МОЛЕКУЛЯРНО-ДИНАМИЧЕСКОЕ МОДЕЛИРОВАНИЕ ЭФФЕКТОВ СИЛЬНОГО ПОЛЯ В ПОДВИЖНОСТИ ПРОТОНИРОВАННЫХ ПОЛИЭТИЛЕНОКСИДОВ В ГАЗЕ
- Авторы: Дубровский С.А.1, Балабаев Н.К.2
-
Учреждения:
- Федеральный исследовательский центр химической физики им. Н.Н. Семенова Российской академии наук
- Институт математических проблем биологии – филиал Института прикладной математики им. М.В. Келдыша Российской академии наук
- Выпуск: Том 65, № 2 (2023)
- Страницы: 138-149
- Раздел: ТЕОРИЯ И МОДЕЛИРОВАНИЕ
- URL: https://medbiosci.ru/2308-1120/article/view/135343
- DOI: https://doi.org/10.31857/S2308112023700414
- EDN: https://elibrary.ru/ZFSNKG
- ID: 135343
Цитировать
Полный текст
Аннотация
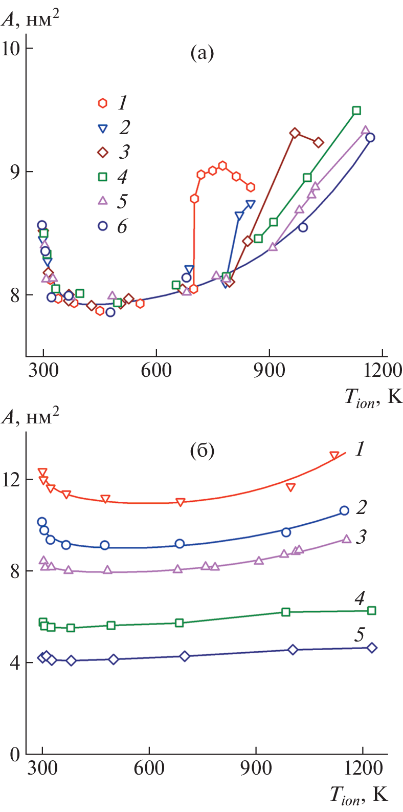
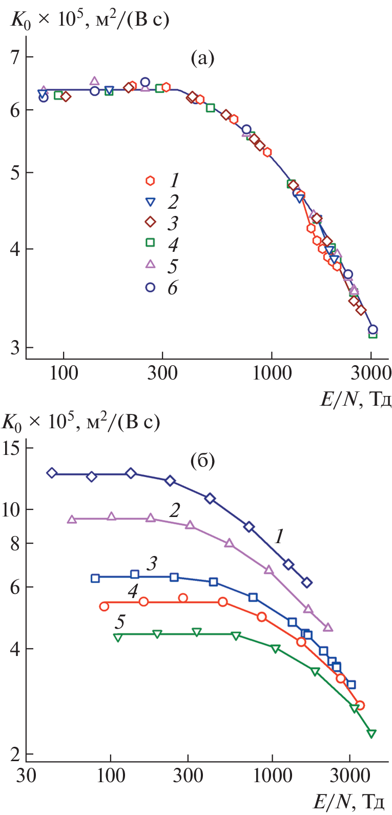
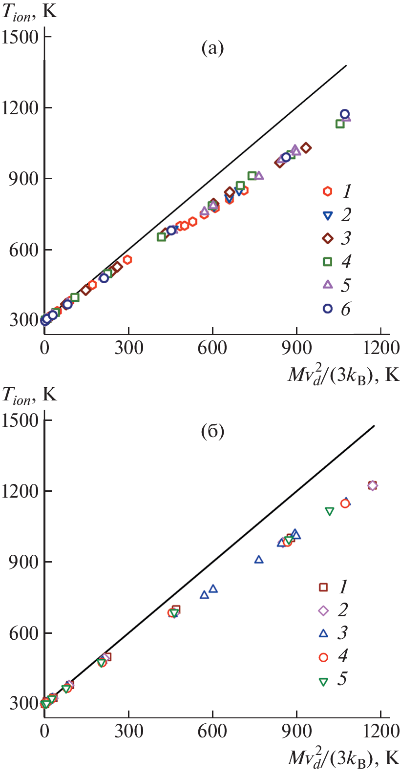
Методом молекулярной динамики исследован дрейф однократно протонированных цепей полиэтиленоксида в гелии в сильных электростатических полях. Проанализировано поведение температуры, подвижности и размера этих ионов при разном давлении газа и различной длине полимерной цепи. Внутренняя температура иона повышается с увеличением напряженности поля в соответствии с ростом кинетической энергии случайного движения, получаемой ионом от поля, что влияет на подвижность иона напрямую и через изменение сечения столкновения, связанное с разворачиванием полимерной цепи. При низком давлении газа (от 384 до 1538 мм рт. ст.) приведенная подвижность определяется отношением напряженности поля E к плотности газа N и не зависит от давления газа. При более высоком давлении газа она зависит от давления газа при большом E/N. Это связано с тем, что в таких условиях газовый поток создает значительное натяжение в полимерной цепи, что увеличивает размер цепи и сечение столкновения. В сильных полях ион перестает свободно вращаться, так как поле стремится ориентировать дипольный момент иона вдоль поля. Ориентация уменьшает сечение столкновения и частично компенсирует изменения сечения столкновения и подвижности иона, вызванные разворачиванием полимерной цепи.
Об авторах
С. А. Дубровский
Федеральный исследовательский центр химической физики им. Н.Н. Семенова Российской академии наук
Email: sd@chph.ras.ru
Россия, 119991, Москва, ул. Косыгина, 4
Н. К. Балабаев
Институт математических проблем биологии – филиал Института прикладной математики им. М.В. Келдыша Российской академии наук
Автор, ответственный за переписку.
Email: sd@chph.ras.ru
Россия, 142290, Московской обл., Пущино
Список литературы
- Eiceman G.A., Karpas Z., Hill H.H. Ion Mobility Spectrometry. CRC Press, Boca Raton, Florida, 2014.
- Lanucara F., Holman S.W., Gray C.J., Eyers C.E. // Nature Chem. 2014. V. 6. P. 281.
- Duez Q., Hoyas S., Josse T., Cornil J., Gerbaux P., De Winter J. // Mass Spectrom. Rev. 2021. e21745.
- Karas M., Bachmann D., Bahr U., Hillenkamp F. // Int. J. Mass Spectrom. Ion Processes. 1987. V. 78. P. 53.
- Hillenkamp F., Peter-Katalinic J. MALDI MS: A Practical Guide to Instrumentation, Methods and Applications. Wiley-VCH, Weinheim, 2007.
- Fenn B., Mann M., Meng C.K., Wong S.F., Whitehouse C.M. // Science. 1989. V. 246. P. 64.
- Mason E.A., McDaniel E.W. Transport Properties of Ions in Gases. Wiley, New York, 1988.
- Shvartsburg A.A. Differential Ion Mobility Spectrometry. CRC Press, Boca Raton, Florida, 2009.
- Prell J.S. // Compr. Anal. Chem. 2019. V. 83. P. 1.
- Siems W.F., Viehland L.A., Hill H.H. // Analyst. 2016. V. 141. P. 6396.
- Larriba-Andaluz C., Prell J.S. // Int. Rev. Phys. Chem. 2020. V. 39. P. 569.
- Koutselos A.D. // J. Chem. Phys. 1995. V. 102. P. 7216.
- Baranowski R., Thachuk M. // J. Chem. Phys. 1999. V. 110. P. 11383.
- Chen X., Thachuk M. // J. Chem. Phys. 2006. V. 124. P. 174501.
- Lai R., Dodds E.D., Li H. // J. Chem. Phys. 2018. V. 148. P. 064109.
- Dubrovskii S.A., Balabaev N.K. // Polym. Sci., Ser. A. 2021. V. 63. P. 891.
- Dubrovskii S.A., Balabaev N.K. // Polym. Sci., Ser. A. 2022. V. 64. P. 549.
- Ieritano C., Featherstone J., Haack A., Guna M., Campbell J.L., Hopkins W.S. // J. Am. Soc. Mass Spectrom. 2020. V. 31. P. 582.
- Andrzejewski R., Entwistle A., Giles R., Shvartsburg A.A. // Anal. Chem. 2021. V. 93. P. 12049.
- Shvartsburg A.A., Bryskiewicz T., Purves R.W., Tang K., Guevremont R., Smith R.D. // J. Phys. Chem. B. 2006. V. 110. P. 21966.
- Shvartsburg A.A., Noskov S.Y., Purves R.W., Smith R.D. // Proc. Natl. Acad. Sci. 2009. V. 106. P. 6495.
- Pathak P., Shvartsburg A.A. // Anal. Chem. 2020. V. 92. P. 13855.
- Lemak A.S., Balabaev N.K. // Mol. Simul. 1995. V. 15. P. 223.
- Lemak A.S., Balabaev N.K. // J. Comput. Chem. 1996. V. 17. P. 1685.
- Hill J.R., Sauer J. // J. Phys. Chem. 1995. V. 99. P. 9536.
- Dubrovskii S.A., Balabaev N.K. // Polym. Sci., Ser. A. 2018. V. 60. P. 404.
- Viehland L.A., Mason E.A. // Ann. Phys. 1978. V. 110. P. 287.
- Chen Y.-L., Collings B.A., Douglas D.J. // J. Am. Soc. Mass Spectrom. 1997. V. 8. P. 681.
- Kogan M.N. Rarefied Gas Dynamics. Springer Science + Business Media, New York, 1969.
- Ashley H. // J. Aeronaut. Sci. 1949. V. 16. P. 95.
- Perkins T.T., Smith D.E., Larson R.G., Chu S. // Science. 1995. V. 268. P. 83.
- Marko J.F., Siggia E.D. // Macromolecules. 1995. V. 28. P. 8759.
- Johnsen R., Tosh R., Viehland L.A. // J. Chem. Phys. 1990. V. 92. P. 7264.
- Gidden J., Wyttenbach T., Jackson A.T., Scrivens J.H., Bowers M.T. // J. Am. Chem. Soc. 2000. V. 122. P. 4692.
- Bleiholder C., Johnson N.R., Contreras S., Wyttenbach T., Bowers M.T. // Anal. Chem. 2015. V. 87. P. 7196.
Дополнительные файлы








