Soluble galectin-4 in colorectal cancer is associated with tumor progression, but is not a predictor of the disease outcome
- Authors: Yakunina E.Y.1, Kovaleva O.V.2, Zukov R.A.1, Gratchev A.N.2, Salamatin S.S.3, Kochkina S.O.2, Mammadli Z.Z.2, Kushlinskii N.E.2,3
-
Affiliations:
- A.I. Kryzhanovsky Krasnoyarsk Regional Clinical Oncology Dispensary
- N.N. Blokhin National Medical Research Centre of Oncology
- Russian University of Medicine
- Issue: Vol 52, No 6 (2024)
- Pages: 324-330
- Section: ARTICLES
- URL: https://medbiosci.ru/2072-0505/article/view/277104
- DOI: https://doi.org/10.18786/2072-0505-2024-52-032
- ID: 277104
Cite item
Full Text
Abstract
Background: Galectin-4 is a member of β-galactoside-binding protein family, which is mainly expressed in gastrointestinal epithelial cells and also secreted into the extracellular environment. Studies have shown that galectin-4 is involved in the regulation of proliferation and metastasis of gastric and pancreatic cancer tumor cells. The results of studies on the clinical significance of galectin-4 in colorectal cancer (CRC) are ambiguous: some studies showed its increased expression, associated with aggressive course and unfavorable prognosis, while others showed its decrease.
Aim: To analyze the clinical significance of the soluble form of galectin-4 in CRC.
Methods: We retrospectively analyzed the medical records of 130 patients (mean age, 61 year) with a verified diagnosis of CRC, who had been examined and treated from 2016 to 2022. Galectin-4 levels were measured in serum obtained by a standard method before the start of specific treatment, by the enzyme-linked immunosorbent assay (ELISA). The control group consisted of 30 healthy donors (mean age, 53 years).
Results: The median concentration of galectin-4 in the CRC patients was higher than in the control group (531.9 [350.6–1380] pg/mL vs. 330.1 [173.0–566.4] pg/mL, p = 0.0004). The ROC analysis demonstrated maximum sensitivity and specificity of the test (66% and 67%, respectively) at a threshold value of 426.3 pg/mL (area under the curve 0.706 with 95% confidence interval 0.594–0.817; p = 0.0005). The galectin-4 levels were higher at advanced stages of the disease (p = 0.002) and in the presence of distant metastases (p < 0.0001). Cox regression analysis showed that tumor size and distant metastases were independent prognostic factors (hazard ratio (HR) = 3.87; p = 0.0439; HR = 720.4; p = 0.0062, respectively) associated with decreased survival. Galectin-4 is not a prognostic marker of CRC (HR = 2.434; p = 0.079).
Conclusion: The amounts of the soluble galectin-4 are associated with tumor progression, indicating a possible tumor-promoting function of this protein. However, its diagnostic value remains limited, as the method of serum galectin-4 determination has shown insufficient sensitivity and specificity for its routine use for the diagnosis of CRC. According to the results of univariate and multivariate analyses, serum galectin-4 is not a significant prognostic marker of CRC.
Keywords
Full Text
Колоректальный рак (КРР) – одно из самых распространенных злокачественных новообразований и вторая ведущая причина смерти от онкологических заболеваний в мире [1]. Исследования, направленные на улучшение диагностики и понимание механизмов прогрессии КРР, крайне актуальны и необходимы для повышения эффективности терапии. К перспективным направлениям изучения КРР относится исследование галектинов – семейства белков, которые были идентифицированы как галактозид-связывающие белки, имеющие как внутриклеточную, так и внеклеточную локализацию. На основании состава и структуры консервативного углевод-распознающего домена галектины делятся на три подсемейства [2]. Галектин-4 входит в подсемейство тандемных галектинов, которые содержат два разных, но гомологичных углевод-распознающих домена. Два домена галектина-4 имеют 40% гомологию в аминокислотной последовательности, но по-разному связываются с различными лигандами. Именно за счет одновременного связывания различных лигандов данный белок может регулировать многие биологические процессы. Согласно последним данным, галектин-4 играет важную роль в стабилизации липидных рафтов, транспортировке белков, клеточной адгезии, заживлении ран, кишечном воспалении, опухолевой прогрессии и др. [3].
Галектин-4 был впервые выделен как белок массой 17 кДа в экстракте кишечника крысы [4]. In vitro внутриклеточный галектин-4 регулирует пролиферацию, апоптоз и дифференцировку клеток, а внеклеточный галектин-4 опосредует межклеточную адгезию [5]. Из-за отсутствия сигнальной последовательности для транспорта в эндоплазматический ретикулум присутствие галектина-4 на поверхности клетки является следствием секреции по неклассическому пути. Широко известны такие природные лиганды галектина-4, как антигены групп крови человека, гликопротеины, муцин-1, гликосфинголипиды и сульфатированный холестерин [6]. В норме галектин-4 экспрессируется в эпителиальных клетках всего желудочно-кишечного тракта. При развитии онкологических заболеваний галектин-4 выявляется во многих типах опухолей и часто ассоциирован с их прогрессией [7, 8]. Вместе с тем некоторые исследователи считают его опухолевым супрессором, ингибирующим пролиферацию клеток посредством Wnt и IL-6/NF-κB/STAT3 сигнальных путей, например, при КРР [9]. В то же время содержание растворимой формы галектина-4 в сыворотке крови значительно выше у пациентов с КРР, гепатоцеллюлярным раком и раком молочной железы, однако его клиническая значимость противоречива [10, 11]. В целом на сегодняшний день роль галектина-4 в канцерогенезе и опухолевой прогрессии не определена.
Цель настоящего исследования – анализ клинической значимости растворимой формы галектина-4 при КРР.
Материал и методы
В ретроспективное исследование включены данные медицинской документации 130 больных КРР (средний возраст – 61 год), проходивших обследование и лечение в период с 2016 по 2022 г. в КГБУЗ «Красноярский краевой клинический онкологический диспансер им. А.И. Крыжановского» и ФГБУ «Национальный медицинский исследовательский центр онкологии им. Н.Н. Блохина» Минздрава России (ФГБУ «НМИЦ онкологии им. Н.Н. Блохина»). Контрольную группу составили 30 здоровых доноров (средний возраст – 53 года). Проведение исследования одобрено этическим комитетом ФГБУ «НМИЦ онкологии им. Н.Н. Блохина» (протокол от 18.06.2024). Клинический диагноз у всех пациентов подтвержден данными морфологического исследования опухоли согласно Международной гистологической классификации опухолей пищеварительной системы Всемирной организации здравоохранения (2019), у всех пациентов выявлена аденокарцинома толстой кишки.
Концентрацию галектина-4 определяли в сыворотке крови, полученной по стандартной методике до начала специфического лечения, с помощью наборов реактивов для иммуноферментного анализа Human Galectin-4 Quantikine ELISA (RayBiotech, США) в соответствии с инструкциями производителя. Исследование галектина-4 выполняли в клинико-диагностической лаборатории консультативно-диагностического центра ФГБУ «НМИЦ онкологии им. Н.Н. Блохина». Измерения проводили на автоматическом иммуноферментном анализаторе BEP 2000 Advance (Siemens Healthcare Diagnostics, Германия). Содержание маркера выражали в пикограммах (пг) на 1 мл сыворотки крови.
Полученные данные обрабатывали в программе GraphPad Prism 10.0 (GraphPad Software, США). При сравнении показателей и анализе их взаимосвязей использовали непараметрический критерий Манна – Уитни. Об информативности диагностического метода судили на основании оценки его чувствительности и специфичности с помощью построения ROC-кривых (англ. receiver operating characteristic – рабочая характеристика приемника) и вычисления площади под ними (англ. area under curve, AUC). Анализ общей выживаемости выполняли по методу Каплана – Мейера. Период наблюдения составил временной интервал от начала лечения до смерти пациента или его последнего посещения врача. Для анализа отдаленных результатов лечения больных разделили на 2 группы сравнения в зависимости от уровня галектина-4 выше или ниже медианы. Сравнение статистической значимости различий между показателями проводили при помощи логарифмического рангового критерия. Для оценки потенциального влияния различных факторов риска на выживаемость дополнительно выполняли многофакторный анализ с использованием непараметрической модели пропорциональных рисков Кокса. Различия и корреляции считали статистически значимыми при p < 0,05.
Результаты
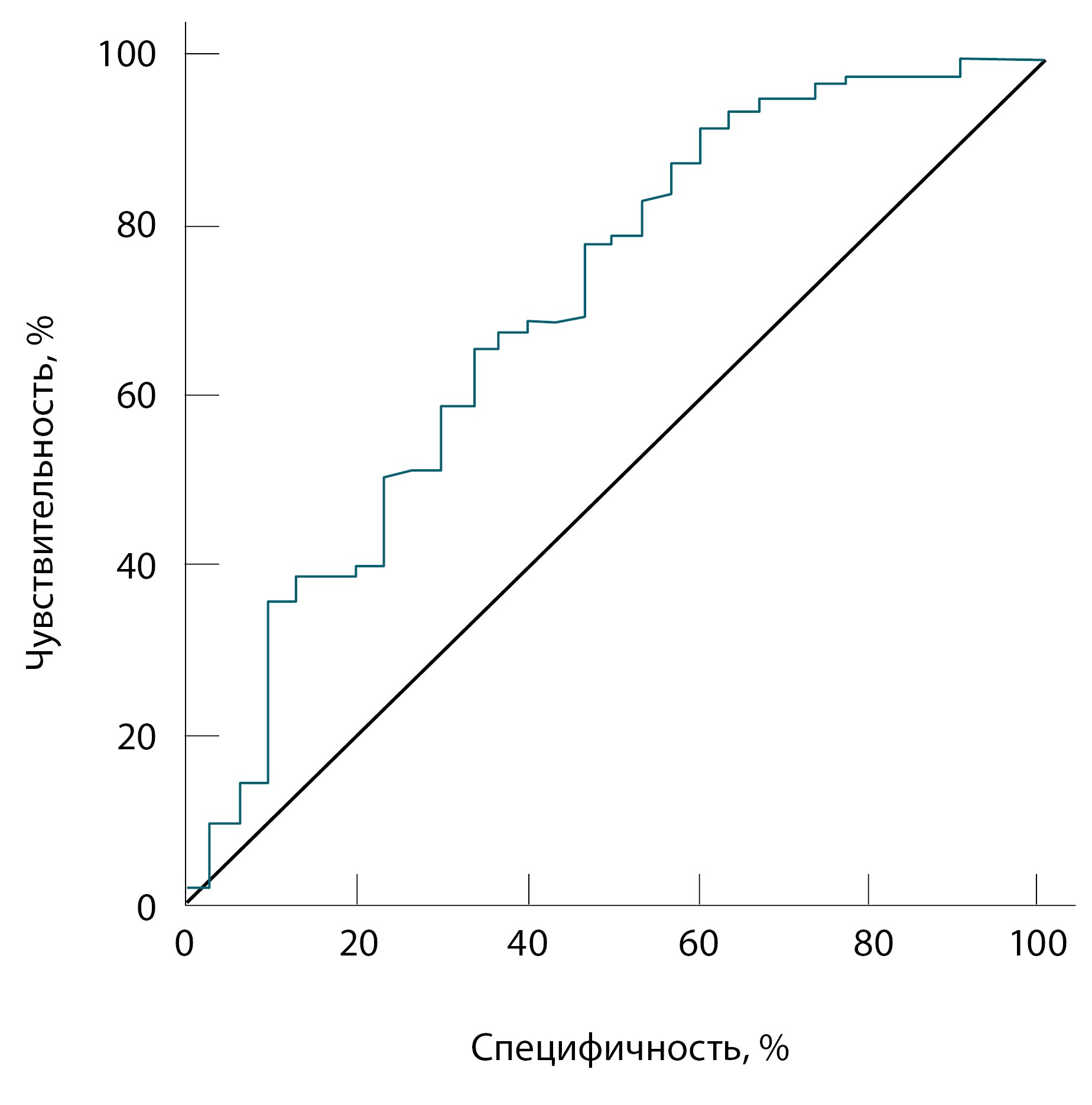
Результаты оценки диагностической информативности иммуноферментного определения галектина-4 в сыворотке крови больных КРР отражены на рис. 1 и 2. Медиана уровня галектина-4 у пациентов с КРР составила 531,9 [350, 6; 1380] пг/мл, что значимо выше, чем в контрольной группе – 330,1 [173, 0; 566, 4] пг/мл (p = 0,0004). Несмотря на то что у пациентов с КРР наблюдается значимо повышенное содержание галектина-4 по сравнению с группой контроля, ROC-анализ показал, что количественное определение содержания растворимой формы галектина-4 в сыворотке крови методом иммуноферментного анализа не подходит для рутинной диагностики КРР ввиду недостаточной чувствительности и специфичности (максимальные чувствительность и специфичность теста – 66 и 67% соответственно – достигаются при пороговом значении 426,3 пг/мл (AUC 0,706, 95% доверительный интервал 0,594–0,817; р = 0,0005)).
Рис. 1. Сравнительный анализ содержания галектина-4 в сыворотке крови больных колоректальным раком (КРР) и в контрольной группе
Рис. 2. Анализ ROC-кривых для галектина-4 у больных колоректальным раком; площадь под ROC-кривой составляет 0,706 (p = 0,0005)
По результатам анализа клинической значимости, содержание галектина-4 значимо выше на поздних стадиях заболевания (p < 0,002) и при наличии отдаленных метастазов (p < 0,0001), что указывает на опухоль-промотирующую роль растворимой формы данного белка. Содержание галектина-4 в сыворотке крови также повышено у пациентов с опухолями большого размера (p = 0,193) и при наличии регионарных метастазов (p = 0,109), однако выявленные закономерности не достигли статистической значимости (табл. 1).
Таблица 1. Содержание галектина-4 в сыворотке крови больных колоректальным раком с учетом клинико-морфологических характеристик пациентов
Характеристика | Галектин-4, пг/мл | |
Me [Q1; Q3] | p | |
Возраст, годы: | ||
≤ 60 | 0,787 | |
> 60 | ||
Пол: | ||
мужской | 0,492 | |
женский | ||
Стадия заболевания: | ||
I–II | 0,002 | |
III–IV | ||
Степень дифференцировки опухоли: | ||
G1 | 0,815 | |
G2–G3 | ||
Размер опухоли: | ||
T1–T2 | 0,193 | |
T3–T4 | ||
Регионарные метастазы: | ||
N0 | 0,109 | |
N1 | ||
Отдаленные метастазы: | ||
M0 | < 0,0001 | |
M1 | ||
Отдел толстой кишки: | ||
левый | 0,492 | |
правый | ||
Ме – медиана, Q1 – первый квартиль, Q3 – третий квартиль
При оценке прогностической значимости установлено, что высокая концентрация галектина-4 в сыворотке крови пациентов с КРР имеет тенденцию к неблагоприятному прогнозу (рис. 3).
Рис. 3. Анализ общей выживаемости больных колоректальным раком в зависимости от медианы содержания галектина-4 (531,9 пг/мл) в сыворотке крови
Согласно результатам однофакторного статистического анализа прогностической значимости, поздняя стадия заболевания, большой размер опухоли, а также наличие регионарных и отдаленных метастазов были значимыми факторами неблагоприятного прогноза (табл. 2). Регрессионный анализ Кокса показал, что размер опухоли и наличие отдаленных метастазов были независимыми факторами прогноза, ассоциированными со снижением общей выживаемости. Для галектина-4 результаты однофакторного и многофакторного анализа не достигли статистической значимости.
Таблица 2. Статистический анализ прогностической значимости клинико-морфологических характеристик пациентов с колоректальным раком и галектина-4
Показатель | Однофакторный анализ | Многофакторный анализ | ||||
ОР | 95% ДИ | p | ОР | 95% ДИ | p | |
Возраст | 1,942 | 0,788–4,781 | 0,153 | 1,05 | 0,986–1,12 | 0,127 |
Пол | 0,924 | 0,376–2,271 | 0,863 | 3,036 | 0,843–11,07 | 0,086 |
Стадия заболевания | 4,812 | 1,955–11,84 | 0,005 | 0,166 | 0,014–1,487 | 0,121 |
Степень дифференцировки опухоли (G) | 1,745 | 0,591–5,154 | 0,377 | 3,162 | 1,017–15,64 | 0,059 |
Размер опухоли (T) | 6,114 | 2,175–17,19 | 0,044 | 3,870 | 1,077–15,64 | 0,0439 |
Наличие регионарных метастазов (N) | 4,793 | 1,937–11,86 | 0,002 | 1,500 | 0,583–4,055 | 0,4051 |
Наличие отдаленных метастазов (M) | 8,501 | 3,000–24,09 | < 0,0001 | 720,4 | 12,85–181050 | 0,0062 |
Уровень галектина-4 (высокий/низкий) | 2,434 | 0,965–6,136 | 0,079 | 0,999 | 0,999–1,000 | 0,096 |
ДИ – доверительный интервал, ОР – отношение рисков
Обсуждение
Настоящая работа посвящена определению клинической и прогностической значимости галектина-4 при КРР. На данный момент роль галектина-4 в канцерогенезе не определена. С одной стороны, этот белок считается опухолевым супрессором при КРР и раке поджелудочной железы, ингибирующим пролиферацию клеток посредством Wnt/β-катенин сигнального пути [9]. Показано, что дефицит галектина-4 ассоциирован с ранним рецидивированием и прогрессией некоторых опухолей. В условиях воспаления галектин-4 подавляет опухолевый рост, стимулируя экспансию CD4+-Т-клеток [12]. Однако на некоторых других моделях получены кардинально противоположные данные, а именно: галектин-4 усиливает ангиогенез и метастазирование ряда опухолей [13]. Внеклеточный галектин-4 способен индуцировать апоптоз Т-клеток, тем самым выполняя иммуносупрессорную функцию [7]. Повышение галектина-4 наблюдали у пациентов с распространенным раком печени, внутрипротоковым раком молочной железы, раком желудка и толстой кишки [3]. Таким образом, количественное определение уровня галектина-4 в крови может служить маркером опухолевого процесса. Эти результаты согласуются с полученными нами данными о повышенном содержании галектина-4 у пациентов с КРР по сравнению с контрольной группой. Мы также показали, что концентрация исследуемого белка продолжает увеличиваться при распространении опухолевого процесса, в связи с чем ее оценку можно использовать для мониторинга клинического течения заболевания. Интересно, что в ряде исследований продемонстрировано снижение экспрессии галектина-4 в опухолевых клетках КРР по сравнению с нормальными тканями толстой кишки, что способствует прогрессии и метастазированию опухоли [9, 14]. Однако при этом содержание растворимой формы данного белка возрастает. Это свидетельствует о том, что внутриклеточный и внеклеточный галектин-4 выполняют разные независимые функции в опухолевой прогрессии. Следует отметить, что по результатам проведенных нами исследований при других опухолях, например почечно-клеточном раке, повышения сывороточного содержания галектина-4 не наблюдается [15], что подтверждает тканевую специфичность данного белка.
Прогностическая значимость галектина-4 на сегодняшний день также не определена. Показано, что высокое содержание растворимой формы галектина-4 – неблагоприятный маркер при гепатоцеллюлярной карциноме [16]. Для рака поджелудочной железы установлено, что галектин-4 не является прогностически значимым фактором общей выживаемости [17], что коррелирует с полученными нами данными для КРР. Таким образом, галектин-4 может выполнять противоположные функции в различных типах опухолей, то есть выступать в качестве опухолевого супрессора при раке поджелудочной железы и гепатоцеллюлярном раке, а при раке легкого и желудка функционировать как промотор опухолевого роста.
Ограничениями нашего исследования были относительно небольшой размер выборки, ретроспективный характер работы и отсутствие анализа экспрессии галектина-4 иммуногистохимическим методом.
Заключение
Галектин-4 может быть маркером мониторинга течения КРР, однако для его клинического применения необходимо проведение валидации на расширенной выборке. Анализ содержания галектина-4 для диагностики злокачественных опухолей толстой кишки неприменим ввиду низкой специфичности данного маркера. Вместе с тем результаты нашего исследования и данные литературы подтверждают определенный клинический потенциал галектина-4 в контексте КРР, который может быть использован для разработки новых терапевтических стратегий при лечении опухолей данного типа.
Дополнительная информация
Финансирование
Работа проведена без привлечения дополнительного финансирования со стороны третьих лиц.
Конфликт интересов
Авторы заявляют об отсутствии явных и потенциальных конфликтов интересов, связанных с публикацией настоящей статьи.
Участие авторов
Е.Ю. Якунина, С.С. Саламатин, С.О. Кочкина – сбор клинического материала, проведение исследований, анализ историй болезни и данных литературы; О.В. Ковалева, Р.А. Зуков, А.Н. Грачев – анализ полученных данных, написание текста; З.З. Мамедли – лечение пациентов, проведение хирургических операций; Н.Е. Кушлинский – концепция исследования, утверждение итогового варианта рукописи. Все авторы прочли и одобрили финальную версию статьи перед публикацией, согласны нести ответственность за все аспекты работы и гарантируют, что ими надлежащим образом были рассмотрены и решены вопросы, связанные с точностью и добросовестностью всех частей работы.
About the authors
Elena Y. Yakunina
A.I. Kryzhanovsky Krasnoyarsk Regional Clinical Oncology Dispensary
Author for correspondence.
Email: yakuninaey@onkolog24.ru
ORCID iD: 0009-0004-1544-8606
Head of Clinical Diagnostic Laboratory
Russian Federation, ul. 1ya Smolenskaya 16, Krasnoyarsk, 660133Olga V. Kovaleva
N.N. Blokhin National Medical Research Centre of Oncology
Email: ovkovaleva@gmail.com
ORCID iD: 0000-0001-6132-9924
Doctor of Biol. Sci., Senior Research Fellow, Laboratory of Regulation of Cellular and Viral Oncogenes
Russian Federation, Kashirskoe shosse 24, Moscow, 115522Ruslan A. Zukov
A.I. Kryzhanovsky Krasnoyarsk Regional Clinical Oncology Dispensary
Email: zukov_rus@mail.ru
ORCID iD: 0000-0002-7210-3020
MD, PhD, Professor, Chief Physician
Russian Federation, ul. 1ya Smolenskaya 16, Krasnoyarsk, 660133Alexey N. Gratchev
N.N. Blokhin National Medical Research Centre of Oncology
Email: alexei.gratchev@gmail.com
ORCID iD: 0000-0003-2137-1866
Doctor of Biol. Sci., Professor of Russ. Acad. Sci., Head of Laboratory of Tumor Stromal Cells Biology
Russian Federation, Kashirskoe shosse 24, Moscow, 115522Sergey S. Salamatin
Russian University of Medicine
Email: salamatinsergey26@yandex.ru
ORCID iD: 0009-0008-0370-5897
Postgraduate Student, Chair of Clinical Biochemistry and Laboratory Diagnostics, Faculty of Additional Professional Education
Russian Federation, ul. Delegatskaya 20/1, Moscow, 127473Sofya O. Kochkina
N.N. Blokhin National Medical Research Centre of Oncology
Email: sofia.kochkina@yandex.ru
ORCID iD: 0000-0002-9042-942X
MD, PhD, Oncologist, Department of Oncoproctology
Russian Federation, Kashirskoe shosse 24, Moscow, 115522Zaman Z. Mammadli
N.N. Blokhin National Medical Research Centre of Oncology
Email: z.z.mamedli@gmail.com
ORCID iD: 0000-0002-9289-1247
MD, PhD, Head of Department of Oncoproctology
Russian Federation, Kashirskoe shosse 24, Moscow, 115522Nikolay E. Kushlinskii
N.N. Blokhin National Medical Research Centre of Oncology; Russian University of Medicine
Email: biochimia@yandex.ru
ORCID iD: 0000-0002-3898-4127
MD, PhD, Professor, Member of Russ. Acad. Sci., Scientific Director of Clinical Diagnostic Laboratory, Consultative and Diagnostic Center; Head of Chair of Clinical Biochemistry and Laboratory Diagnostics, Faculty of Additional Professional Education
Russian Federation, Kashirskoe shosse 24, Moscow, 115522; ul. Delegatskaya 20/1, Moscow, 127473References
- Klimeck L, Heisser T, Hoffmeister M, Brenner H. Colorectal cancer: A health and economic problem. Best Pract Res Clin Gastroenterol. 2023;66:101839. doi: 10.1016/ j.bpg.2023.101839.
- Kruk L, Braun A, Cosset E, Gudermann T, Mammadova-Bach E. Galectin functions in cancer-associated inflammation and thrombosis. Front Cardiovasc Med. 2023;10:1052959. doi: 10.3389/fcvm.2023.1052959.
- Cao ZQ, Guo XL. The role of galectin-4 in physiology and diseases. Protein Cell. 2016;7(5):314–324. doi: 10.1007/s13238-016-0262-9.
- Leffler H, Masiarz FR, Barondes SH. Soluble lactose-binding vertebrate lectins: a growing family. Biochemistry. 1989;28(23):9222–9229. doi: 10.1021/bi00449a039.
- Huflejt ME, Leffler H. Galectin-4 in normal tissues and cancer. Glycoconj J. 2003;20(4):247–255. doi: 10.1023/B:GLYC.0000025819. 54723.a0.
- Delacour D, Gouyer V, Zanetta JP, Drobecq H, Leteurtre E, Grard G, Moreau-Hannedouche O, Maes E, Pons A, André S, Le Bivic A, Gabius HJ, Manninen A, Simons K, Huet G. Galectin-4 and sulfatides in apical membrane trafficking in enterocyte-like cells. J Cell Biol. 2005;169(3):491–501. doi: 10.1083/jcb.200407073.
- Lidström T, Cumming J, Gaur R, Frängsmyr L, Pateras IS, Mickert MJ, Franklin O, Forsell MNE, Arnberg N, Dongre M, Patthey C, Öhlund D. Extracellular galectin 4 drives immune evasion and promotes t-cell apoptosis in pancreatic cancer. Cancer Immunol Res. 2023;11(1):72–92. doi: 10.1158/2326-6066.CIR-21-1088.
- Hayashi T, Saito T, Fujimura T, Hara K, Takamochi K, Mitani K, Mineki R, Kazuno S, Oh S, Ueno T, Suzuki K, Yao T. Galectin-4, a novel predictor for lymph node metastasis in lung adenocarcinoma. PLoS One. 2013;8(12):e81883. doi: 10.1371/journal.pone.0081883.
- Satelli A, Rao PS, Thirumala S, Rao US. Galectin-4 functions as a tumor suppressor of human colorectal cancer. Int J Cancer. 2011;129(4):799–809. doi: 10.1002/ijc.25750.
- Barrow H, Guo X, Wandall HH, Pedersen JW, Fu B, Zhao Q, Chen C, Rhodes JM, Yu LG. Serum galectin-2, -4, and -8 are greatly increased in colon and breast cancer patients and promote cancer cell adhesion to blood vascular endothelium. Clin Cancer Res. 2011;17(22):7035–7046. doi: 10.1158/1078-0432.CCR-11-1462.
- An Y, Xu S, Liu Y, Xu X, Philips CA, Chen J, Méndez-Sánchez N, Guo X, Qi X. Role of galectins in the liver diseases: A systematic review and meta-analysis. Front Med (Lausanne). 2021;8:744518. doi: 10.3389/fmed.2021.744518.
- Hokama A, Mizoguchi E, Sugimoto K, Shimomura Y, Tanaka Y, Yoshida M, Rietdijk ST, de Jong YP, Snapper SB, Terhorst C, Blumberg RS, Mizoguchi A. Induced reactivity of intestinal CD4(+) T cells with an epithelial cell lectin, galectin-4, contributes to exacerbation of intestinal inflammation. Immunity. 2004;20(6):681–693. doi: 10.1016/j.immuni.2004.05.009.
- Chen C, Duckworth CA, Fu B, Pritchard DM, Rhodes JM, Yu LG. Circulating galectins -2, -4 and -8 in cancer patients make important contributions to the increased circulation of several cytokines and chemokines that promote angiogenesis and metastasis. Br J Cancer. 2014;110(3):741–752. doi: 10.1038/bjc.2013.793.
- Kim SW, Park KC, Jeon SM, Ohn TB, Kim TI, Kim WH, Cheon JH. Abrogation of galectin-4 expression promotes tumorigenesis in colorectal cancer. Cell Oncol (Dordr). 2013;36(2):169–178. doi: 10.1007/s13402-013-0124-x.
- Kushlinskii NE, Kovaleva OV, Basov AG, Kuzmin YuB, Alferov AA, Bezhanova SD, Kolpashchikov AV, Klimanov IA, Grachev AN, Zybina NN, Matveev VB, Yanushevich OO, Stilidi IS. [Content of soluble forms of galectins -1, -3, -4, -7, -9 in patients with renal cell cancer of various morphological types]. Almanac of Clinical Medicine. 2024;52(3):107–119. Russian. doi: 10.18786/2072-0505-2024-52-005.
- Cai Z, Zeng Y, Xu B, Gao Y, Wang S, Zeng J, Chen L, Huang A, Liu X, Liu J. Galectin-4 serves as a prognostic biomarker for the early recurrence / metastasis of hepatocellular carcinoma. Cancer Sci. 2014;105(11):1510–1517. doi: 10.1111/cas.12536.
- Abudu O, Nguyen D, Millward I, Manning J, Wahid M, Lightfoot A, Marcon F, Merard R, Margielewska-Davies S, Roberts K, Brown R, Powell-Brett S, Nicol S, Zayou F, Croft W, Pearce H, Moss P, Iqbal A, McGettrick H. Interplay in galectin expression predicts patient outcomes in a spatially restricted manner in PDAC. Biomed Pharmacother. 2024;172:116283. doi: 10.1016/j.biopha.2024.116283.
Supplementary files







