On the ontology of designing from the standpoint of a transdisciplinary approach
- Authors: Fayans A.M.1
-
Affiliations:
- Institute of Control Sciences Academician VA Trapeznikov
- Issue: Vol 15, No 2 (2025)
- Pages: 163-173
- Section: GENERAL ISSUES OF FORMALIZATION IN THE DESIGNING: ONTOLOGICAL ASPECTS
- URL: https://medbiosci.ru/2223-9537/article/view/316474
- DOI: https://doi.org/10.18287/2223-9537-2025-15-2-163-173
- ID: 316474
Cite item
Full Text
Abstract
A transdisciplinary approach to identifying the features and place of ontology of designing in the scientific picture of the world is presented, based on the use of formulations related to the position of the concept within the structure of science. It is argued that this approach complements both disciplinary and interdisciplinary approaches, enabling verification, refinement of obtained results, and the generation of new insights. A procedure is proposed that, in general, allows for the distinction between fully formalizable (computerizable) and non-formalizable constructs. The process of solving complex problems, where ontology construction is a key component, is described. Following the proposed process leads to the conclusion that there is a symbiosis and synergy of creative, non-formalizable human capabilities and the capabilities of technical systems that implement formalizable procedures. The application of the proposed process to complex, multi-aspect systems considered at a general level is shown.
Full Text
Введение
Многоплановость и разнообразие процедур проектирования указывает на возрастающую потребность практического использования онтологий как на самом высоком уровне обобщения, так и на уровне предметных областей (ПрО). Поэтому появление научного направления онтология проектирования (ОП) представляется вполне закономерным. При исследованиях такого уровня обычно используются дисциплинарный и междисциплинарный подходы (единство этих подходов обозначено как ДП) и трансдисциплинарный подход (ТП) [1, 2].
ОП посвящён ряд фундаментальных статей [3–8], в которых обобщён накопленный в этой области научный и практический опыт. Изложенные в них результаты отражают представление об онтологиях и процедурах, связанных с проектированием, на дисциплинарном и междисциплинарном уровнях в рамках существующей на данный момент дифференциации наук [3, с.8]. Отмечено, что «онтология проектирования, её понятийный аппарат, её базовые принципы инвариантны к предметной области» [3, с.10], указана связанность рассматриваемого направления с Абсолютом Знаний [4, с.14]. Оставаясь в рамках ДП, невозможно конструктивно ответить на ряд вопросов с позиций Абсолюта Знаний, отражающего в системе знаний понятие Всеобщего1 (взгляд «сверху»). ТП открывает возможность анализировать полученные результаты, формализовать нахождение слабых и сильных сторон, установить место теоретических построений2 в целостной научной картине мира. ТП включает конструктивные процедуры обобщения, анализа, синтеза и конкретизации [9]. Следование ТП позволило сформировать структуру высшего уровня целостной картины, выделить ключевые задачи, образующие базис во множестве возможных задач, систематизировать общие методы решения любых задач [10]. ТП и ДП имеют много общего, но ДП следует от частного к общему, а ТП – от общего к частному. ТП через конструктивное обобщение позволяет разобраться в причинах, обусловливающих существование понятий и их связей, определяющих объект исследования.
1. Основные понятия онтологии проектирования
1.1. Понятие «онтология»
Коммюнике онтологического саммита 2021 года [11] определяет онтологию, как «модель, которая представляет вещи и отношения между ними, актуальные для определённой цели». Философский энциклопедический словарь3 толкует онтологию, как «учение о бытии, как таковом, раздел философии, изучающий фундаментальные принципы бытия». ГОСТ Р 59277-2020 [12] определяет онтологию, как формализованное представление набора наименований понятий в ПрО и отношений между этими наименованиями понятий.
Абстрагирование от привязки толкования онтологии к понятию цели, при сохранении философского содержания, как учения о фундаментальных принципах бытия, приводит к пониманию онтологии, как формализованному представлению, объективно и конструктивно отражающему сущность бытия, вещи и отношения между ними вне зависимости от их практической значимости. Онтология, по сути, есть отражение континуальных отношений в целостном Всеобщем на счётное множество понятий, которым оперирует человек. Онтология представляется как конструктивная система отсчёта, позволяющая определить местоположение вещей, отношений, процессов, иных единичных и их классов в бытии Всеобщего. Это открывает возможность оперировать с понятиями, используя аппарат логики.
Основным назначением онтологии следует считать предельно достижимую формализацию в целостной картине вещей и отношений. Это позволяет сконцентрировать познавательную и практическую деятельность человека на творческом4 осознании, осмыслении и максимально полном использовании накопленного опыта, применяя для этого формализуемые системы, в частности, системы с искусственным интеллектом. В отличие от методологии (согласно [14] – «организация деятельности») онтологию можно рассматривать, как средство для организации деятельности.
1.3. Понятие «проектирование»
Проектирование в философии3 определяется как «один из основных … способов создания техники и других изделий и сооружений… Один из основных … механизмов, обеспечивающий связь производства с потреблением». Термин «проектирование» встречается в педагогике, образовании, социологии, генетике, инженерной психологии и т.д. В [13] проектирование толкуется, как «процесс создания проекта – прототипа, прообраза предполагаемого или возможного объекта, состояния».
Проектирование восходит к слову «проект» (от лат. Projectus — брошенный вперёд), которое согласно [13] имеет три значения: а) совокупность документов для создания изделия, состояния, б) предварительный текст какого-либо документа, в) замысел, план. В [15] проект определяется как «комплекс взаимосвязанных мероприятий, направленный на создание уникального продукта или услуги в условиях временных и ресурсных ограничений».
Часто под проектом понимают технические и общественные крупные задачи, а также художественные, в основе которых лежат литературные, изобразительные, драматургические или иные замыслы. При этом становится очевидным такой аспект проекта, как его общественная значимость. В общем случае этот аспект может быть и не свойственен задаче. Поэтому проект – это вид задачи, отвечающей социально значимой потребности, характеризующейся множеством аспектов рассмотрения и разнообразием их связей.
В общем случае удовлетворение потребности, порождающей задачу, проходит через ряд стадий [9]: 1) осмысление потребности (в данном случае – это требования к проекту, действующие и возможные ограничения) и возникновение замысла по удовлетворению этой потребности; 2) сбор информации; 3) постановка задачи (сформулированная потребность, условия решения, требования к решению и его качеству; 4) выявление метода решения; 5) формирование и использование средств выполнения метода; 6) выполнение действий метода; 7) сбор результатов применения метода; 8) анализ результатов; 9) выводы (формирование новых задач, в т.ч. и корректировка исходной постановки задачи); 10) сохранение результатов полученного опыта.
Особенностью проекта, кроме выраженной социальной значимости, является оформление технического задания (ТЗ), нацеливающего на согласованную деятельность создаваемой под проект организационной структуры, ориентированной на его реализацию и эксплуатацию, а также наличие соответствующей документации, отвечающей каждой стадии проекта.
Отсюда, проект есть задача, отражающая единство: а) целенаправленного общественно значимого замысла с явно выраженными качественно и/или количественно определимыми целями; б) реализации этого замысла; в) документального оформления задачи и результатов каждой стадии её реализации. Конструктивная определимость целей позволяет установить факт завершения (или прекращения) проекта. Отсутствие признаков б) и/или в) делает проект незавершённым. В той же степени, в какой можно говорить о типовой (многократно возникающей) потребности и порождаемой ею задаче, можно говорить и о типовом проекте.
Процесс проектирования соответствует стадии выполнения проекта, выявлению потенциально реализуемых методов и средств, приводящих к достижению указанных в проекте целей. Отсюда ОП есть формализованное представление, отражающее сущность и структуру задачи (проекта) и нацеленное на систематизацию выявления и/или выработки путей реализации и/или эксплуатации результатов решения задачи (проекта), включая и необходимые для этого связи, и возможные методы решения задач проекта.
1.3. Формализация при проектировании
Вопросы, связанные с формализацией, касаются всех стадий решения задачи. Рассмотрение специфики формализации с позиций ТП позволяет указать следующие её особенности.
- Для формализации требуется определённость (устойчивая повторяемость событий и связей).
- По мере роста неопределённости степень формализуемости падает.
- Индивидуальные, уникальные, неповторяющиеся события и связи принципиально неформализуемы.
- Только при возможности формализации можно говорить о соответствующей технологии.
- С позиций степени временны́х требований к актуальности потребности последние делятся на оперативные, тактические и стратегические, рассматриваемые соответственно на краткосрочных, среднесрочных и долгосрочных промежутках. По мере увеличения промежутка времени влияние факторов неопределённости растёт, а возможности формализации снижаются. Наличие тактических потребностей обусловливает существование оперативных потребностей, а наличие стратегических потребностей обусловливает существование как тактических, так и оперативных потребностей. Это указывает на иерархию потребностей.
- Из общих методов решения задач [10] в условиях полной неопределённости могут быть использованы только естественные методы, интуиция и некоторые опосредованные методы, в т.ч. опирающиеся на модели, которые могут формироваться в процессе обучения и/или адаптации. Применение прочих общих методов требует полной формализации описания и оперирования с ними.
- Решение частично формализуемых задач достигается комбинированием методов, основанных на интуиции, и формализуемых методов.
- В методе решения по частям используются процедуры комбинирования. Для анализа таких процедур необходимо выявление комбинируемых составляющих. Это сводится к построению онтологий потребности и рассматриваемого метода. Каждая из комбинируемых составляющих может быть исследована на предмет синтеза её возможных реализаций при условии её непротиворечивости с остальными составляющими (достижение консенсуса).
Предельно достижимая степень формализации определяется потенциальной возможностью переложить на конечные автоматы выполнение любой стадии задачи. Если проект или процедуры проектирования полностью формализуемы, то они могут выполняться в автоматическом режиме.
Искомую границу формализации определяет применимость понятия «творчество», уникального неформализуемого явления, результат которого способен стать общим достоянием, в т.ч. и вполне формализуемым, своего рода товаром, имеющим спрос5. Творчество, как правило, неразрывно связано с навыками – формализованными элементами деятельности, на которые опирается и от которых во многом зависит творчество.
Творческие способности индивидуальны, их можно и нужно развивать, используя примеры проявления творчества, как средства развития. Активным стимулом к творческому росту является нахождение в творческой среде, живое общение с творческими личностями. Для развития интуиции имеются и специальные методики (например, [16]).
Одним из значимых неформализуемых признаков является способность нести ответственность за результат деятельности, в т.ч. за эффективность использования ресурсов. Нетворческим моментам, напротив, присуще использование решений, ответственность за результат которых либо несущественна, либо априори приемлема при автоматическом выполнении действий и процедур в заранее указанных границах. Выход из этих границ предполагает использование творческих процедур.
При переходе от оперативных к тактическим и, далее, к стратегическим проектам имеет место рост ответственности за последствия принимаемых действий. Это обусловливает и степень необходимости использования неформализованных или принципиально не формализуемых процедур.
2. О технологии проектирования
Принятое толкование технологии6: «совокупность методов обработки, изготовления, изменения состояния, свойств, форм сырья, материала или полуфабриката, осуществляемых в процессе производства продукции; научная дисциплина, изучающая физико-химические, механические и другие закономерности, действующие в технологических процессах. Технологиями также называются операции добычи, обработки, транспортировки, хранения, контроля, являющиеся частью общего производственного процесса». Это определение дополняется тем, что «в состав технологии включается и технический контроль производства. Технологией принято также называть описание производственных процессов, инструкции по их выполнению, технологические правила, требования, карты, графики и др.»7.
Согласно ТП технология – это тиражируемая, в определённой степени формализованная, логически связная совокупность действий (методов), приводящая к решению задачи, с использованием средств реализации этих действий (методов).
Такое толкование обеспечивает однозначность на высшем уровне обобщения, допуская множественные частные варианты, указанные в известных определениях. При этом оно указывает на необходимость разделения понятий «технология», «технологический процесс» (порядок использования, в частности, эксплуатации средств реализации технологии), «технологическая документация» (выполненные в соответствии со стандартами информационные материалы, обеспечивающие возможность воспроизведения, в частности, тиражирования рассматриваемой технологии и/или технологического процесса с достижением желаемого конечного результата), «дисциплина, изучающая технологические процессы».
Технология предполагает выполнение определённых действий. В этом случае используемые методы могут носить искусственный характер (см. [10]), хотя вполне допустимо и использование естественных методов (например, временна́я выдержка при сушке древесины в процессе изготовления музыкальных инструментов).
Детализацию процесса проектирования технологии целесообразно выполнять на основе общих методов решения задач. Поскольку проектирование связано с временны́ми, финансовыми, материальными и иными ограничениями, то предпочтение следует отдавать: 1) методам, известным из опыта, 2) непосредственным методам, 3) опосредованным методам [10].
В сложных проектах, характеризующихся множеством тесно связанных между собой и качественно различающихся признаков, на первое место выдвигается метод решения задачи по частям (декомпозиция задачи), что требует построения соответствующей онтологии. В этом случае открывается потенциальная возможность достижения симбиоза и синергии решений разных задач проекта. Условием синергии становится допустимость совместного использования одних и тех же действий (методов) в процессах проектирования, реализации проекта и его функционирования.
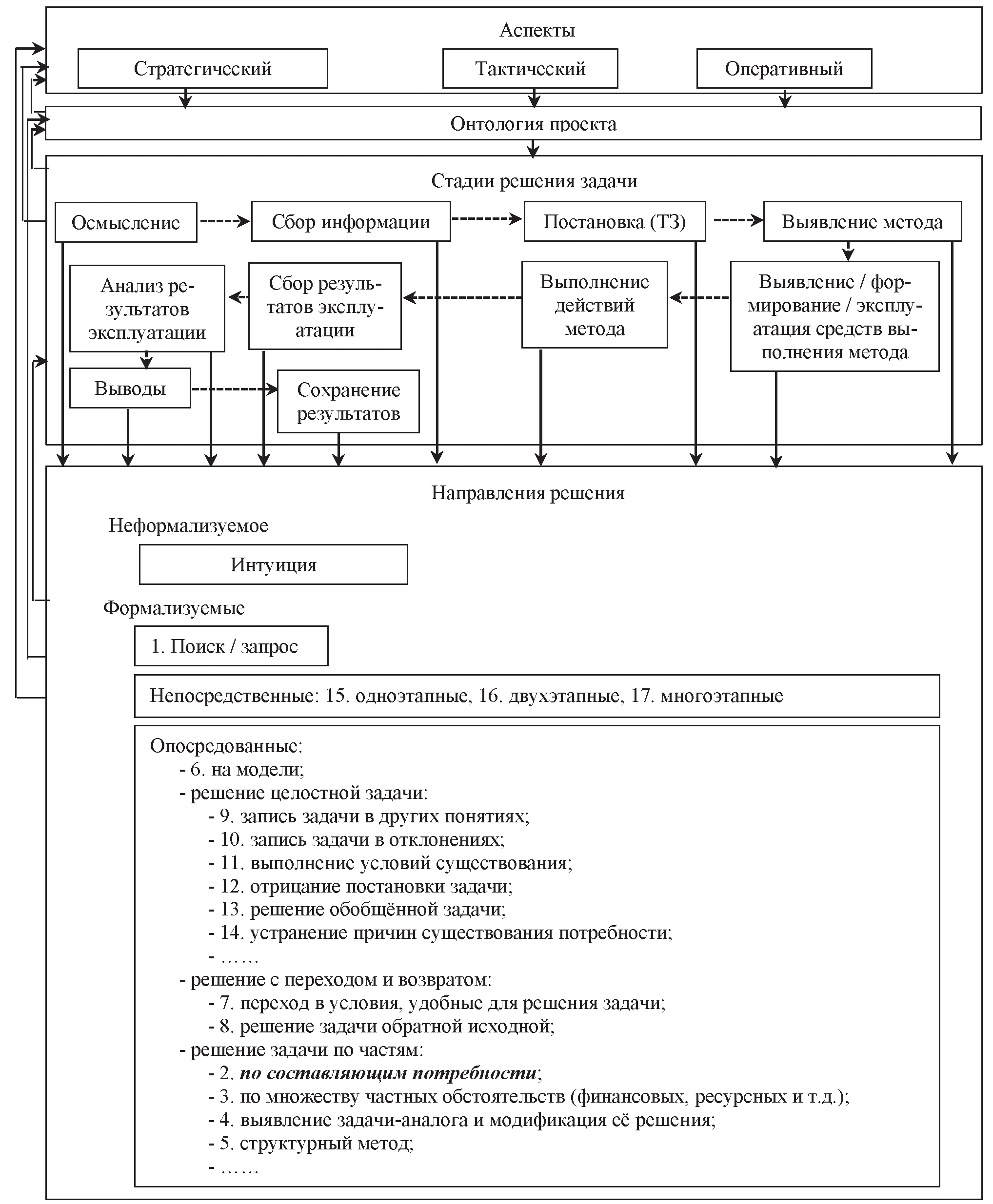
На рисунке 1 представлена предлагаемая структура технологии. Номера на этом рисунке указывают рекомендуемый порядок рассмотрения задач и методов, в основу которого положено убывание значимости области рассмотрения, а также возрастание временны́х и иных затрат ресурсов на выработку и использование методов. ТЗ соответствует постановке задачи, отвечающей проекту. Рисунок 1 отражает технологию синтеза на основе комбинирования базовых методов, но рекомендуемое ранжирование имеет значение в процессе выбора комбинируемых составляющих. Схема на рисунке 1 допускает, в случае необходимости, многократные, в т.ч. и рекурсивные возвращения к пройденным стадиям.
Рисунок 1 - Рекомендуемый порядок формирования технологии решения задачи
Важным представляется учёт морально-нравственной стороны потребности, вызывающей к жизни проект: нацеленность его на поддержание и усиление гармонии (в смысле, указанном в [17]: баланс между возникновением, существованием и исчезновением единичных во Всеобщем) или, напротив, на её ослабление и разрушение. По мере перехода от оперативной к тактической и, далее, к стратегической сторонам проекта морально-нравственная сторона становится всё более существенной. При этом следует отдать предпочтение нацеленности на поддержание и усиление гармонии.
Процедура проектирования соответствует технологии ТП, образованной следующими стадиями:
- однозначная формулировка и анализ используемых понятий и их связей;
- родовое обобщение путём исключения менее существенных признаков и/или разделение на связанные составляющие, а также анализ каждой из них; при необходимости переход к стадии 1;
- формирование онтологической схемы понятий, их связей и способов комбинирования; определение открывающихся возможностей, начиная с высшего уровня обобщения, на котором число рассматриваемых признаков минимально; фиксация позиций понятий и связей в целостном построении;
- многократный дедуктивный переход к разновидностям понятий и фиксация отмечаемых видовых признаков, уточнение формулировок рассматриваемых разновидностей; расширение онтологической схемы; процедура дедуктивного перехода может заканчиваться как на уровне исходных формулировок, так и продолжаться далее;
- определение возможностей синтеза на выделенном уровне рассмотрения, возникающих ограничений на связи отдельных признаков и их фиксация; при необходимости переход к стадии 4 или к стадии 1.
Только творческий подход позволяет предварительно оценить с позиций гармонии последствия реализации проекта и, учитывая ответственность за последствия, выработать сбалансированное решение.
Отсюда, процесс проектирования, равно как и реализация проекта, качественно реализуем только в рамках симбиоза и/или синергии как формализуемых, так и неформализуемых построений на основе интуиции.
3. Понятийный анализ сложных многоаспектных систем
Сложные многоаспектные системы получили название «крупномасштабные системы» (КС)8, где масштаб в основном определяется значительным территориальным разбросом компонент системы и её общественной значимостью. Специфика КС состоит в наложении друг на друга множественных аспектов. Это позволяет использовать КС для иллюстрации рассматриваемой в данной статье технологии [18].
КС определяют, как «класс сложных (больших) систем, характеризующихся комплексным (межотраслевым, межрегиональным) взаимодействием элементов, распределённых на значительной территории, требующих для развития существенных затрат ресурсов и времени». Выполняя в соответствии с ТП процедуру обобщения путём поэтапного отсечения в приведённом определении менее значимых признаков, можно прийти к родовым признакам высшего уровня обобщения. Искусственная система – «совокупность элементов, находящихся в отношениях и связях друг с другом, которая образует определённую целостность, единство»9. При этом выявляются задачи, актуальные для любых искусственно образованных единичных, а именно: создания; обеспечения их существования в требуемом режиме функционирования; ликвидации в случае необходимости в рамках ограничений (априори заданных и, возможно, впоследствии корректируемых) на сроки создания, существования и ликвидации, а также определение затрат, необходимых для решения этих задач, и выделения соответствующих средств.
Место понятия «система» определяется последовательностью: Всеобщее → единичное → множество единичных → связь (взаимосвязь) единичных → целостная совокупность связанных (взаимосвязанных) единичных. Остальные признаки можно рассматривать, как результат конкретизации, применяемой к понятию «система». Так, в приведённом определении КС размер указывается в качестве уточнения понятия сложности, равно, как и комплексность, межрегиональность и межотраслевой характер. В определении также указываются ограничения на затраты, производимые исключительно в целях развития КС, но упускаются процессы создания, обеспечения функционирования и ликвидации системы.
Признаки, указанные в определении в качестве конкретизирующих, могут выступать в качестве самодостаточных понятий (например, сложность). В этом случае логичней было бы говорить не о конкретизации, а о комбинировании понятий.
Анализ, выполненный с позиций ТП, позволил выявить перечень признаков КС, который включает следующие обозримые, конкретизирующие, независимые или находящиеся в иерархическом подчинении и конъюнктивных (соединительных) отношениях признаки:
- многоаспектность целей и, следовательно, их множественность со своими внутренними связями;
- сложность («свойство системы или компонента, имеющих устройство, исполнение или поведение, трудные для понимания или верификации со стороны субъекта»10; следование ТП приводит к трактовке сложности, как наличию в описании объекта множества независимых характеристик);
- значительный размер системы (наличие огромного числа элементов и связей);
- динамическое и статическое взаимодействие элементов (существенное взаимное влияние элементов друг на друга или их полное слияние);
- комплексность (полнота, системность рассмотрения11);
- многообразие продолжительностей жизненных путей, относящихся как к системе, так и к её элементам и связям (здесь под жизненным путём понимается последовательность этапов: появление определённого единичного, развитие, существование, деградация или модернизация, исчезновение);
- межотраслевой характер (отнесение характеристики элементов к разным отраслям деятельности);
- разбросанность элементов системы на значительной территории, и, как частный случай разбросанности, их межрегиональный характер (особенности элементов отражают специфику разных регионов и развитых в них видов деятельности);
- существенные финансовые, материальные и людские ресурсы, требуемые для создания, функционирования и ликвидации КС;
- существенные затраты времени на создание и обеспечение функционирования КС (при этом размеры выделяемых затрат ограничены ресурсами, выделенными на нужды КС, имеющимися возможностями и целесообразностью их выделения, исходя из имеющейся потребности);
- многообразие внутренних и внешних факторов (случайных, устанавливающих степень неопределённости в системе, и регулярных), препятствующих желаемому функционированию процессов создания и обеспечения существования системы.
Упоминание деятельности в перечне признаков отражает активное участие человека, как элемента или элементов КС.
Приведённая совокупность признаков, рассматриваемая в неразрывной целостности, позволяет определить понятие КС, как единство множества задач, отвечающих перечисленным признакам и связанных общей потребностью. Полнота перечня признаков в соединении с полнотой этапов жизненного пути является основанием для выявления связанных между собой задач, решение которых обеспечивает создание КС, обладающей требуемой функциональностью при заданных ограничениях, её существование и ликвидацию. Управление при этом рассматривается как один из возможных путей решения упомянутых задач (здесь управление - это искусственный метод решения задачи, существенно использующий воздействия на объект и/или на среду). Приведённое определение управления отличается от определений, встречающихся в литературе, например, в [19].
Таким образом, КС – класс сложных систем, распределённых на значительной территории, характеризующихся необходимостью комплексного учёта многоаспектности, тесного взаимодействия элементов и многообразия продолжительности их жизненных путей, трансотраслевого и трансрегионального характера создания и существования системы, необходимости выделения на нужды системы значительных (в т.ч. финансовых и временных) ресурсов, а также способностью систем этого класса отвечать своему предназначению в условиях влияния многообразных мешающих факторов.
Потребность, вызывающая к жизни КС, носит стратегический, долговременный характер, хотя имеет тактические и оперативные аспекты. Это приводит к необходимости рассмотрения на всех этапах жизненного пути КС соответствующей иерархии. Условия, в которых возникает стратегическая потребность, стационарны или допускают вариации, не приводящие к исчезновению потребности или блокированию целесообразности её реализации. Относительно тактических потребностей вполне допустимы и их более значительные вариации, которые, приводя к определённым потерям, находятся в рамках допустимых значений. Условия возникновения и удовлетворения оперативных потребностей могут различаться существенно и удовлетворяться, не требуя слишком значительных затрат.
Следствием сказанного является особая значимость фактора ответственности за принимаемые решения. Отсюда обязательное наличие человека в качестве элемента КС на стратегическом и тактическом уровнях. Такое наличие не является обязательным при условии полной формализации процессов в соответствующей подсистеме КС. Использование человеческого ресурса допускает как жёсткую организационную иерархию, так и коллективные методы выработки и принятия решений [20].
Для создания и функционирования КС требуются стратегическое, тактическое и оперативное распределение и перераспределение выделяемых ресурсов, корректировка сроков решения задач для повышения эффективности использования результатов решения.
Перечисленные особенности могут быть использованы для синтеза и обеспечения функционирования любых многоаспектных систем.
Заключение
Рассмотрена возможность осуществления на основе ТП познавательной процедуры выявления места онтологии проектирования и связанных с ней элементов в научной картине мира. Представленный переход от понятийного анализа к выявлению основ технологии, требуемой для выполнения проекта, позволяет разделить роли творческих (неформализуемых) и формализуемых стадий и указать возникающие при этом связи.
Проектирование представляет собой симбиоз и синергию творчества и формализации с учётом стратегических, тактических и оперативных целей, для достижения которых предназначен проект. ОП позволяет формализовать организацию соответствующих процессов.
1 Всеобщее – закон существования, изменения и развития особенных и единичных явлений в их связи, взаимодействии и единстве. https://dic.academic.ru/dic.nsf/enc_philosophy/1990/ВСЕОБЩЕЕ).
2 Здесь под построением понимается система мыслей, рассуждений. https://dic.academic.ru/dic.nsf/dmitriev/3984/построение.
3 Философия. Энциклопедический словарь. Под ред. А.А. Ивина. М.: Гардарики. 2004. http://philosophy.niv.ru/doc/dictionary/encyclopedic/articles/910/ontologiya.htm.
4 Творчество - деятельность, порождающая нечто качественно новое и отличающееся неповторимостью, оригинальностью и общественно-исторической уникальностью [13, с.1185]. С позиций ТП [9] понятию «творчество» отвечает выход деятельности активного мыслящего единичного за пределы действий, априори регламентированных для этого единичного.
5 Отношение между творчеством и его формализованной реализацией точно выражено А.С. Пушкиным в его стихотворении «Разговор книгопродавца с поэтом»: «Не продаётся (т.е. не формализуется) вдохновенье, но можно рукопись (результат) продать».
6 Новая философская энциклопедия: В 4-х томах. Под ред. В.С. Стёпина. М.: Мысль. 2001. https://dic.academic.ru/dic.nsf/enc_philosophy/9217/ТЕХНОЛОГИЯ.
7 Большая советская энциклопедия. Технология. https://gufo.me/dict/bse/Технология.
8 Лаборатория крупномасштабных систем ИПУ РАН. https://www.ipu.ru/node/11906.
9 Философская энциклопедия. Система. https://dic.academic.ru/dic.nsf/enc_philosophy/3310/СИСТЕМА.
10 ГОСТ Р МЭК 61513-2011. Атомные станции. Системы контроля и управления, важные для безопасности. Общие требования. https://docs.cntd.ru/document/1200089290.
11 Энциклопедический словарь экономики и права. Комплексность. https://dic.academic.ru/dic.nsf/dic_economic_law/6384/КОМПЛЕКСНОСТЬ.
About the authors
Alexander M. Fayans
Institute of Control Sciences Academician VA Trapeznikov
Author for correspondence.
Email: alfayans@mail.ru
Scopus Author ID: 57006695900
Russian Federation, Moscow
References
- st World Congress of Trandisciplinarity // Convento da Arrábida. Portugal. November 2-6. 1994https://web.archive.org/web/20041205093617/http://perso.club-internet.fr/nicol/ciret/english/charten.htm.
- Knyazeva EN. Transdisciplinary research strategies. [In Russian] Bulletin of the Tomsk State Pedagogical Insti-tute (TSPI). 2011; 10(112): 193-201.
- Borgest NM. The scientific basis of the ontology of designing [In Russian]. Ontology of designing. 2013; 1(7): 7-25.
- Borgest NM. Key terms of ontology of designing: overview, analysis, generalizations [In Russian]. Ontology of designing. 2013; 3(9): 9-31.
- Borgest NM. Boundaries of the ontology of designing [In Russian]. Ontology of designing. 2017; 7(1): 7-33. doi: 10.18287/2223-9537-2017-7-1-7-33.
- Borgest NM. The ontologies of designing from Vitruvia to Vittikh [In Russian]. Ontology of designing. 2018; 8(4): 487-522. doi: 10.18287/2223-9537-2018-8-4-487-522.
- Borgest NM. Ontology of designing a scientific direction: formation, development, examples [In Russian]. Ontol-ogy of designing. 2022; 12(2): 136-157. doi: 10.18287/2223-9537-2022-12-2-136-157.
- Borgest NM. Design Ontology: Genesis and Development. Pattern Recognit. Image Anal. 34, 434–439 (2024). doi: 10.1134/S1054661824700172.
- Fayans AM, Kneller VU. On the ontology of task types and methods of their solution [In Russian]. Ontology of designing. 2020;10(3): 273-295. doi: 10.18287/2223-9537-2020-10-3-273-295.
- Fayans AM. A look at the formalization of the meaning from the standpoint of a transdisciplinary approach. [In Russian]. Ontology of designing. 2021; 11(3): 294-308. doi: 10.18287/2223-9537-2021-11-3-294-308.
- Baclawski K, Bennett M, Berg-Cross G, Dickerson L, Schneider T, Seppälä S, Sharma R, Sriram RD, Westerinen A. Ontology Summit 2021 Communiqué: Ontology generation and harmonization', Applied Ontology, 2022; 17(2): 233-248. doi: 10.3233/AO-220266.
- GOST R 59277-2020. Artificial intelligence systems. Classification of artificial intelligence systems [In Russian]. Date of introduction 01-03-2021. Moscow: Standartinform 2021. 16 с. https://docs.cntd.ru/document/1200177292.
- Large encyclopedic dictionary. Edited by A.M. Prokhorov AM [In Russian]. Moscow: LED. S-P.: Norint. 1997/ https://gufo.me/dict/bse/Технология.
- Novikov AM, Novikov DA, Methodology. Ed. 2nd edition. [In Russian] Moscow: Krasand. 2014. 632 p.
- GOST R 54869-2011 Project management requirements [In Russian]. https://www.isopm.ru/download/gost-54869.pdf.
- Norbekov MS. The intuition of a fool [In Russian] Moscow: AST. 2016.
- Fayans АМ. Building an ontology of fundamental concepts based on a transdisciplinary approach [In Russian] Ontology of designing. 2022; 12(4): 454-469. doi: 10.18287/2223-9537-2022-12-4-454-469.
- Fayans АМ. A Look at The Metrology of Synthesis of Large-Scale Systems and Their Control from the Position of a Transdisciplinary Approach. Proceedings of the 16th International Conference Management of Large-Scale System Development (MLSD). IEEE, 2023. Р. 1-5. https://ieeexplore.ieee.org/document/10303996.
- Novikov DA. Methodology of control [In Russian] Moscow: Librocom, 2011. 128 p.
- Vittikh VA. Selected works on euergetics [In Russian] Samara: New technique, 2022. 419 p.
Supplementary files


