Selective Permeability of a Homogeneous Bilayer Membrane MF-4SK with a Selective Layer of Cationic Polyelectrolyte in a Mixed Solution of Calcium Chloride and Sodium Chloride
- Authors: Achoh A.R.1, Bondarev D.A.1, Melnikov S.S.1, Zabolotsky V.I.1
-
Affiliations:
- Kuban State University
- Issue: Vol 14, No 5 (2024)
- Pages: 358-367
- Section: Articles
- URL: https://medbiosci.ru/2218-1172/article/view/281192
- DOI: https://doi.org/10.31857/S2218117224050026
- EDN: https://elibrary.ru/MYRLKI
- ID: 281192
Cite item
Full Text
Abstract
New homogeneous bilayer membranes with a thin anion-exchange layer based on copolymer of N,N-diallyl-N,N-dimethylammonium chloride (DADMAC) and ethyl methacrylate (EMA) on the surface of sulfated polytetrafluoroethylene membrane-substrate have been developed. The general and partial current–voltage characteristics, external and intra-diffusion limiting currents were theoretically and experimentally investigated. The parameters of specific conductivity, sorption and diffusion permeability of individual membrane layers, as well as effective transfer numbers and specific selectivity of bilayer homogeneous membranes in mixed solutions of calcium chloride and sodium chloride have been determined.
It was found that depositing a thin anion-exchange layer of DADMAC and EMA on the homogeneous membrane can increase the selectivity of the membrane to single-charged cations. The specific selectivity of bilayer membrane MK-2 to sodium cations increases by more than 6 times (from 0.77 to 4.78) relative to the original homogeneous membrane-substrate MF-4SC.
Verification of the obtained experimental data in the framework of a four-layer mathematical model with quasi-equilibrium boundary conditions for the system diffusion layer (I)/modifying layer (II)/membrane-substrate (III)/diffusion layer (IV) in ternary solutions of NaCl+CaCl2 has been carried out.
Full Text
ВВЕДЕНИЕ
Одной из главных задач при разработке электромембранных технологий разделения ионов является создание мембран с высокой специфической селективностью к одному или нескольким ионам, содержащимся в многоионных растворах. Мембраны с избирательной селективностью являются востребованными в таких электромембранных технологиях как: обратный и метатезисный электродиализ [1, 2], мембранно-емкостной деионизация [3–5], проточные redox батареи [6], микробиологические топливные элементы [7], при создании систем адресной доставки лекарственных препаратов [8]. Особенно востребованными являются электромембранные процессы разделения ионов при создании бессточных и безотходных циклических производств в химической, биохимической и медицинской промышленности [9], агропищевой индустрии [10–12], гидрометаллургии [13, 14].
Основным подходом при создании таких мембран является их поверхностная модификация [15, 16]. При этом на поверхности исходных изотропных ионообменных мембран формируется тонкий селективный слой [17, 18] и мембрана становится анизотропной (двухслойной [19] или многослойной [20]).
Известно несколько физико-химических подходов для формирования селективных слоев на поверхности мембран [21]. Для разделения ионов с различной гидратируемостью и радиусом используется ситовый эффект (sieving effect) и гидрофилизация или гидрофобизация поверхности мембран [21]. Для разделения ионов с различным зарядом поверхность мембраны модифицируется заряженными полиэлектролитами или ионполимерами с зарядом одноименным по отношению к разделяемым ионам (эффект электроселективности) [22, 23]. Существуют подходы по введению в селективный слой неорганических дoпантов или комплексонов, способных к координации или образованию ковалентных связей с одним из разделяемых ионов, при этом достигается снижение подвижности этого иона и/или увеличение его селективной сорбции [24]. Доминирование одного из этих эффектов приводит к снижению или увеличению специфической селективности мембран по отношению к координируемому иону.
Как правило, для поверхностной модификации используют коммерческие ионообменные мембраны, которые можно разделить на две основные группы: гомогенные и гетерогенные ионообменные мембраны. Гетерогенные мембраны обладают следующими преимуществами: низкой стоимостью, простотой изготовления, высокой механической прочностью и стабильностью. К недостаткам гетерогенных мембран можно отнести большую толщину мембран и относительно невысокие электропроводные свойства и, как правило, меньшую степень адгезии модифицирующего слоя вследствие большого количества инертного связующего. По сравнению с гетерогенными мембранами, гомогенные мембраны лишены этих недостатков и с успехом могут быть использованы для модификации с целью получения новых ионселективных мембран.
Ранее авторами была разработана новая гомогенная анионообменная мембрана на основе сополимера ДАДМАХ и ЭМА, проявляющая высокую электрохимическую стабильность в условиях высокоинтенсивного электродиализа и концентрированных щелочных растворах [25].
Целью работы являлась разработка бислойных гомогенных мембран и исследование их электрохимических и транспортных характеристик в смешанном растворе хлорида кальция и хлорида натрия.
ОБЪЕКТЫ И МЕТОДЫ ИССЛЕДОВАНИЯ
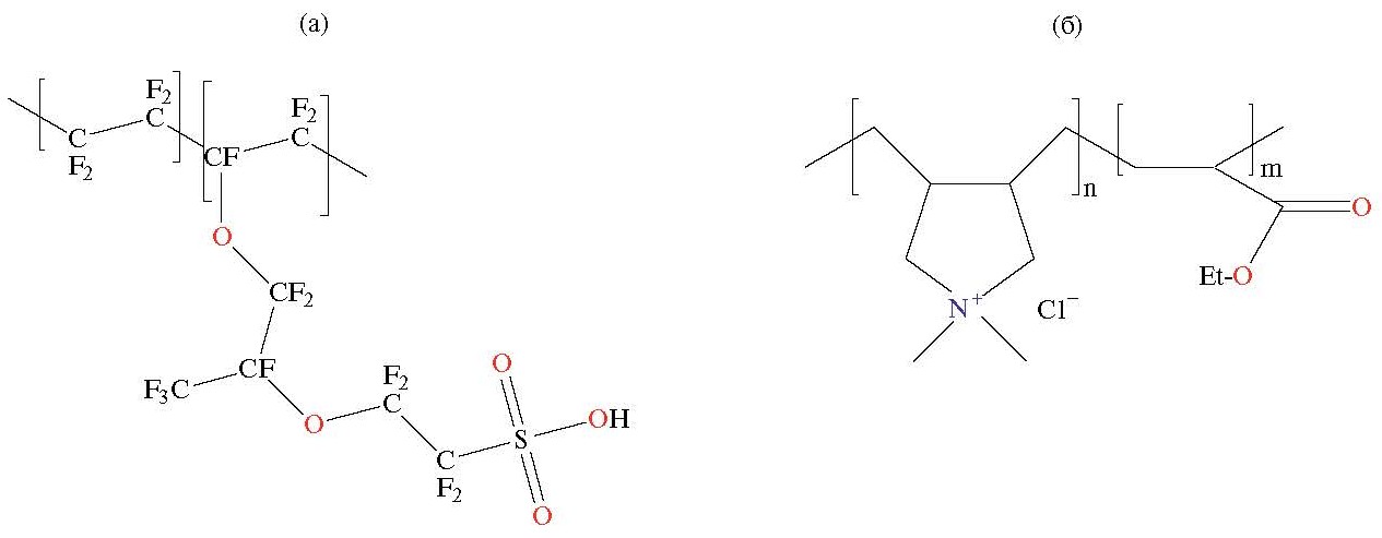
Объектами исследования являлись экспериментальные гомогенные мембраны с тонким селективным слоем из сополимера ДАДМАХ и ЭМА на поверхности мембраны-подложки из сульфированного политетрафторэтилена (МФ-4СК) производства OAO “Пластполимер”, Россия. Жидкая мембрана МФ-4СК из сульфированного политетрафторэтилена является российским аналогом мембраны Nafion [26]. Химические структуры мембраны-подложки и модифицирующего слоя представлены на рис. 1.
Рис. 1. Химическая структура катионообменной мембраны-подложки МФ-4СК (а) и анионообменного модифицирующего слоя МА-1 (б).
Модифицированные мембраны получали путем нанесения тонкого слоя жидкой мембраны на основе сополимера ДАДМАХ и ЭМА на поверхность мембраны-подложки. Мембраны МФ-4СК и модифицирующий слой были получены из 10%-ных растворов, приготовленных на изопропиловом спирте. Толщина селективного анионообменного слоя изменялась путем нанесения разного объема раствора сополимера. Испарение растворителя осуществлялось при температуре 25˚С и атмосферном давлении 760 мм рт. ст. Через 24 часа на поверхности МФ-4СК формировался плотный слой сополимера ДАДМАХ и ЭМА. Аналогичным образом была получена гомогенная анионообменная мембрана МА-1, только раствор сополимера ДАДМАХ и ЭМА наносили на поверхность стекла в количестве, достаточном для получения мембраны толщиной 100 мкм.
Бислойные мембраны с толщиной селективного слоя 6 мкм и 24 мкм в дальнейшем обозначались соответственно МК-1 и МК-2. ИК-спектры МК-2 со стороны катионообменного и анионообменного слоев
Бислойные мембраны были исследованы методом ИК-спектроскопии (рис. 2), с использованием приставки МНПВО на приборе Vertex 70 (Bruker, Германия).
Рис. 2. ИК-спектр бислойной мембраны МК-2 со стороны катионообменного слоя (1) и со стороны анионообменного слоя (2).
Из анализа ИК-спектров видно, что для слоя МФ-4СК наблюдаются характерные полосы поглощения (3500 и 1628 см–1), соответствующие валентным и деформационным колебания H2O, также имеется полоса, соответствующая валентным асимметричным колебаниям групп SO3–, CF3-CF2- и С-О-С (1310–1203 см–1). При 1146 см–1 наблюдаются колебания характерные для связей С-С, а две следующие полосы (1063 и 982 см–1) соответствуют колебаниям связей S-O-H, С-O-C и симметричным колебаниям группы SO3– соответственно.
Со стороны анионообменного слоя в мембране наблюдаются полосы поглощения, характерные для сополимера ДАДМАХ и ЭМА. В области 3030–2800 см–1 проявляются валентные колебания С-H связей метильных и метиленовых групп, валентные колебания карбонильной группы (С=О) сложноэфирного фрагмента этилметакрилата проявляются при 1720 см–1, колебания углеродного скелета и деформационные колебания связей С-Н, С-С, С-О-С находятся в области от 1500 до 400 см–1. Полное описание ИК–спектра анионообменной мембраны было представлено в работе [25].
В независимых экспериментах были исследованы транспортные и электрохимические свойства монополярных пленок МФ-4СК и МА-1, полученные методом полива на стекло. При исследовании мембран в качестве рабочих растворов были использованы индивидуальные и смешанные растворы хлоридов кальция и натрия.
Исследование вольтамперных характеристик и эффективных чисел переноса
Вольтамперные характеристики (ВАХ) мембран были получены методом вращающегося мембранного диска (ВМД), позволяющего задавать постоянную толщину диффузионного слоя и одновременно определять эффективные (гитторфовские) числа переноса [27]. Измерения ВАХ проводились в тернарных растворах CaCl2 (0.015 моль-экв/л) + NaCl (0.015 моль-экв/л). Плотность тока изменялась ступенчато. Скорость подачи раствора в катодную камеру составляла 7.5 ± 0.1 мл/мин. Состав исходного раствора в анодной камере поддерживался постоянным.
Концентрации катионов Ca2+ и Na+ в катодной и анодной камерах ВМД определялся с помощью жидкостного ионного хроматографа Аквилон Стайер, с использованием хроматографической колонки Shodex IC YS-50. Ошибка определения концентрации ионов не превышала 5%.
Числа переноса ионов определялись по формуле:
, (1)
где Ti – гитторфовские числа переноса; ci – концентрация электролита после концентрирования, моль/л; – концентрация исходного раствора моль/л; vi – объемная скорость, л/с; I – ток, А; F – постоянная Фарадея, Ас/моль.
Коэффициенты специфической селективности определялись по формуле:
, (2)
где T1 и T2 – гитторфовские числа переноса кальция и натрия соответственно; и – концентрация кальция и натрия соответственно в глубине раствора, моль/л.
Определение констант термодинамического равновесия ЭМС
Для определения констант термодинамического равновесия были получены изотермы ионного обмена для гомогенной пленки МФ-4СК, а также изотермы донанновской сорбции электролитов для модифицирующей анионообменной пленки МА-1 в смешанном растворе CaCl2 и NaCl. Исследования проводились по методике без разделения фаз ионита и равновесного раствора [28].
Переведенные в Ca2+ и Na+ формы и отмытые деионизованной водой мембраны помещались в растворы с различным соотношением концентраций ионов Ca2+ и Na+. При этом суммарная концентрация ионов была постоянной и составляла 0.03 моль-экв/л. После достижения равновесия определялся равновесный ионный состав раствора. По изменению концентраций ионов в растворе находились равновесные концентрации ионов Ca2+ и Na+ в мембранах МФ-4СК и МА-1. Равновесные концентрации ионов в растворе нормировались на суммарную концентрацию ионов в растворе, а концентрации ионов в мембранах – на обменную емкость мембран.
Полученные зависимости эквивалентной доли ионов кальция в мембране и модифицирующей пленки от доли ионов кальция в растворе Θ1 использовались для построения изотерм ионного обмена (3) и донанновской сорбции (4):
, (3)
, (4)
где и – эквивалентные доли ионов в мембране-подложке и модифицирующем слое; Θj – эквивалентные доли ионов в фазе раствора; z1 и z2 – заряды ионов.
Толщины модифицирующих пленок и мембран определяли с помощью электронного микрометра Absolute Digimatic MDH Mitutoyo с погрешностью 0.5 мкм.
Определение обменной емкости и влагосодержания мембран проводили по стандартной методике [29].
Определение коэффициентов диффузии ионов в мембранах
Коэффициенты диффузии ионов Ca2+ и Na+ в исследуемых мембранах вычислялись по значениям удельной электропроводности мембран в Ca2+ и Na+ форме соответственно. Удельная электропроводность мембран и (j = Ca2+, Na+) определялась путем анализа спектров электрохимического импеданса в ртутно-контактной ячейке [29]. Сопротивление мембраны (R) находилось экстраполяцией измеренного комплексного сопротивления на бесконечно большую частоту. Частотные спектры электрохимического импеданса были получены с использованием потенциостата-гальваностата-импедансметра “Parstat 4000” в диапазоне частот 1 Гц – 500 кГц.
На основании значений удельной электропроводности исследуемых мембран в моноионных формах и с использованием значения обменной емкости мембран Q были рассчитаны коэффициенты диффузии кальция и натрия в мембране-подложке ()
. (5)
Для определения коэффициентов диффузии ионов Na+ и Ca2+ в мембране МА-1 измерялись коэффициенты диффузионной проницаемости электролитов хлорида натрия и хлорида кальция. Коэффициенты диффузионной проницаемости определялись путем измерения диффузионных потоков индивидуальных электролитов (NaCl и CaCl2) через мембрану в деионизированную воду по методике [29].
Коэффициенты диффузии в модифицирующем слое находились по формуле:
, (6)
где Pj – интегральный коэффициент диффузионной проницаемости электролита; βj – параметр, характеризующий концентрационный профиль внутри мембраны. Значения коэффициентов диффузии мембраны МФ-4СК определялись при концентрации c0 = 0.03 моль-экв/л.
РЕЗУЛЬТАТЫ И ИХ ОБСУЖДЕНИЕ
Транспортные характеристики гомогенных мембран
Диффузионная проницаемость гомогенной анионообменной мембраны МА-1 полученной из 10% раствора сополимера ДАДМАХ и ЭМА в изопропиловом спирте была изучена в растворах NaCl и CaCl2. На рис. 3 представлена зависимость интегрального коэффициента диффузионной проницаемости от концентрации внешнего раствора.
Рис. 3. Зависимость интегральной диффузионной проницаемости анионообменной мембраны МА-1 от концентрации электролита: 1 – NaCl; 2 – CaCl2.
Из представленных данных следует, что диффузия хлорида натрия через мембрану МА-1 протекает с более высокой скоростью, чем диффузия хлорида кальция. Такое различие в скорости диффузии электролитов можно объяснить различными зарядами ионов Na+ и Ca2+. В анионообменной мембране МА-1 ионы Na+ и Ca2+ являются коионами, и их транспорт осложняется по мере увеличения заряда катиона. Снижение диффузионной проницаемости по мере увеличения заряда ко-иона характерно для большинства селективных ионообменных мембран [35].
Зависимость электропроводности гомогенной мембраны МА-1 от концентрации растворов NaCl и CaCl2 представлена на рис. 4.
Рис. 4. Зависимость удельной электропроводности мембраны МА-1 от концентрации электролита: 1 – NaCl; 2 – CaCl2.
Как видно из рис. 4, в исследуемом диапазоне концентраций растворов электропроводность анионообменной мембраны МА-1 не зависит от заряда и концентрации ко-ионов Na+ и Ca2+. Электропроводность исследуемой мембраны МА-1 во многом определяется природой противоиона и его концентрацией. Так как для исследуемой анионообменной мембраны хлорид анион является противоионом и его концентрация одинакова как в случае с NaCl, так и в случае с CaCl2, то и электропроводность мембраны в этих растворах является близкой. При высоких концентрациях внешнего раствора содержание ко-ионов (Ca2+ и Na+) в фазе мембраны также увеличивается, что может сказываться на электропроводности. Однако для гомогенной мембраны МА-1 данный эффект при этих концентрациях проявляется в меньшей степени. Таким образом электропроводящие характеристики мембраны МА-1 определяются только значениями коэффициентов диффузии противоиона Cl–. Аналогичные закономерности получены для гетерогенной мембраны МА-41 и гомогенной мембраны АМХ [35].
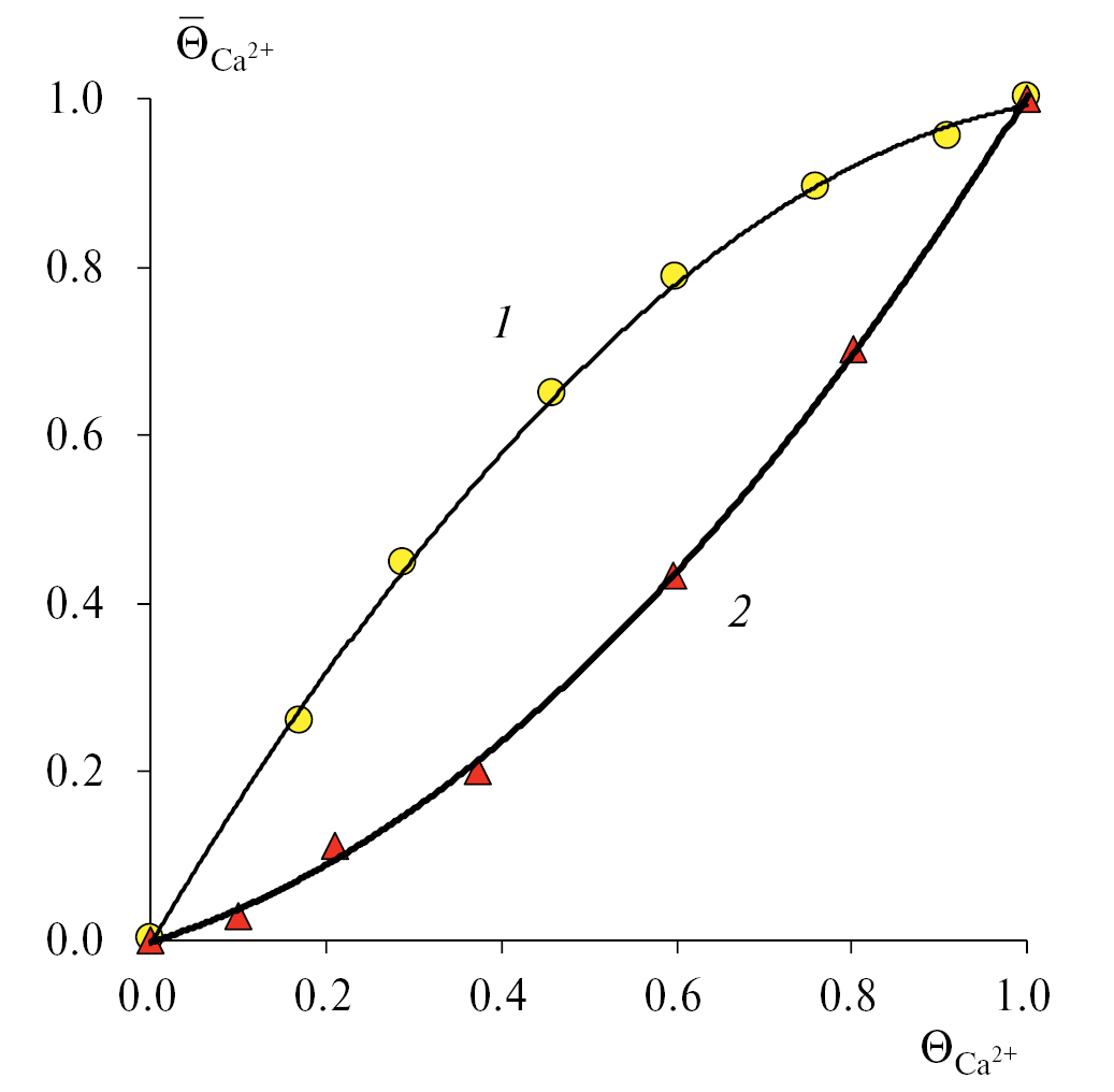
На рис. 5 представлены изотермы ионного обмена катионообменной гомогенной мембраны МФ-4СК и донанновской сорбции гомогенной анионообменной мембраны МА-1 в смешанном растворе хлорида кальция и хлорида натрия.
Рис. 5. Изотермы ионного обмена и донанновской сорбции в системе мембрана/тернарный раствор CaCl2 + NaCl c суммарной концентрацией 0.03 моль-экв/л. Маркерами показаны экспериментальные данные: 1 – МФ-4КС, 2 – МА-1; линиями показан расчет по уравнениям 3 и 4.
Из рис. 4, видно что, анионообменная мембрана МА-1, формирующая селективный слой, обладает большей донанновской сорбцией по отношению к ионам натрия, в то время как мембрана-подложка МФ-4СК обладает большей ионообменной сорбцией к противоионам кальция.
Низкую донанновскую сорбцию двухзарядных ионов кальция в анионообменной мембране МА-1 по сравнению с ионами натрия можно объяснить зарядовой селективностью. Ионы кальция и натрия имеют одинаковый знак заряда с фиксированными ионогенными группами мембраны МА-1. По этой причине ионы кальция существенно меньше сорбируется мембранной. В катионообменных мембранах заряд фиксированных групп отрицательный, за счет этого сорбция двухзарядных катионов превалирует. Кроме того, пониженное влагосодержание мембраны МА-1 [25] приводит к гидрофобизации поверхности мембраны и, как следствие, меньшей сорбции более гидратированых ионов кальция.
Значение константы Доннана для анионообменной мембраны МА-1 = 0.73. Значения констант ионного обмена, определенные их изотерм сорбции, для мембраны МФ-4СК составило = 1.56.
В табл. 1 представлены физико-химические свойства и транспортные характеристики индивидуальных слоев образующих бислойную мембрану.
Таблица 1. Физико-химические свойства и транспортные характеристики гомогенных мембран МФ-4СК и МА-1
МФ-4СК/МА-1 (CaCl2+NaCl) | ||||
Параметры | МФ-4СК | МА-1 | ||
Са2+ | Nа+ | Са2+ | Nа+ | |
Влагосодержание (), H2O/gsw, % | 17.4 ± 2 | 15.6 ± 2 | 30.5 ± 2 | 28,9 ± 2 |
Обменная емкость ( и ), ммоль-экв/см3 | 0.82 ± 0.05 | 0.97 ± 0.05 | ||
Удельная электропроводность ( и ), mSm/cm | 1.27 ± 0.1 | 1.86 ± 0.1 | 1.98 ± 0.1 | 1,96 ± 0.1 |
Коэффициенты диффузии ( и ) , m2/s | 1.41 | 3.93 | 0.24 | 0,65 |
Константа ионного обмена () | 1.56 | – | ||
Константа необменной сорбции () | – | 0.73 | ||
Толщина диффузионного слоя, мкм | 53.3 ± 1 | |||
Константы ионообменного равновесия и | 1.90 | 0.75 | ||
Толщина мембраны-подложки и модифицирующего слоя ( и ), мкм | 210 | 61 | ||
242 | ||||
1 – модифицированная мембрана МК-1.
2 – модифицированная мембрана МК-2.
Вольтамперные характеристики бислойных мембран
Вольтамперные характеристики ионообменных мембран были исследованы на установке с вращающимся мембранным диском, при скорости вращения 100 об/мин, в смешанном растворе хлорида натрия (0.015 моль-экв/л) и хлорида кальция (0.015 моль-экв/л), рис. 6.
Рис. 6. Общие ВАХ и парциальные токи по продуктам диссоциации воды бислойных гомогенных мембран в растворе 0.015 моль-экв/л NaCl и 0.015 моль-экв/л CaCl2 при скорости вращения мембранного диска 100 об/мин: 1, 4 – МФ-4СК; 2, 5– МК-1 с толщиной модифицирующей пленки 6 мкм; 3, 6 – МК-2 с толщиной модифицирующей пленки 24 мкм.
Как видно из рис. 6, нанесение на гомогенную мембрану тонкого анионообменного слоя сополимера ДАДМАХ и ЭМА толщиной 6 мкм приводит к снижению значения предельной плотности тока до 0.8 мА/см2. Увеличение толщины анионообменного слоя до 24 мкм снижает предельную плотность дока до 0.35 мА/см2. Такой характер зависимости ВАХ свидетельствует о формировании внутридиффузионного предельного тока на границе модифицирующий слой/мембрана-подложка.
Анализ зависимости предельного тока от корня квадратного угловой скорости ВМД представлен на рис. 7. На катионообменной мембране МФ-4СК в исследуемом смешанном растворе общая плотность предельного тока ilim складывается из парциальных плотностей предельного тока по каждому из противоионов, пренебрегая потоком ко-ионов через мембрану (j3 = 0) [30]:
. (7)
Рис. 7. Зависимость предельной плотности тока от квадратного корня угловой скорости ВМД в смешанном растворе 0.015 моль-экв/л NaCl и 0.015 моль-экв/л CaCl2. Пунктирной линией показаны значения предельной плотности тока, рассчитанные по формуле 7. Маркерами показаны экспериментальные значения предельных токов, найденные методом касательных для мембран: 1 – МФ-4СК; 2 – МК-1; 3 – МК-2.
Проведенные исследования при различной скорости вращения мембранного диска показывают, что предельная плотность тока для мембран МК-1 и МК-2 не зависит от толщины диффузионного слоя (рис. 7). Это связано с тем, что общий предельный внутридиффузионный ток на этой мембране аддитивно складывается из парциальных токов ко-ионов Na+ и Ca2+ через модифицирующий слой и Cl– через мембрану-подложку [30]:
. (8)
В бислойных мембранах МК-1 и МК-2 толщина модифицирующего слоя более чем на порядок меньше толщины слоя мембраны-подложки. Таким образом, значение предельного тока определяется отношением коэффициентов диффузии ко-ионов к толщине модифицирующего слоя.
Специфическая селективность бислойных мембран
На рис. 8 представлена зависимость коэффициента специфической селективности от безразмерной плотности электрического тока бислойных мембран МК-1 и МК-2.
Рис. 8. Зависимость коэффициента специфической селективности PNa+/Ca2+ от безразмерной плотности электрического тока в смешанном растворе 0.015 моль-экв/л NaCl и 0.015 моль-экв/л CaCl2 при скорости вращения мембранного диска 100 об/мин: маркерами представлены экспериментальные данные, сплошной линией показан расчет по четырехслойной математической модели [30], пунктирной линией показано предельное значение коэффициента селективной проницаемости рассчитанное по уравнению 11.
Как видно из рис. 8, бислойные мембраны МК-1 и МК-2 обладают большей специфической селективностью по отношению к ионам натрия по сравнению с ионами кальция. Этот эффект обусловлен зарядовой селективностью модифицирующего слоя, в котором знак заряда фиксированных групп положителен. При этом высокая специфическая селективность двухслойных мембран с различными зарядами полимерных матриц модифицирующего слоя и мембраны-подложки может достигаться уже при малой толщине модифицирующего слоя. Так нанесение 6 мкм анионообменного слоя сополимера ДАДМАХ приводит в более чем в 3-кратному росту специфической проницаемости по однозарядному иону натрия. При плотностях тока равных или близких к нулю, высокая специфическая селективность разработанных гомогенных бислойных мембран определяется равновесными коэффициентами распределения ионов в модифицирующем слое (). Коэффициенты специфической проницаемости для модифицирующего слоя () и для мембраны подложки () определяются кинетическими характеристиками (отношением коэффициентов диффузии разделяемых ионов в модифицирующем слое () и в мембране-подложке ()), термодинамическими характеристиками – коэффициентами разделения ионов ( и ) и отношением зарядовых чисел ионов (z1 и z2) по следующей формуле [30]:
, (9)
. (10)
Значения квазиравновесных коэффициентов рассчитанные для мембраны-подложки МФ-4СК и модифицирующей пленки МА-1 составили = 0.74 и = 4.82 соответственно.
Рост плотности тока приводит не только к изменению ионного состава мембраны, но и к снижению специфической селективности. При достижении предельного состояния, определяется только коэффициентами диффузии и зарядами разделяемых ионов в растворе [30]:
. (11)
В случае с модифицированной мембраной, предельный внешнедиффузионный ток не удается достичь при наращивании плотности тока, так как в сверхпредельных токовых режимах происходит диссоциация воды на границе модифицирующий слой/мембрана-подложка, и как следствие, появляются новые переносчики тока. Анализ данных чисел переноса показывает, что при достижении предельной плотности электрического тока на модифицированной мембране поток ионов натрия снижается, а водорода увеличивается, при этом числа переноса ионов кальция практически не меняются. При достижении плотности электрического тока, равной двум предельным токам, сумма чисел переноса ионов натрия и кальция не превышает 0.6, остальные 0.4 приходятся на ионы H+. Различия коэффициентов селективной проницаемости исходной и модифицированных мембран при i > ilim могут быть связаны с изменением соотношений конкурирующих ионов в модифицирующей пленке [36].
Верификация экспериментальных данных в рамках четырехслойной математической модели
На основе экспериментально найденных параметров физико-химических и транспортных свойств мембраны-подложки и модифицирующей пленки были рассчитаны значения селективной проницаемости по ранее разработанной авторами статьи четырехслойной математической модели [30].
Квазиравновесные значения специфической проницаемости для модифицированных мембран МК-1 и МК-2 были рассчитаны по четырехслойной математической модели путем экстраполяции зависимости P1,2(i) на i → 0 [30]. Значения квазиравновесных коэффициентов специфической проницаемости для двухслойных мембран МК-1 и МК-2 составили 3.4 и 4.2 соответственно.
Сплошными линиями на рис. 8 показаны зависимости коэффициентов специфической проницаемости, рассчитанные по четырехслойной математической модели от безразмерного тока. Для исходной катионообменной мембраны МФ-4СК и анионообменной пленки МА-1 наблюдается полная потеря селективности при достижении внешнедифузионного предельного тока, что согласуется с теорией [30]. Для модифицированных мембран наступление предельного состояния на внутренней межфазной границе модифицирующий слой/мембрана-подложка ограничивает возможности четырехслойной математической модели для расчетов P1,2 при высоких плотностях тока (при i > ilim). Скачок электрического потенциала при равенстве нулю граничных концентраций ионов на внутренней межфазной границе при i = ilim становится бесконечно большим. Для расширения рабочего диапазона плотностей тока в модели необходимо учитывать процесс диссоциации воды и возникновение области пространственного заряда.
ЗАКЛЮЧЕНИЕ
Разработаны новые гомогенные бислойные на основе мембраны МФ-4СК с тонким селективным слоем, состоящим из сополимера N,N-диаллил-N,N-диметиламмоний хлорида и этилметакрилата. Исследованы электрохимические и транспортные характеристики отдельных слоев бислойной мембраны в растворах хлорида натрия и хлорида кальция. Определены сорбционные свойства и диффузионная проницаемость отдельных слоев образующих бислойную мембрану. Установлено, что нанесение тонкого селективного гомогенного слоя приводит к кратному снижению величины предельной плотности электрического тока и увеличению коэффициента специфической проницаемости по отношению к однозарядному иону натрия. Селективность бислойной мембраны МК-2 к катионам натрия возрастает в более чем 6 раз (от 0.77 до 4.78) относительно исходной гомогенной мембраны-подложки МФ-4СК. Такой эффект обусловлен пониженной сорбцией двухзарядных ионов кальция в модифицирующем слоем, а также низким коэффициентом диффузионной проницаемости ионов кальция в этом слое.
На основании полученных транспортных характеристик отдельных слоев образующих бислойную мембрану были проведены расчеты по ранее разработанной четырехслойной математической модели. Расчетные значения коэффициента специфической проницаемости качественно и количественно согласуются с экспериментальными данными.
Разработанные гомогенные бислойные мембраны с высокой химической и электрохимической стабильностью в дальнейшем могут быть использованы для селективного извлечения и концентрирования однозарядных ионов в многоионных растворах сильных электролитов.
ФИНАНСИРОВАНИЕ РАБОТЫ
Исследование выполнено при финансовой поддержке Российского научного фонда, проект № 22-13-00439, https://rscf.ru/project/22-13-00439/.
КОНФЛИКТ ИНТЕРЕСОВ
Авторы данной работы заявляют, что у них нет конфликта интересов.
About the authors
A. R. Achoh
Kuban State University
Author for correspondence.
Email: achoh-aslan@mail.ru
Russian Federation, Krasnodar, 149, Stavropolskaya St., 350040
D. A. Bondarev
Kuban State University
Email: achoh-aslan@mail.ru
Russian Federation, Krasnodar, 149, Stavropolskaya St., 350040
S. S. Melnikov
Kuban State University
Email: achoh-aslan@mail.ru
Russian Federation, Krasnodar, 149, Stavropolskaya St., 350040
V. I. Zabolotsky
Kuban State University
Email: achoh-aslan@mail.ru
Russian Federation, Krasnodar, 149, Stavropolskaya St., 350040
References
- Güler E., van Baak W., Saakes M., Nijmeijer K. // J. Membrane Science. 2014. V. 455. P. 254–270.
- Апель П.Ю., Бобрешова О.В., Волков А.В., и др. // Мембраны и мембранные технологии. 2019. Т. 9. С. 59–80.
- Grimm J., Bessarabov D., Sanderson R. // Desalination. 1998. V. 115. P. 285–294.
- Xu T. W., Huang C. H. // AIChE J. 2008. V. 54. P. 3147–3159.
- Tang W., He D., Zhang C., Kovalsky P., Waite T.D. //Water Res. 2017. V. 120. P. 229–237.
- Li X.F.,. Zhang H.M, Mai Z.S. et al. // Energy Environ. Sci. 2011. V. 4. P. 1147–1160.
- Qian Y., Huang L., Pan Y., et al. // Sep. Purif. Technol. 2018. V. 192. P. 78–87.
- Qiu Y., Park K. // Adv. Drug Delivery Rev. 2012. V. 64. P. 49–60.
- Титова Т.С., Юрова П.А., Кулешова В.А. // Мембраны и мембранные технологии. 2021. Т. 11. C. 460–468.
- Ter Veen W.R., Koene L. // Metal Finishing. 2003. V. 101. P. 17–27
- Zhou Y., Yan H., Wang X., et al. // J. Membrane Science. 2016. V. 520. P. 345–353.
- Nir O., Sengpiel R.G., Wessling M. // Chem. Eng. J. 2018. V. 346. P. 640–648.
- Boucher M., Turcotte N., Guillemette V., et al. // Hydrometallurg. 1997. V. 45. P. 137–160.
- Díaz Nieto C., Palacios N., Verbeeck K., et al. // Water Research. 2019. V. 154 P. 117–124.
- Lacour S., Deluchat V., Bollinger J.C., Serpaud B. // Talanta. 1998. V. 46. P. 999–1009.
- Горобченко А.Д., Гиль В.В., Никоненко В.В., Шарафан М.В. // Мембраны и мембранные технологии. 2022. Т. 12. С. 480–490.
- Sata T. // Royal Society of chemistry. 2007. V. 15. P. 68.
- Zabolotskii V., Sheldeshov N., Melnikov S. // J. Appl. Electrochem. 2013. V. 43. P. 1117–1129.
- Sata T. // J. Membrane Science. 1994. V. 93. P. 117–135.
- Abdu S., Wessling M. // ACS Applied Materials and Interfaces. 2014. V. 3. P. 1843–1854.
- Wang W., Liu R., Tan M., et al. // J. Membrane Science. 2019. V. 582. P. 236–245.
- Shkirskaya S., Kolechko M., Kononenko N. // Curr. Appl. Phys. 2015. V. 15. P. 1587–1592.
- Sata T., Izuo R. // J. Membrane Science. 1989. V. 45. P. 209–224.
- Golubenko D.V., Karavanova Yu.A., Melnikov S.S., et al. // J. Membrane Science. 2018. V. 563. P. 777–784.
- Bondarev D., Melnikov S., Zabolotsky V. // J. Membrane Science. 2023. V. 675. P. 121510.
- Nafion(tm) membranes and dispersions, URL: https://www.chemours.com/Nafion/en_US/index.html
- Заболоцкий В.И., Шельдешов Н.В., Шарафан М.В. // Электродимия. 2006. Т. 42. С. 1494.
- Заболоцкий В. И., Гнусин Н. П., Шеретова Г. М. // Журн. физ. химии. 1985. Т. 59. С. 2467–2471.
- Berezina N.P., Kononenko N.A., Dyomina O.A., Gnusin N.P. // Colloid Inter-face Sci. 2008. V. 139. P. 3.
- Ачох, А.Р., Заболоцкий В.И., Лебедев К.А., Шарафан М.В., Ярославцев А.Б. // Мембраны и мембранные технологии. 2021. Т. 11. С. 58–78.
- Demina O.A., Shkirskaya S.A., Kononenko N.A., Nazyrova E.V. // Russ. J. Electrochem. 2016. V. 52. P. 291.
- Nightingale E.R. // J. Phys. Chem. 1959. V. 109. № 43. P. 1381.
- Afanas’ev V.N., Tyunina E.Yu. // Russian Journal of General Chemistry. 2004. № 5. V. 74. P. 673.
- Zavitsas A.A. // J. Phys. Chem. 2005. V. 109. № 43. P. 20636.
- Sarapulova V.V., Titorova V.D., Nikonenko V.V., Pismenskaya N.D. // Membranes and Membrane Technologies. 2019. V. 1. P. 168–182.
- Gorobchenko A., Mareev S., Vikonenko V. // Int. J. Mol. Sci. 2022, 23(9), 4711; https://doi.org/10.3390/ijms23094711
Supplementary files










