля женщин в первой группе – 70,8%, во второй – 56,6% (p = 0,005). Пациенты с ожирением имели более молодой возраст (медиана возраста в первой группе 62 года против 66 лет во второй группе, p = 0,005). У больных с ожирением закономерно преобладала распространенность таких сопутствующих заболеваний, как ГБ (81,6 против 63,2%, p < 0,001), ИБС (25,4 против 16,5%, p = 0,036), СД (58,9 против 35,2%, p < 0,001), патология органов дыхания (11,9 против 4,4%, p = 0,019). По наличию ХСН (21,6 против 15,4%, p = 0,124), онкологическим заболеваниям (10,8 против 16,5%, p = 0,113), ХБП (93,5 против 95,1%, p = 0,525) исследуемые группы не различались.
Пациенты с ожирением имели более низкие показатели сатурации кислорода на 7-е сутки госпитализации, более высокие уровни ГПН как при поступлении, так и на 7-е сутки пребывания в стационаре, отличались преобладанием уровня лимфоцитов при поступлении по сравнению с группой без ожирения. Однако по маркерам воспалительной реакции (СРБ, ЛДГ, Д-димер, фибриноген, ИЛ-6) группы не имели статистически значимых различий (таблица).
Сравнение групп с ожирением (индекс массы тела ≥ 30) и без ожирения (индекс массы тела < 30) по клинико-лабораторным показателям
Показатель | Группа с ожирением (n = 185) | Группа без ожирения (n = 182) | Значение p |
ИМТ | < 0,001 | ||
Рост, см | 165 [160–170] | 168 [162–175] | 0,060 |
Масса тела, кг | 72 [64–81] | < 0,001 | |
SpO2 при поступлении, % | 95 [93–97] | 95 [93–97] | 0,060 |
SpO2 на 7-е сутки, % | 96 [92–97] | 96 [94–98] | 0,034 |
ГПН при поступлении, ммоль/л | 0,001 | ||
ГПН на 7-е сутки, ммоль/л | 0,012 | ||
Лейкоциты при поступлении, 109/л | 0,288 | ||
Лейкоциты на 7-е сутки, 109/л | 0,699 | ||
Лимфоциты при поступлении, 109/л | 0,013 | ||
Лимфоциты на 7-е сутки, 109/л | 0,364 | ||
Нейтрофилы при поступлении, 109/л | 0,580 | ||
Нейтрофилы на 7-е сутки, 109/л | 0,454 | ||
СРБ при поступлении, мг/л | 0,477 | ||
СРБ на 7-е сутки, мг/л | 0,842 | ||
ЛДГ при поступлении, Ед/л | 0,276 | ||
ЛДГ на 7-е сутки, Ед/л | 0,185 | ||
Фибриноген при поступлении, г/л | 0,394 | ||
Фибриноген на 7-е сутки, г/л | 0,412 | ||
Д-димер при поступлении, нг/мл | 0,906 | ||
Д-димер на 7-е сутки, нг/мл | 0,388 | ||
ИЛ-6, пг/мл | 0,871 |
SpO2 – сатурация кислорода, ГПН – глюкоза плазмы натощак, ИЛ-6 – интерлейкин-6, ИМТ – индекс массы тела (кг/м2), ЛДГ – лактатдегидрогеназа, СРБ – С-реактивный белок
Данные представлены в виде медианы и квартилей (Me [Q25–Q75])
По результатам КТ группы наблюдения различались только по доле пациентов, имевших КТ-3, с преобладанием в первой группе – 29,7 против 19,2% (p = 0,019). По длительности госпитализации также не получено значимых различий (10 койко-дней в обоих случаях, p = 0,829). Группы были сопоставимы по получаемой патогенетической терапии COVID-19: генно-инженерными биологическими препаратами (62,7 против 61,5%, p = 0,818), глюкокортикостероидами (ГКС) (32,4 против 36,8%, p = 0,378).
Пациенты со среднетяжелым течением COVID-19 преобладали в группе без ожирения (44,9 против 58,2%), однако в группе с ожирением имелась обратная зависимость: тяжелое течение имели 55,1 против 41,8% пациентов во второй группе (p = 0,010). Ожирение повышало шанс тяжелого течения COVID-19 в 1,7 раза (95% ДИ 1,13–2,59). Однако по доле переведенных в ОРИТ пациентов (23,8 против 19,8%, p = 0,353), нуждающихся в ИВЛ (14,6 против 13,2%, p = 0,697), а также по смертельным исходам (21,1 против 18,1%, p = 0,477) больные COVID-19 с ожирением и без ожирения не различались.
Сравнение групп больных с морбидным ожирением (n = 84) и без ожирения (ИМТ ≤ 30, n = 182) также не имело значимых различий по доле смертельных исходов (20,2 против 18,1%, p = 0,683) и по числу пациентов, переведенных в ОРИТ (21,4 против 19,8%, p = 0,756) и на ИВЛ (10,7 против 13,2%, p = 0,570). Тем не менее у больных с морбидным ожирением чаще было тяжелое течение инфекции (56,0 против 41,8%, p = 0,031; ОШ 1,8; 95% ДИ 1,05–2,97).
Таким образом, ожирение, диагностированное по ИМТ, утяжеляло течение коронавирусной инфекции, но не было фактором риска летального исхода.
С целью выбора оптимального значения ИМТ, влияющего на прогноз COVID-19, был использован анализ ROC-кривых. Полученная ROC-кривая характеризовалась значением AUC (англ. area under the curve – площадь под кривой) = 0,58 ± 0,03 (95% ДИ 0,52–0,64), модель статистически значима (p = 0,008). Пороговое значение ИМТ, разделяющее пациентов по тяжести течения COVID-19, составляло 29 кг/м2. При ИМТ ≥ 29 прогнозировался высокий риск тяжелого течения коронавирусной инфекции. Однако полученная модель имела низкие показатели чувствительности и специфичности – 63 и 51% соответственно (рис. 3). Следует отметить, что при прогнозировании вероятности перевода в ОРИТ (AUC = 0,515 ± 0,04 (95% ДИ 0,45–0,59), p = 0,677), на ИВЛ (AUC = 0,484 ± 0,04 (95% ДИ 0,40–0,57), p = 0,714), а также смертельного исхода (AUC = 0,520 ± 0,04 (95% ДИ 0,45–0,59), p = 0,607) в зависимости от ИМТ статистически значимых моделей анализа ROC-кривых получено не было. Следовательно, согласно анализу ROC-кривых, при ИМТ ≥ 29,0 прогнозировался высокий риск тяжелого течения коронавирусной инфекции.
Рис. 3. ROC-кривая оценки прогностического значения индекса массы тела на тяжесть течения COVID-19
Проведен анализ влияния пола на неблагоприятный исход среди пациентов с ожирением (n = 185). Когорта больных была разделена на группу мужчин с ожирением (n = 54) и группу женщин с ожирением (n = 131). Мужчины с ожирением характеризовались более молодым возрастом (медиана возраста у мужчин 58 лет против 63 лет у женщин, p = 0,001). По сопутствующим заболеваниям исследуемые группы не имели различий, как и по тяжести течения COVID-19 (p = 0,367), количеству переведенных в ОРИТ пациентов (p = 0,066), нуждающихся в ИВЛ (p = 0,253), смертельным исходам (p = 0,807). Следовательно, не отмечалось статистически значимого влияния пола у больных с ожирением на исходы коронавирусной инфекции.
Изучено воздействие абдоминального ожирения на исходы COVID-19. Выборка разделялась на группу с абдоминальным ожирением по критериям ВОЗ (ОТ ≥ 102 см у мужчин и ≥ 88 см у женщин, n = 66) и группу контроля (ОТ < 102 см у мужчин и < 88 см у женщин, n = 34). Тяжелое течение COVID-19 преобладало у больных с абдоминальным ожирением (42,4% vs 20,6%, p = 0,030), как и доля переведенных в ОРИТ (27,3% vs 8,8%, p = 0,039). В первой группе наблюдалась тенденция к увеличению количества пациентов на ИВЛ (19,7 против 5,9%, p = 0,081) и более высокой частоте смертельных исходов (21,2 против 5,9%, p = 0,081), однако без статистической значимости. При разделении выборки согласно критериям абдоминального ожирения IDF первую группу (с ОТ ≥ 94 см у мужчин и ≥ 80 см у женщин) составили 85 человек и вторую группу (с ОТ < 94 см у мужчин и < 80 см у женщин) – 15. Получено статистически значимое преобладание переведенных в ОРИТ пациентов в первой группе (24,7 против 0%, p = 0,036). Однако по тяжелому течению (38,8 против 13,3%, p = 0,078), количеству больных на ИВЛ (17,7 против 0%, p = 0,118), смертельным исходам (18,8 против 0%, p = 0,120) значимых различий не отмечалось.
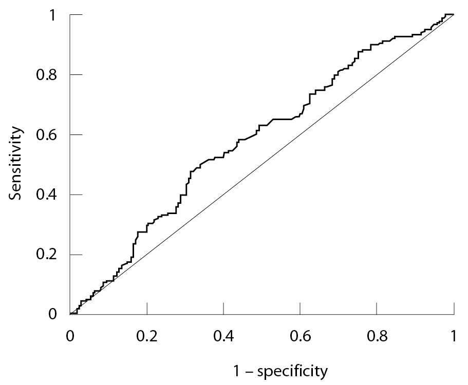
Далее у 100 пациентов был проведен анализ ROC-кривых зависимости вероятности летального исхода от ОТ (см). Данная модель оказалась статистически незначимой (AUC = 0,631 ± 0,07 (95% ДИ 0,49–0,77), p = 0,098). Дальнейшее изучение взаимосвязи тяжести течения COVID-19 от ОТ, с точкой отсечения, равной 101 см, показало высокую вероятность тяжелого течения инфекции (p = 0,002), с характеристиками AUC = 0,69 ± 0,06 (95% ДИ 0,58–0,79), чувствительностью 66%, специфичностью 68% (рис. 4).
Рис. 4. ROC-кривая оценки прогностического значения окружности талии на вероятность тяжелого течения COVID-19
При разделении выборки на группу пациентов с ОТ ≥ 101 см (n = 44) и группу контроля с ОТ < 101 см (n = 56) вне зависимости от пола получены следующие результаты. Группы были сопоставимы по полу (p = 0,462) и возрасту (p = 0,093). В первой группе доля сопутствующих заболеваний, связанных с абдоминальным ожирением, была ожидаемо выше: ГБ (90,9 против 73,2%, p = 0,038), ИБС (27,3 против 10,7%, p = 0,039), ХСН (29,6 против 10,7%, p = 0,022), СД 2-го типа (68,2 против 48,2%, p = 0,045). Наблюдались различия по данным КТ органов грудной клетки при поступлении: КТ-1 чаще регистрировали в группе с ОТ < 101 см (50,0 против 69,6%, p = 0,046), а КТ-2 – в группе с ОТ ≥ 101 см (45,5 против 25,0%, p = 0,032). В отношении КТ-3 группы не различались (4,6 против 5,4%, p = 1,0). На 7-е сутки госпитализации изменения в легких, соответствовавшие КТ-1, также отмечены у большинства пациентов группы контроля (29,6 против 57,1%, p = 0,006), а по КТ-2 (36,4 против 21,4%, p = 0,099), КТ-3 (18,2 против 14,3%, p = 0,784), КТ-4 (15,9 против 5,4%, p = 0,101) группы не имели различий.
Пациенты с ОТ ≥ 101 см характеризовались более низкими показателями сатурации кислорода как при поступлении (95 против 96%, p = 0,038), так и на 7-е сутки госпитализации (93 против 96%, p = 0,003), отличались повышенным уровнем ГПН (8,9 против 7,5 ммоль/л, p = 0,017 и 10,1 против 7,2 ммоль/л, p < 0,001 соответственно), Д-димера (486,0 против 340,0 нг/мл, p = 0,010 и 579,5 против 360,0 нг/мл, p = 0,027 соответственно) в двух точках измерения, имели более высокие значения маркеров воспалительной реакции на 7-е сутки: лейкоцитов (10,1 × 109/л против 8,5 × 109/л, p = 0,022), нейтрофилов (8,2 × 109/л против 6,6 × 109/л, p = 0,013), СРБ (4,4 против 2,6 мг/л, p = 0,027), ЛДГ (358,2 против 271,0 ЕД/л, p = 0,002), а также более выраженную лимфопению (0,9 × 109/л против 1,2 × 109/л, p = 0,021).
Группы были сопоставимы по длительности госпитализации (12 против 11 койко-дней, p = 0,122), получаемой терапии генно-инженерными биологическими препаратами (88,6 против 89,3%, p = 1,0), ГКС (95,5 против 96,4%, p = 1,0). Однако пациентам с ОТ ≥ 101 см требовались большие дозы тоцилизумаба (324 против 200 мг, p = 0,025).
Участники с ОТ ≥ 101 см в сравнении с группой контроля характеризовались более тяжелым течением COVID-19 (52,3 против 21,4%, p = 0,001), большей долей пациентов, переведенных в ОРИТ (36,4 против 8,9%, p = 0,001), нуждающихся в ИВЛ (25,0 против 7,1%, p = 0,022). Смертность в первой группе была статистически значимо выше, чем во второй, – 27,3 и 7,1% соответственно (p = 0,012). Наличие ОТ ≥ 101 см у пациентов с COVID-19 независимо от пола повышало шансы тяжелого течения инфекции в 4,0 раза (95% ДИ 1,68–9,59), перевода в ОРИТ в 5,8 раза (95% ДИ 1,93–17,6), потребности в ИВЛ в 4,3 раза (95% ДИ 1,27–14,8), а летального исхода – в 4,9 раза (95% ДИ 1,45–16,42). Следовательно, среди пациентов с ожирением и COVID-19 более значимым фактором, влияющим на смертность, является ОТ ≥ 101 см, по сравнению с показателем ИМТ.
Обсуждение
Распространенность ожирения среди госпитализированных пациентов с COVID-19, по результатам проведенного нами исследования, составила 38,8%. По данным других исследований ожирение имели от 35,3 до 41,7% больных коронавирусной инфекцией [3, 16].
Ряд авторов доказывают повышенный риск тяжелого течения и смертельного исхода, госпитализации в ОРИТ и потребности в ИВЛ у пациентов с ожирением и COVID-19, с возрастанием данных рисков при увеличении ИМТ [6, 7]. Наше исследование выявило влияние ожирения, рассчитанного на основании ИМТ, только на увеличение шанса тяжелого течения COVID-19 в 1,7 раза. При этом ожирение не имело статистически значимого воздействия на смертность, перевод в ОРИТ и на ИВЛ. Кроме того, ИМТ ≥ 30 не приводил к увеличению смертельного исхода как у пациентов с СД 2-го типа, так и без диабета, что согласуется с данными анализа Федерального регистра больных сахарным диабетом (Российская Федерация) [10]. В исследовании R.C.M. Soares и соавт., проведенном в Бразилии, не выявлено влияния ожирения на смертность при COVID-19 [17]. Аналогичные результаты получены и в других исследованиях, проведенных в США и Италии [18, 19]. Недостоверно и влияние пола у больных с ожирением на исходы коронавирусной инфекции. Однако мы получили для показателя ОТ ≥ 101 см значимые результаты в отношении исходов COVID-19, с повышением шанса тяжелого течения в 4,0 раза, перевода в ОРИТ в 5,8 раза, на ИВЛ в 4,3 раза, летального исхода в 4,9 раза. В исследовании M. Khalangot и соавт. также не было установлено влияния ожирения на смертность, но достоверно выявлено повышение летальности в 8,9 раза при ОТ > 105 см [11]. A.E. Malavazos и соавт. отметили, что абдоминальное ожирение связано с высокими показателями тяжести COVID-19 при рентгенографии легких, в отличие от ожирения, диагностированного по ИМТ [20]. По данным S. Battisti и соавт., висцеральное распределение жира увеличивает риск госпитализации в ОРИТ при COVID-19 независимо от ИМТ [21].
Известно, что именно висцеральное ожирение, а не подкожно-жировая клетчатка, вносит основной вклад в развитие сердечно-сосудистых заболеваний и провоспалительного статуса [22–24]. Именно поэтому IDF включила ОТ в обязательный критерий диагностики метаболического синдрома [14]. Висцеральная жировая ткань отличается от подкожно-жировой клетчатки измененной вазомоторной функцией микроциркуляторного русла, содержит большое количество рецепторов к ГКС и катехоламинам, характеризуется повышенным содержанием иммунокомпетентных клеток [25–28]. Предполагаемым механизмом влияния ожирения на прогноз коронавирусной инфекции может служить повышенный уровень экспрессии рецептора ACE-2 в висцеральной жировой ткани, что увеличивает тропизм вируса SARS-CoV-2 к адипоцитам и создает депо вируса в этих клетках [29]. Иммунологические и метаболические нарушения, характерные для пациентов с ожирением, создают условия для хронического воспалительного состояния организма, что приводит к большей приверженности инфекциям [30]. Все больше данных свидетельствует о том, что ожирение может приводить к нарушению механики и физиологии легких с изменением топографического распределения вентиляции [31]. Показана взаимосвязь ожирения с состояниями гиперкоагуляции, в частности тромбоэмболией легочной артерии, что может вносить свой вклад в смертность при COVID-19, которая также ассоциирована с коагулопатией и повышенным уровнем Д-димера [32, 33]. Таким образом, ожирение приводит к тяжелому течению COVID-19, однако более значимым фактором, влияющим на смертность пациентов с коронавирусной инфекцией, является ОТ по сравнению с ИМТ.
Ограничения исследования. Исследование носило ретроспективный характер. К ограничениям данного исследования следует отнести малую выборку пациентов с абдоминальным ожирением и небольшую длительность наблюдения за исследуемыми группами.
Заключение
Ожирение (ИМТ ≥ 30) в российской популяции госпитализированных пациентов с COVID-19 не влияло на летальный исход как в общей выборке больных, так и у пациентов с СД 2-го типа и без диабета, но повышало шанс тяжелого течения COVID-19 в 1,7 раза. Наличие морбидного ожирения не увеличивало шансы развития смертельного исхода COVID-19 в данной когорте пациентов. Незначимо было и влияние пола у больных с ожирением на исходы коронавирусной инфекции. Наличие ОТ ≥ 101 см у больных COVID-19 повышало шанс тяжелого течения инфекции в 4,0 раза, перевода в ОРИТ – в 5,8 раза, потребности в ИВЛ – в 4,3 раза, а летального исхода – в 4,9 раза. Таким образом, среди пациентов с ожирением и COVID-19 более значимым фактором, влияюшим на смертность, является абдоминальное распределение жировой ткани (ОТ ≥ 101 см), а не ожирение, диагностированное по ИМТ.
Дополнительная информация
Финансирование
Работа выполнена по инициативе авторов без привлечения финансирования.
Конфликт интересов
Авторы декларируют отсутствие явных и потенциальных конфликтов интересов, связанных с публикацией настоящей статьи.
Участие авторов
Т.Н. Маркова – концепция и дизайн исследования, научное руководство проводимого исследования, анализ полученных данных, написание и редактирование текста; А.А. Анчутина – сбор и обработка данных, статистический анализ полученных данных, написание текста; А.А. Бодранец – сбор и обработка данных. Все авторы прочли и одобрили финальную версию статьи перед публикацией, согласны нести ответственность за все аспекты работы и гарантируют, что ими надлежащим образом были рассмотрены и решены вопросы, связанные с точностью и добросовестностью всех частей работы.
Благодарности
Авторы выражают огромную благодарность всем сотрудникам ГБУЗ г. Москвы «Городская клиническая больница № 52 ДЗМ», борющимся с пандемией COVID-19.
About the authors
Tatiana N. Markova
A.I. Yevdokimov Moscow State University of Medicine and Dentistry; Moscow City Clinical Hospital No. 52
Email: markovatn18@yandex.ru
ORCID iD: 0000-0001-7911-2424
SPIN-code: 5914-2890
MD, PhD, Associate Professor; Professor, Chair of Endocrinology and Diabetology, Faculty of General Medicine; Head of Department of Endocrinology
Russian Federation, ul. Delegatskaya 20/1, Moscow, 127473; ul. Pekhotnaya 3, Moscow, 123182Anastasia A. Anchutina
A.I. Yevdokimov Moscow State University of Medicine and Dentistry; Moscow City Clinical Hospital No. 52
Author for correspondence.
Email: anastasia.ponomariova@yandex.ru
ORCID iD: 0000-0002-6202-8821
SPIN-code: 5252-8148
Senior Technician, Chair of Endocrinology and Diabetology, Faculty of General Medicine; Endocrinologist, Department of Endocrinology
Russian Federation, ul. Delegatskaya 20/1, Moscow, 127473; ul. Pekhotnaya 3, Moscow, 123182Angelina A. Bodranets
A.I. Yevdokimov Moscow State University of Medicine and Dentistry
Email: angelishka95@gmail.com
ORCID iD: 0000-0003-3423-7893
Resident Physician, Chair of Endocrinology and Diabetology, Faculty of General Medicine
Russian Federation, ul. Delegatskaya 20/1, Moscow, 127473References
- World Health Organization. WHO Coronavirus (COVID-19) Dashboard. Available from: https://covid19.who.int/table.
- Tian W, Jiang W, Yao J, Nicholson CJ, Li RH, Sigurslid HH, Wooster L, Rotter JI, Guo X, Malhotra R. Predictors of mortality in hospitalized COVID-19 patients: A systematic review and meta-analysis. J Med Virol. 2020;92(10):1875–1883. doi: 10.1002/jmv.26050.
- Richardson S, Hirsch JS, Narasimhan M, Crawford JM, McGinn T, Davidson KW; the Northwell COVID-19 Research Consortium; Barnaby DP, Becker LB, Chelico JD, Cohen SL, Cookingham J, Coppa K, Diefenbach MA, Dominello AJ, Duer-Hefele J, Falzon L, Gitlin J, Hajizadeh N, Harvin TG, Hirschwerk DA, Kim EJ, Kozel ZM, Marrast LM, Mogavero JN, Osorio GA, Qiu M, Zanos TP. Presenting Characteristics, Comorbidities, and Outcomes Among 5700 Patients Hospitalized With COVID-19 in the New York City Area. JAMA. 2020;323(20):2052–2059. doi: 10.1001/jama.2020.6775.
- Kumar A, Arora A, Sharma P, Anikhindi SA, Bansal N, Singla V, Khare S, Srivastava A. Is diabetes mellitus associated with mortality and severity of COVID-19? A meta-analysis. Diabetes Metab Syndr. 2020;14(4):535–545. doi: 10.1016/j.dsx.2020.04.044.
- Gao F, Zheng KI, Wang XB, Sun QF, Pan KH, Wang TY, Chen YP, Targher G, Byrne CD, George J, Zheng MH. Obesity Is a Risk Factor for Greater COVID-19 Severity. Diabetes Care. 2020;43(7):e72–e74. doi: 10.2337/dc20-0682.
- Popkin BM, Du S, Green WD, Beck MA, Algaith T, Herbst CH, Alsukait RF, Alluhidan M, Alazemi N, Shekar M. Individuals with obesity and COVID-19: A global perspective on the epidemiology and biological relationships. Obes Rev. 2020;21(11):e13128. doi: 10.1111/obr.13128.
- Czernichow S, Beeker N, Rives-Lange C, Guerot E, Diehl JL, Katsahian S, Hulot JS, Poghosyan T, Carette C, Jannot AS; AP-HP / Universities / INSERM COVID-19 research collaboration and AP-HP COVID CDR Initiative. Obesity Doubles Mortality in Patients Hospitalized for Severe Acute Respiratory Syndrome Coronavirus 2 in Paris Hospitals, France: A Cohort Study on 5,795 Patients. Obesity (Silver Spring). 2020;28(12):2282–2289. doi: 10.1002/oby.23014.
- Zhao X, Gang X, He G, Li Z, Lv Y, Han Q, Wang G. Obesity Increases the Severity and Mortality of Influenza and COVID-19: A Systematic Review and Meta-Analysis. Front Endocrinol (Lausanne). 2020;11:595109. doi: 10.3389/fendo.2020.595109.
- Holman N, Knighton P, Kar P, O'Keefe J, Curley M, Weaver A, Barron E, Bakhai C, Khunti K, Wareham NJ, Sattar N, Young B, Valabhji J. Risk factors for COVID-19-related mortality in people with type 1 and type 2 diabetes in England: a population-based cohort study. Lancet Diabetes Endocrinol. 2020;8(10):823–833. doi: 10.1016/S2213-8587(20)30271-0.
- Shestakova MV, Vikulova OK, Isakov MА, Dedov II. [Diabetes and COVID-19: analysis of the clinical outcomes according to the data of the Russian Diabetes Registry]. Problems of Endocrinology. 2020;66(1):35–46. Russian. doi: 10.14341/probl12458.
- Khalangot M, Sheichenko N, Gurianov V, Vlasenko V, Kurinna Y, Samson O, Tronko M. Relationship between hyperglycemia, waist circumference, and the course of COVID-19: Mortality risk assessment. Exp Biol Med (Maywood). 2022;247(3):200–206. doi: 10.1177/15353702211054452.
- Ministry of Health of the Russian Federation. Clinical guidelines. Obesity [Internet]. 2020. Russian. Available from: https://cr.minzdrav.gov.ru/recomend/28_1.
- World Health Organization. Obesity: preventing and managing the global epidemic: report of a WHO Consultation on Obesity, Geneva, 3-5 June 1997 [Internet]. 276 p. Available from: https://apps.who.int/iris/handle/10665/63854.
- Alberti KG, Zimmet P, Shaw J; IDF Epidemiology Task Force Consensus Group. The metabolic syndrome – a new worldwide definition. Lancet. 2005;366(9491):1059–1062. doi: 10.1016/S0140-6736(05)67402-8.
- Ministry of Health of the Russian Federation. Temporary guidelines. The prevention, diagnosis and treatment of the new coronavirus infection (COVID-19). Version 13 (14.10.2021) [Internet]. 237 p. Russian. Available from: https://static-0.minzdrav.gov.ru/system/attachments/attaches/000/058/211/original/BMP-13.pdf.
- Petrilli CM, Jones SA, Yang J, Rajagopalan H, O'Donnell L, Chernyak Y, Tobin KA, Cerfolio RJ, Francois F, Horwitz LI. Factors associated with hospital admission and critical illness among 5279 people with coronavirus disease 2019 in New York City: prospective cohort study. BMJ. 2020;369:m1966. doi: 10.1136/bmj.m1966.
- Soares RCM, Mattos LR, Raposo LM. Risk Factors for Hospitalization and Mortality due to COVID-19 in Espírito Santo State, Brazil. Am J Trop Med Hyg. 2020;103(3):1184–1190. doi: 10.4269/ajtmh.20-0483.
- Salacup G, Lo KB, Gul F, Peterson E, De Joy R, Bhargav R, Pelayo J, Albano J, Azmaiparashvili Z, Benzaquen S, Patarroyo-Aponte G, Rangaswami J. Characteristics and clinical outcomes of COVID-19 patients in an underserved-inner city population: A single tertiary center cohort. J Med Virol. 2021;93(1):416–423. doi: 10.1002/jmv.26252.
- Halasz G, Leoni ML, Villani GQ, Nolli M, Villani M. Obesity, overweight and survival in critically ill patients with SARS-CoV-2 pneumonia: is there an obesity paradox? Preliminary results from Italy. Eur J Prev Cardiol. 2020:2047487320939675. doi: 10.1177/2047487320939675. Epub ahead of print.
- Malavazos AE, Secchi F, Basilico S, Capitanio G, Boveri S, Milani V, Dubini C, Schiaffino S, Morricone L, Foschini C, Gobbo G, Piccinni R, Saibene A, Sardanelli F, Menicanti L, Guazzi M, Dong C, Romanelli MMC, Carruba M, Iacobellis G. Abdominal obesity phenotype is associated with COVID-19 chest X-ray severity score better than BMI-based obesity. Eat Weight Disord. 2022;27(1):345–359. doi: 10.1007/s40519-021-01173-w.
- Battisti S, Pedone C, Napoli N, Russo E, Agnoletti V, Nigra SG, Dengo C, Mughetti M, Conte C, Pozzilli P, Giampalma E, Strollo R. Computed Tomography Highlights Increased Visceral Adiposity Associated With Critical Illness in COVID-19. Diabetes Care. 2020;43(10):e129–e130. doi: 10.2337/dc20-1333.
- Fox CS, Massaro JM, Hoffmann U, Pou KM, Maurovich-Horvat P, Liu CY, Vasan RS, Murabito JM, Meigs JB, Cupples LA, D'Agostino RB Sr, O'Donnell CJ. Abdominal visceral and subcutaneous adipose tissue compartments: association with metabolic risk factors in the Framingham Heart Study. Circulation. 2007;116(1):39–48. doi: 10.1161/CIRCULATIONAHA.106.675355.
- Rabkin SW. The relationship between epicardial fat and indices of obesity and the metabolic syndrome: a systematic review and meta-analysis. Metab Syndr Relat Disord. 2014;12(1):31–42. doi: 10.1089/met.2013.0107.
- Pou KM, Massaro JM, Hoffmann U, Vasan RS, Maurovich-Horvat P, Larson MG, Keaney JF Jr, Meigs JB, Lipinska I, Kathiresan S, Murabito JM, O'Donnell CJ, Benjamin EJ, Fox CS. Visceral and subcutaneous adipose tissue volumes are cross-sectionally related to markers of inflammation and oxidative stress: the Framingham Heart Study. Circulation. 2007;116(11):1234–1241. doi: 10.1161/CIRCULATIONAHA.107.710509.
- Farb MG, Ganley-Leal L, Mott M, Liang Y, Ercan B, Widlansky ME, Bigornia SJ, Fiscale AJ, Apovian CM, Carmine B, Hess DT, Vita JA, Gokce N. Arteriolar function in visceral adipose tissue is impaired in human obesity. Arterioscler Thromb Vasc Biol. 2012;32(2):467–473. doi: 10.1161/ATVBAHA.111.235846.
- Joyner JM, Hutley LJ, Cameron DP. Glucocorticoid receptors in human preadipocytes: regional and gender differences. J Endocrinol. 2000;166(1):145–152. doi: 10.1677/joe.0.1660145.
- Tsunekawa K, Yanagawa Y, Aoki T, Morimura T, Araki O, Ogiwara T, Kawai Y, Mitani Y, Lezhava A, Yanagawa M, Hayashizaki Y, Murakami M. Association between accumulation of visceral fat and the combination of β3 adrenergic receptor Trp64Arg, β2 adrenergic receptor Arg16Gly and uncoupling protein 1 -3826A>G polymorphisms detected by Smart Amplification Process 2. Endocr J. 2011;58(12):1079–1086. doi: 10.1507/endocrj.ej11-0148.
- Kralova Lesna I, Kralova A, Cejkova S, Fronek J, Petras M, Sekerkova A, Thieme F, Janousek L, Poledne R. Characterisation and comparison of adipose tissue macrophages from human subcutaneous, visceral and perivascular adipose tissue. J Transl Med. 2016;14(1):208. doi: 10.1186/s12967-016-0962-1.
- Favre G, Legueult K, Pradier C, Raffaelli C, Ichai C, Iannelli A, Redheuil A, Lucidarme O, Esnault V. Visceral fat is associated to the severity of COVID-19. Metabolism. 2021;115:154440. doi: 10.1016/j.metabol.2020.154440.
- Misumi I, Starmer J, Uchimura T, Beck MA, Magnuson T, Whitmire JK. Obesity Expands a Distinct Population of T Cells in Adipose Tissue and Increases Vulnerability to Infection. Cell Rep. 2019;27(2):514–524.e5. doi: 10.1016/j.celrep.2019.03.030.
- Rutting S, Mahadev S, Tonga KO, Bailey DL, Dame Carroll JR, Farrow CE, Thamrin C, Chapman DG, King GG. Obesity alters the topographical distribution of ventilation and the regional response to bronchoconstriction. J Appl Physiol (1985). 2020;128(1):168–177. doi: 10.1152/japplphysiol.00482.2019.
- Movahed MR, Khoubyari R, Hashemzadeh M, Hashemzadeh M. Obesity is strongly and independently associated with a higher prevalence of pulmonary embolism. Respir Investig. 2019;57(4):376–379. doi: 10.1016/j.resinv.2019.01.003.
- Zhou F, Yu T, Du R, Fan G, Liu Y, Liu Z, Xiang J, Wang Y, Song B, Gu X, Guan L, Wei Y, Li H, Wu X, Xu J, Tu S, Zhang Y, Chen H, Cao B. Clinical course and risk factors for mortality of adult inpatients with COVID-19 in Wuhan, China: a retrospective cohort study. Lancet. 2020;395(10229):1054–1062. doi: 10.1016/S0140-6736(20)30566-3.
Supplementary files









