Simulation of the Impurity Absorption from a Laminar Flow in a System of Hollow-Fiber Membranes
- Authors: Kirsh V.A.1,2
-
Affiliations:
- Frumkin Institute of Physical Chemistry and Electrochemistry, Russian Academy of Sciences
- Topchiev Institute of Petrochemical Synthesis, Russian Academy of Sciences
- Issue: Vol 13, No 6 (2023)
- Pages: 475-485
- Section: Articles
- URL: https://medbiosci.ru/2218-1172/article/view/231887
- DOI: https://doi.org/10.31857/S2218117223060068
- EDN: https://elibrary.ru/HONCTM
- ID: 231887
Cite item
Full Text
Abstract
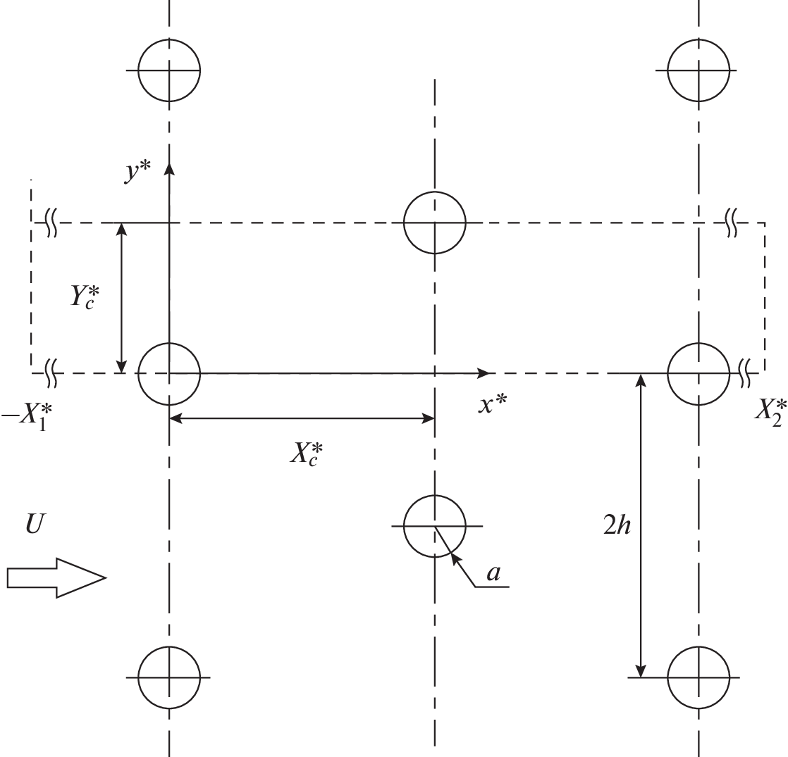
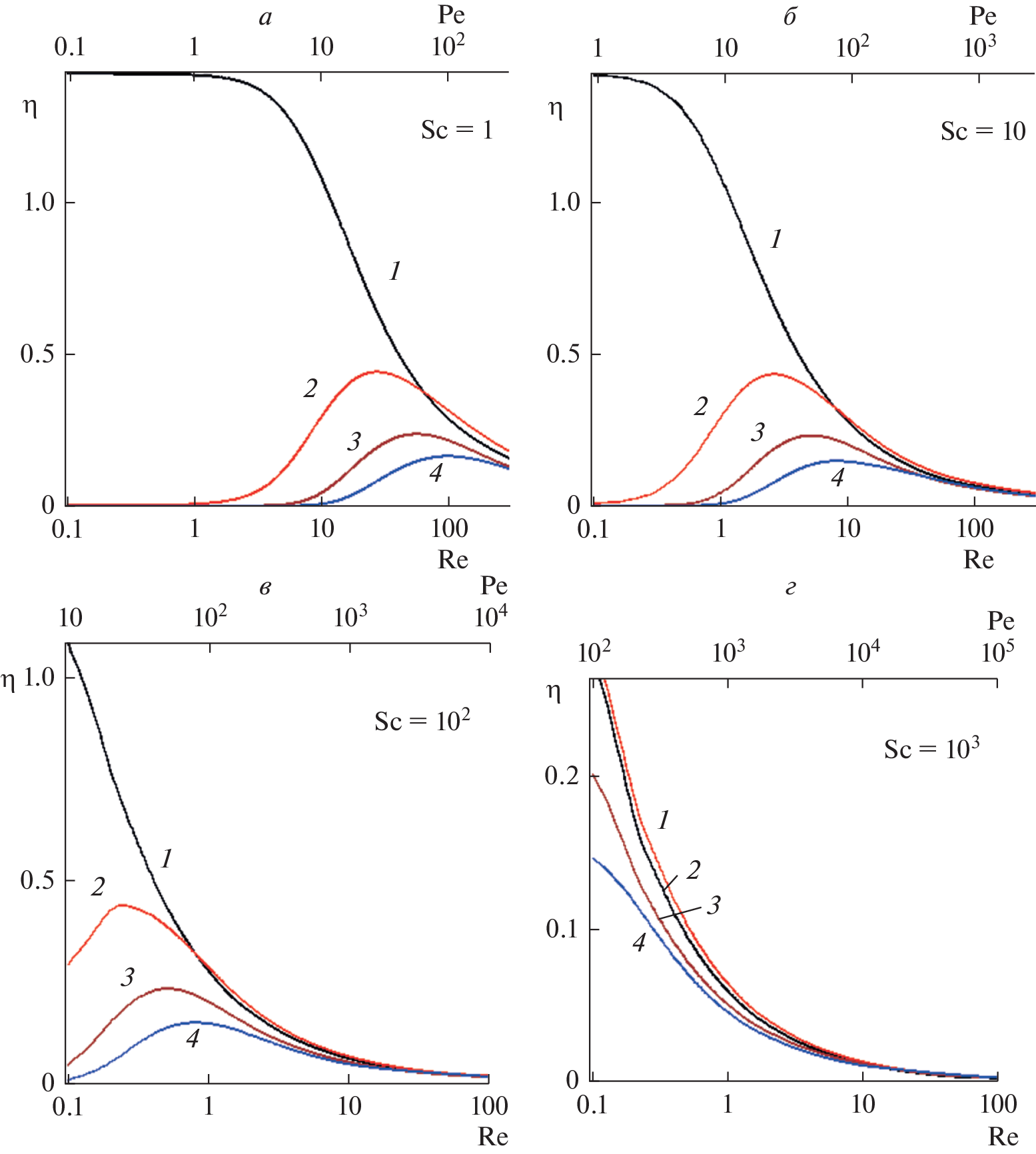
The external stationary flow of a viscous incompressible fluid and the convective-diffusion mass transfer of a solute in an ordered system of parallel hollow fiber membranes arranged normally to the flow direction are calculated in the ranges of Reynolds numbers \(\operatorname{Re} \) = 0.01–100 and Schmidt numbers \({\text{Sc}}\) = 1–1000. The Navier–Stokes equations and the equation of convective diffusion were solved using the methods of computational fluid dynamics with a no-slip boundary condition and with a constant solute concentration condition on the outer surface of the streamlined fiber. The calculations were performed for a row of fibers and for a multi-fiber system consisting of four and sixteen rows of fibers. The outlet concentrations and the fiber solute retention efficiencies \(\eta \) were calculated depending on the packing density of the fibers and the \(\operatorname{Re} \) and \({\text{Sc}}\) numbers. It is shown that it is possible to use the fiber solute retention efficiency \(\eta \) defined for a single row of fibers to predict the retention efficiency of an extended multi-row fibrous bed.
About the authors
V. A. Kirsh
Frumkin Institute of Physical Chemistry and Electrochemistry, Russian Academy of Sciences; Topchiev Institute of Petrochemical Synthesis, Russian Academy of Sciences
Author for correspondence.
Email: va_kirsch@mail.ru
Russia, 119071, Moscow; Russia, 119991, Moscow
References
- Babu V.P., Kraftschik B.E., Koros W.J. Crosslinkable TEGMC asymmetric hollow fiber membranes for aggressive sour gas separations // J. Membr. Sci. 2018. V. 558. P. 94–105.
- Bazhenov S.D., Bildyukevich A.V., Volkov A.V. Gas-liquid hollow fiber membrane contactors for different applications // Fibers. 2018. V. 6. № 4. P. 76. https://doi.org/10.3390/fib6040076
- Malakhov A.O., Bazhenov S.D., Vasilevsky V.P., Borisov I.L., Ovcharova A.A., Bildyukevich A.V., Volkov V.V., Giorno L., Volkov A.V. Thin-film composite hollow fiber membranes for ethylene/ethane separation in gas-liquid membrane contactor // Sep. Purif. Technol. 2019. V. 219. P. 64–73. https://doi.org/10.1016/j.seppur.2019.02.053
- Ovcharova A., Vasilevsky V., Borisov I., Bazhenov S., Volkov A., Bildyukevich A., Volkov V. Polysulfone porous hollow fiber membranes for ethylene-ethane separation in gas-liquid membrane contactor // Sep. Purif. Technol. 2017. P. 183.
- Левич В.Г. Физико-химическая гидродинамика. М.: ГИФМЛ, 1959.
- Головин А.М., Лопатин В.А. Течение вязкой жидкости в двоякопериодических рядах цилиндров // ПМТФ. 1968. Т. 9. № 2. С. 99–105.
- Launder B.E., Massey T.H. The Numerical Prediction of Viscous Flow and Heat Transfer in Tube Banks // ASME J. Heat Transf. 1978. V. 100. P. 565–571.
- Martin A., Saltiel C., Shyy W. Frictional losses and convective heat transfer in sparse, periodic cylinder arrays in cross flow // Int. J. Heat Mass Transf. 1998. V. 41. P. 2383–2397.
- Kirsch V.A., Roldugin V.I., Bildyukevich A.V., Volkov V.V. Simulation of convective-diffusional processes in hollow fiber membrane contactors // Sep. Purif. Technol. 2016. V. 167. P. 63–69.
- Kirsch V.A., Bildyukevich A.V., Bazhenov S.D. Simulation of Convection–Diffusion Transport in a Laminar Flow Past a Row of Parallel Absorbing Fibers // Fibers. 2018. V. 6. № 4. https://doi.org/10.3390/fib6040090
- Kirsch V.A., Bazhenov S.D. Numerical simulation of solute removal from a cross-flow past a row of parallel hollow-fiber membranes // Sep. Purif. Technol. 2020. V. 242. P. 116834.
- Samarskii A.A., Vabishchevich P.N. Computational Heat Transfer, Volume 2: The Finite Difference Methodology, 2-nd ed.; John Wiley & Sons: Chichester, UK, 1995.
- Кирш В.А. Осаждение аэрозольных наночастиц в волокнистых фильтрах // Коллоидный журн. 2003. Т. 65. № 6. С. 795−801.
- Weinan E., Liu J.G. Vorticity Boundary Condition and Related Issues for Finite Difference Schemes // J. Comput. Phys. 1996, V. 124. № 2. P. 368–382.
- Berkovskii B.M., Polevikov V.K. Effect of the Prandtl number on the convection field and the heat transfer during natural convection (English transl.) // J. Eng. Phys. 1973. V. 24. P. 598–603.
- Emi H., Okuyama K., Adachi M. The effect of neighbouring fibers on the single fiber inertia-interception efficiency of aerosols // J. Chem. Engng. Japan. 1977. V. 10. № 3. P. 148–153.
- Kirsch A.A., Stechkina I.B. // Fundamentals of Aerosol Science / Ed. by Shaw D.T. N.Y.: Wiley-Interscience, 1978. Ch. 5. P. 165.
- Ландау Л.Д., Лифшиц И.М. Теоретическая физика. Т. 6. Гидродинамика. Издание 4-е. М.: Наука, 1988.
- Chernyakov A.L., Kirsh A.A., Roldugin V.I., Stechkina I.B. Diffusion deposition of aerosol particles on fibrous filters at small Peclet numbers // Colloid J. 2000. V. 62. P. 490–494.
- Kirsh V.A. Sedimentation of nanoparticles in a model fibrous filter at low Reynolds numbers // Russian J. Phys. Chem. Ser. A. 2005. V. 79. P. 2049–2052.
- Natanson G.L. Diffusional precipitation of aerosols on a streamlined cylinder with a small capture coefficient (English transl., Dokl. Akad. Nauk SSSR) // Proc. Acad. Sci. USSR Phys. Chem. Sec. 1957. V. 112. P. 21–25.
- Polyanin A.D., Kutepov A.M., Kazenin D.A., Vyazmin A.V. Hydrodynamics, Mass and Heat Transfer in Chemical Engineering. Series: Topics in Chemical Engineering (Book 14), 1st Ed.; CRC Press: Boca Raton, FL, USA, 2001; ISBN-10: 0415272378.
- Чечуев П.В., Кирш А.А. Диффузионное осаждение аэрозолей в модельном фильтре при малых числах Пекле // Журн. физ. хим. 1982. Т. 56. № 5. С. 1304–1305. WOS:A1982NR32200069.
- Clift R., Grace J.R., Weber M.E. Bubbles, Drops, and Particles. N.Y.: Academic Press, 1978.
- Lamb H. Hydrodynamics. Cambridge Univ. Press. London/N.Y., 1932.
- Фукс Н.А., Кирш А.А., Стечкина И.Б. Технический отчет № 264/72 “Повышение эффективности улавливания компрессорного масляного тумана”. М.: НИФХИ им. Л.Я. Карпова, 1972.
- Tomotika S., Aoi T. The steady flow of viscous fluid past a sphere and cylinder at small Reynolds number // Quart. J. Mech. Appl. Math. 1950. V. 3. P. 140–161.
- Dobry R., Finn R.K. Mass Transfer to a Cylinder at Low Reynolds Numbers // Ind. Engng. Chem. 1956. V. 48. P. 1540–1543.
- Miyagi T. Viscous flow at low Reynolds numbers past an infinite row of equal circular cylinders // J. Phys. Soc. Jpn. 1958. V. 13. P. 493–496.
- Keller J.B. Viscous flow through a grating or lattice of cylinders // J. Fluid Mech. 1964. V. 18. P. 94–96.
Supplementary files











