Structural Features of 4-VP-HEMA-SiO2 Hybrid Membranes and Their Proton Conductivity
- Authors: Lebedeva O.V.1, Raskulova T.V.2, Beznosyuk S.A.3, Ryabykh A.V.3, Fomina L.V.2, Sipkina E.I.1
-
Affiliations:
- Irkutsk National Research Technical University
- Angarsk State Technical University
- Altai State University
- Issue: Vol 13, No 2 (2023)
- Pages: 110-116
- Section: Articles
- URL: https://medbiosci.ru/2218-1172/article/view/137993
- DOI: https://doi.org/10.31857/S2218117223020049
- EDN: https://elibrary.ru/HYVVXZ
- ID: 137993
Cite item
Full Text
Abstract
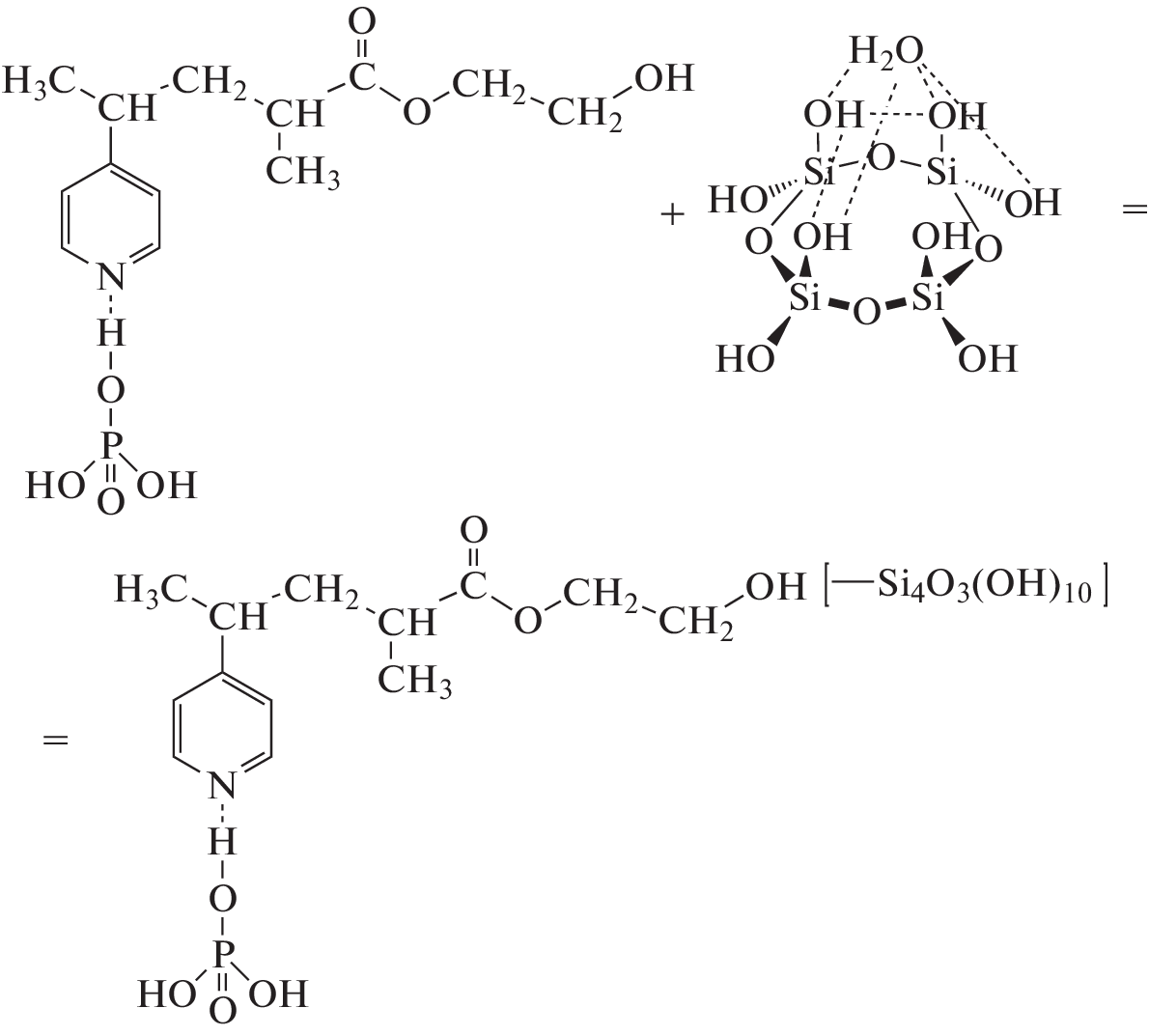
Hybrid organic-inorganic membranes based on tetraethoxysilane and orthophosphoric acid-doped copolymers of 4-vinylpyridine (4-VP) and 2-hydroxyethyl methacrylate (HEMA) were formed by the sol-gel synthesis method. The membranes are characterized by high values of exchange capacity and proton conductivity. An increase in the proton conductivity of hybrid organo-inorganic membranes compared to the initial copolymer can be associated with the generation of water of crystallization during the formation of a silicon dioxide fragment, which follows from quantum-chemical modeling of the local structure of the membrane, which includes an organic part from the copolymerization product of 4-VP with HEMA (44 atoms) and an inorganic part of 27 atoms, repeating the structure of the silicon dioxide block.
About the authors
O. V. Lebedeva
Irkutsk National Research Technical University
Author for correspondence.
Email: oks18021972@gmail.com
Russia, 664074, Irkutsk, Lermontov St., 83
T. V. Raskulova
Angarsk State Technical University
Author for correspondence.
Email: raskulova@list.ru
Russia, 665835, Angarsk, Tchaikovsky St., 60
S. A. Beznosyuk
Altai State University
Email: raskulova@list.ru
Russia, 656049, Barnaul, Lenin Ave., 61
A. V. Ryabykh
Altai State University
Email: raskulova@list.ru
Russia, 656049, Barnaul, Lenin Ave., 61
L. V. Fomina
Angarsk State Technical University
Email: raskulova@list.ru
Russia, 665835, Angarsk, Tchaikovsky St., 60
E. I. Sipkina
Irkutsk National Research Technical University
Email: raskulova@list.ru
Russia, 664074, Irkutsk, Lermontov St., 83
References
- Honma J., Nakayama H., Nishikawa O., Sugimoto T., Nomura S. Organic/inorganic nano-composites for high temperature proton conducting polymer electrolytes // Solid State Ionics. 2003. V. 162–163. P. 237.
- Ярославцев А.Б. Основные направления разработки и исследования твердых электролитов // Успехи химии. 2016. Т. 85. № 11. С. 1255–1277.
- Ivanov V.S., Yegorov A.S., Allakhverdov G.R., Men’shikov V.V. Synthesis and investigation of polyimide-based proton-exchange membranes containing polysiloxane and crow nether moiety // Oriental J. Chemistry. 2018. V. 34. № 1. P. 255–264.
- Guizhen Guo, Sun Youyi, Fu Qiang, MaYibing, Zhou Yaya, Xiong Zhiyuan, Liu Yaqing. Sol-gel synthesis of ternary conducting polymer hydrogel for application in all-solid-state flexible supercapacitor // International J. hydrogen energy. 2019. V. 44. P. 6103–6115.
- Zhang Xiaoyu, Shiyuan Yu, Qian Zhu, Lianhua Zhao. Enhanced anhydrous proton conductivity of SPEEK/IL composite membrane embedded with am nofunctionalized mesoporous silica // International J. hydrogen energy.2019. V. 44. P. 6148–6159.
- Wang Yuanyuan, Xu Jingmei, Zang Huan, Wang Zhe. Synthesis and properties of sulfonated poly(arylene ether ketone sulfone) containing amino groups/functional titania inorganic particles hybrid membranes for fuel cells // International J. hydrogen energy. 2019. V. 44. P. 6136–6147.
- Brijesh K., Bindu K., Shanbhag Dhanush, Nagaraja H.S. Chemically prepared Polypyrrole/ZnWO4 nanocomposite electrodes for electrocatalytic waters plitting // International J. hydrogen energy. 2019. V. 44. № 2. P. 757–767.
- Маркова М.В., Могнонов Д.М., Морозова Л.В., Михалева А.И., Трофимов Б.А. Композиционные протонпроводящие мембраны на основе поливинилглицидилового эфира этиленгликоля // Высокомолекулярные соединения. Серия Б. 2014. Т. 56. № 2. С. 216–225.
- Roy S., Saha S., Kumar A.G., Ghorai A., Banerjee S. Synthesis and characterization of new sulfonated copolytriazoles and their proton exchange membrane properties // J. applied polymer science. 2020. V. 137. P. 48514.
- Сафронова Е.Ю., Паршина А.В., Янкина К.Ю., Рыжкова Е.А., Лысова А.А., Бобрешова О.В., Ярославцев А.Б. Гибридные материалы на основе мембран МФ-4СК и гидратированных оксидов кремния и циркония с функционализированной поверхностью, содержащей сульфогруппы: транспортные свойства и характеристика ПД-сенсоров в растворах аминокислот при различных рН // Мембраны и мембранные технологии. 2017. Т. 7. № 11. С. 110116.
- Караванова Ю.А., Пономарев И.И., Стенина И.А., Волкова Ю.А. Исследование ионной проводимости ионообменных мембран на основе сульфированного полинафтилимида, допированных оксидом церия // Мембраны и мембранные технологии. 2018. Т. 8. № 2. С. 102–106.
- Prikhno I.A., Safronova E.Y., Ilyin A.B. Hybrid membranes synthesized from a Nafion powder and carbon nanotubes by hot pressing // Petroleum Chemistry. 2017. V. 57. № 13. P. 1228–1232.
- Ярошенко Ф.А., Бурмистров В.А. Синтез и исследование протонной проводимости гибридных материалов на основе перфторированных сульфокатионитных мембран МФ-4СК, модифицированных полисурьмяной кислотой // Мембраны и мембранные технологии. 2018. Т. 8. № 4. С. 249–253.
- Brijesh K., Bindu K., Dhanush Shanbhag, Nagaraja H.S. Chemically prepared Polypyrrole/ZnWO4 nanocomposite electrodes for electrocatalytic water splitting // International J. Hydrogen Energy. 2019. V. 44. Issue 2. P. 757–767.
- Pan H., Zhang Ya., Pu H., Chang Z. Organic-inorganic hybrid proton exchange membrane based on polyhedral oligomeric silsesquioxanes and sulfonated polyimides containing benzimidazole // J. Sources of energy. 2014. V. 263. P. 195–202.
- Lebedeva O.V., Pozhidaev Y.N., Sipkina E.I., Chesnokova A.N., Ivanov N.A. Copolymers and proton conducting films based on N-vinylpyrazole // Advanced Materials Research. 2013. V. 749. P. 71–76.
- Лебедева О.В., Сипкина Е.И., Пожидаев Ю.Н. Гибридные мембраны на основе диоксида кремния и сополимеров 2-гидроксиэтилметакрилата с 4-винилпиридином //Мембраны и мембранные технологии. 2016. Т. 6. № 2. С. 138–143.
- Emelyanov A.I., Lebedeva O.V., Malakhova E.A., Raskulova T.V., Pozhidaev Y.N., Verkhozina Y.A., Larina L.I., Korzhova S.A., Prozorova G.F., Pozdnyakov A.S. Acid–base membranes for solid polymer fuel cells // Membranes and membrane technologies. 2021. V. 3. № 3. P. 147–154.
- Chesnokova A., Lebedeva O.V., Pozhidaev Y.N., Malakhova E.A., Raskulova T.V., Kulshrestha V., Kuzmin A.V., Pozdnyakov A.S. New non-fluoridated hybrid proton exchange membranes based on commercial precursors // International J. hydrogen energy. 2020. V. 45. № 37. P. 18 716–18 730.
- Осипов А.К., Прихно И.А., Ярославцев А.Б. Ионный перенос в гибридных мембранах на основе перфторсульфополимеров // Мембраны и мембранные технологии. 2018. Т. 8. № 6. С. 406–410.
- Neese F. The ORCA program system // Wiley interdisciplinary Reviews—Computational Molecular Science. 2012. V. 2. P. 73–78.
- Becke A.D. Density-functional exchange-energy approximation with correct asymptotic behavior // Phys. Rev. A. 1988. V. 38. P. 3098.
- Perdew J.P. Density-functional approximation for the correlation energy of the inhomogeneous electron gas // Phys. Rev. B. 1986. V. 33. P. 8822.
- Weigend F., Ahlrichs R. Balanced basis sets of split valence, triple zeta valence and quadruple zeta valence quality for H to Rn: Design and assessment of accuracy // Phys. Chem. Chem. Phys. 2005. V. 7. P. 3297.
- Фомина Л.В., Малахова Е.А., Лебедева О.В., Пожидаев Ю.Н., Безносюк С.А., Фомин А.С., Раскулова Т.В. Механизм протонной проводимости ионпроводящих мембран на основе полисилсесквиоксанов // Вестник Ангарского Государственного Технического Университета. 2019. № 13. С. 81–89.
- Лебедева О.В., Пожидаев Ю.Н., Шаглаева Н.С., Поздняков А.С., Бочкарева С.С. Полимерные электролиты на основе азотистых оснований // Химическая технология. 2010. Т. 11. № 1. С. 20–25.
- Chesnokova A.N., Lebedeva O.V., Pozhidaev Y.N., Iva-nov N.A., Rzhechitskii A.E. Synthesis and properties of composite membranes for polymer electrolyte membrane fuel cells // Advanced Materials Research. 2014. V. 884–885. C. 251–256.
- Добрянская Г.И., Зуб Ю.Л., Барчак М., Дабровский А. Синтез и структурно-адсорбционные характеристики бифункциональных ксерогелей, содержащих метильные и 3-меркаптопропильные группы // Коллоидный журн. 2006. Т. 68. № 5. С. 601–611.
- Андрианов К.А. Кремнийорганические соединения. М.: Госхимиздат, 1955. 385 с.
Supplementary files






