The excitation equations for longitudinally and azimuthally irregular waveguides taking into account the finite wall conductivity
- Authors: Kravchenko V.F.1,2, Kurayev A.A.3, Matveyenka V.V.3
-
Affiliations:
- Kotelnikov Institute of Radioengineering and Electronics of the Russian Academy of Science
- Bauman Moscow State Technical University
- Belarusian State University of Informatics and Radioelectronics
- Issue: Vol 13, No 3 (2024)
- Pages: 22-29
- Section: МАТЕМАТИЧЕСКОЕ МОДЕЛИРОВАНИЕ ФИЗИЧЕСКИХ ПРОЦЕССОВ
- URL: https://medbiosci.ru/2225-4293/article/view/294146
- DOI: https://doi.org/10.25210/jfop‑2403-TEGGJT
- EDN: https://elibrary.ru/TEGGJT
- ID: 294146
Cite item
Full Text
Abstract
Excitation equations for longitudinal-azimuthally irregular waveguides are formulated taking into account losses in the walls. The inner surface of the waveguide walls is given by an arbitrary smooth function b(φ, z). The coordinate transformation method replaces the original cylindrical coordinate system (r, φ, z) with a new one (ρ, φ, z), where ρ=r/b(φ, z). The new system defines the waveguide boundary as ρ=1=const, i. e. the waveguide geometry transforms as a regular cylinder. Taking these functions into account, the standard procedure of the incomplete Galerkin’s method is used to determine the amplitudes of partial waves. The resulting general equations can be used in the calculation and optimization of both microwave and EHF electronic devices of various types, as well as passive microwave devices of various applications.
Full Text
Введение
Теория возбуждения и распространения волн в произвольно нерегулярных прямолинейных волноводах (продольно-азимутально нерегулярных волноводах) является основой моделирования и оптимизации как пассивных устройств СВЧ [1–9], так и электронных приборов СВЧ и КВЧ: релятивистских ЛОВ-ЛБВ [3, 10], гиротронов, гиро-ЛБВ [11, 12]. Однако в настоящее время развита теория возбуждения лишь продольно-нерегулярных волноводов [13–17]. Отсутствие в теории возбуждения продольно-азимутально нерегулярных волноводов электронными потоками сдерживает моделирование и, соответственно, разработку высокоорбитных гирорезонансных приборов миллиметрового диапазона, приборов О-типа и Е-типа (приборы с электростатической фокусировкой, как в гелитроне), где для повышения селекции мод требуется использование ребристых, в том числе продольно-азимутально нерегулярных волноводных систем. В статье обобщена теория, изложенная в [14–17], для случая, когда внутренняя граница волновода . Ниже приводятся примеры комплектаций нерегулярных волноводных систем.
1. Постановка задачи
Рассмотрим продольно-азимутально нерегулярный волновод, его внутренняя граница задается произвольной кусочно-гладкой функцией (рис. 1). Преобразуем исходную цилиндрическую систему координат в новую , где . При переходе от исходной системы координат к неортогональной радиус-вектор внутренней точки может быть задан как В векторной форме уравнения Максвелла в неортогональной системе координат имеют вид
; (1)
. (2)
Рис. 1. Примеры продольно-азимутально нерегулярных волноводов, где их внутренняя граница задается кусочно-гладкой функцией.
Физические компоненты вектора могут быть записаны следующим образом:
(3)
Компоненты векторов записываются аналогично В соответствии с (3) плотности токов и в уравнениях (1) и (2) должны выражаться через физические компоненты.
Представим это на примере
(4)
В системе координат внутренняя граница продольно-азимутально нерегулярного волновода преобразуется в регулярный цилиндр с внутренней границей . Таким образом, граничные условия для уравнений (1), (2) в системе координат в случае конечной проводимости стенок приобретают простейший вид
, (5)
где ; — волновое сопротивление стенки волновода, ; , — магнитная проницаемость и удельная проводимость; f — рабочая частота; — метрический тензор, компоненты которого имеют вид:
2. Вывод уравнений возбуждения продольно-азимутально нерегулярного волновода электронными потоками
Представим решение уравнений (1)–(3) в виде
(6)
Для (6) использована следующая система базисных функций:
(7)
где — функции Бесселя 1-го рода n-го порядка; ; .Для проекций используем комплексно-сопряженную систему базисных функций:
(8)
Комплексные амплитуды находим из модифицированных уравнений проекций, приведенных в [16, 17], с учетом разницы граничных условий (5) и условий для базисных функций
.
Уравнения комплексных амплитуд имеют вид
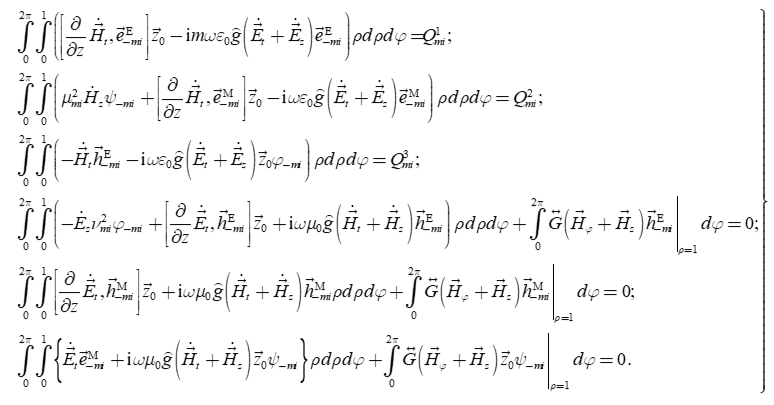
Подставляя в (9) решения (6) и (8), а также используя закон сохранения заряда в интегралах возбуждения справа , получаем уравнения возбуждения:
где k — номер крупной частицы; , , — соответственно , , в исходной системе координат r, , z; с — скорость света в вакууме; I0 — ток пучка.
Заключение
Общая теория возбуждения продольно-азимутально нерегулярных волноводов, развитая в статье, позволяет проводить моделирование и оптимизацию ряда СВЧ и КВЧ устройств: электронных приборов, фильтров и антенных устройств, что существенным образом дополняет возможности их машинного моделирования.
Полученные уравнения возбуждения вместе со стандартными граничными условиями на регулярных концах волновода [3, 16, 17] решают поставленную задачу. В приведенных уравнениях впервые корректно выражены интегралы возбуждения.
About the authors
V. F. Kravchenko
Kotelnikov Institute of Radioengineering and Electronics of the Russian Academy of Science; Bauman Moscow State Technical University
Author for correspondence.
Email: kvf-ok@mail.ru
заслуженный деятель науки РФ, д. ф.- м. н., проф., гл. н. с., Институт радиотехники и электроники им. В. А. Котельникова РАН, проф. кафедры высшей математики ФН-1 МГТУ им. Н. Э. Баумана
Russian Federation, Moscow; MoscowA. A. Kurayev
Belarusian State University of Informatics and Radioelectronics
Email: kurayev@bsuir.by
д. ф.-м.н., проф., Белорусский государственный университет информатики и радиоэлектроники
Belarus, MinskV. V. Matveyenka
Belarusian State University of Informatics and Radioelectronics
Email: kvf-ok@mail.ru
к. ф.-м.н., доц.
Belarus, MinskReferences
- Никольский В.В., Никольская Т.И. Электродинамика и распространение радиоволн. М.: Наука, 1989. 460 с.
- Вольман В.И., Пименов Ю.В. Техническая электродинамика. М.: Связь, 1971. 486 с.
- Кураев А.А., Попкова Т.Л., Синицын А.К. Электродинамика и распространение радиоволн. Минск: Бестпринт, 2004. 357 с.
- Альтман Дж. Устройства СВЧ. М.: Мир, 1968. 487 с.
- Тараненко З.И., Трохименко Я.К. Замедляющие системы. Киев: Киев. политех. ин-т, 1965. 308 с.
- Нефедов Е.И., Сивов А.Н. Электродинамика периодических структур. М.: Наука, 1977. 208 с.
- Илларионов Ю.А., Раевский С.Б., Сморгонский В.Я. Расчет гофрированных и частично заполненных волноводов. М.: Сов. радио, 1980. 200 с.
- Юрцев О.А., Рунов А.В., Казарин А.Н. Спиральные антенны. М.: Сов. Радио, 1974. 130 с.
- Юрцев О.А., Наумович Н.М. Антенны и техника сверхвысоких частот в БГУИР // Доклады БГУИР. 2014. № 2. С. 87–95.
- Зайцев Н.И., Ковалев Н.Ф., Кораблев Г.С., Кулагин И.С. Релятивистский карсинотрон с длиной волны 3 см и длительностью импульса 0.4 мкс // Письма в Журнал технической физики. 1981. Т. 7. № 14. С. 879-882.
- Кравченко В.Ф., Кураев А.А. Гирорезонансные приборы: принцип действия, нелинейная теория, достижения и перспективы // Зарубежная радиоэлектроника. Успехи современной радиоэлектроники. 2006. № 9. С. 13–60.
- Карцев В. П. Приключение великих уравнений. М.: Знание, 1971. 317 с.
- Ильинский А.С., Слепян Г.Я. Колебания и волны в электродинамических системах с потерями. М.: Изд-во Москов. госуд. ун-та, 1983. 232 с.
- Кураев А.А. Возбуждение произвольно нерегулярных волноводов с круглым сечением // Известия Академии наук БССР. Серия физико-технических наук. 1979. № 1. С. 121.
- Кураев А.А. Мощные приборы СВЧ. Методы анализа и оптимизации параметров. М.: Радио и связь, 1986. 208 с.
- Кураев А.А., Синицын А.К. Влияние конечной проводимости металлических стенок на характеристики мощных релятивистских приборов СВЧ с нерегулярными электродинамическими системами // Доклады БГУИР. 2006. № 3. С. 82–92.
- Кураев А.А., Матвеенко В.В. Мощные электронные приборы СВЧ и КВЧ со специальными видами взаимодействия. Минск: Бестпринт, 2022. 216 с.
Supplementary files





