СТРУКТУРНЫЕ ИЗМЕНЕНИЯ ПРИ ПОЛИМЕРИЗАЦИИ АКРИЛАМИДА В ПОЛУРАЗБАВЛЕННЫХ РАСТВОРАХ ЧЕРВЕОБРАЗНЫХ МИЦЕЛЛ ПОВЕРХНОСТНО-АКТИВНОГО ВЕЩЕСТВА
- Авторы: Оспенников А.С.1, Шибаев А.В.1, Куклин А.И.2,3, Филиппова О.Е.1
-
Учреждения:
- Московский государственный университет имени М.В. Ломоносова. Физический факультет
- Объединенный институт ядерных исследований
- Московский физико-технический институт
- Выпуск: Том 65, № 5 (2023)
- Страницы: 327-332
- Раздел: РАСТВОРЫ
- URL: https://medbiosci.ru/2308-1120/article/view/233616
- DOI: https://doi.org/10.31857/S2308112023600060
- EDN: https://elibrary.ru/DBWHGH
- ID: 233616
Цитировать
Полный текст
Аннотация
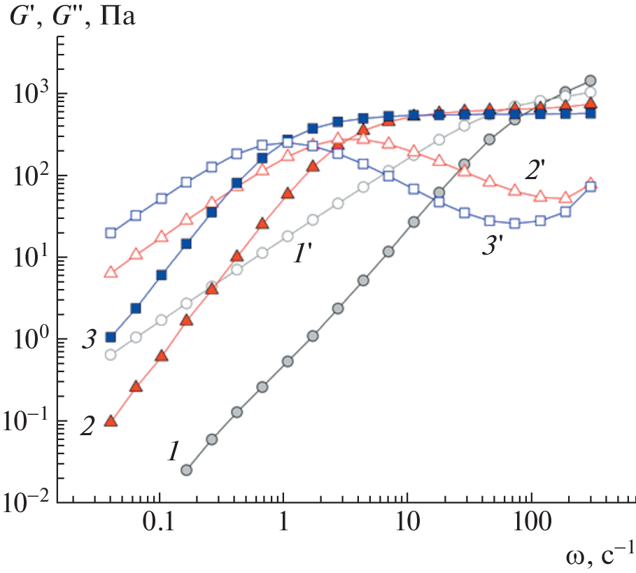
Исследованы структура и реологические свойства водных растворов анионного поверхностно-активного вещества олеата калия и водорастворимого мономера акриламида до и после проведения радикальной полимеризации. В отсутствие мономера и в присутствии низкомолекулярной соли олеат калия образует сетку из длинных переплетающихся цилиндрических (червеобразных) мицелл. Добавление мономера не приводит к изменению их цилиндрической формы и радиуса, однако способствует трансформации разветвленных мицелл в линейные. После проведения полимеризации структура агрегатов ПАВ значительно изменяется – согласно данным нейтронного рассеяния она становится биконтинуальной, а ее локальная геометрия – ламелярной. Сосуществование такой структуры с макромолекулами полиакриламида в полуразбавленном растворе приводит к значительному синергетическому увеличению вязкости и модуля упругости.
Об авторах
А. С. Оспенников
Московский государственный университет имени М.В. Ломоносова. Физический факультет
Email: shibaev@polly.phys.msu.ru
Россия, 119991, Москва, Ленинские горы, 1, стр. 2
А. В. Шибаев
Московский государственный университет имени М.В. Ломоносова. Физический факультет
Email: shibaev@polly.phys.msu.ru
Россия, 119991, Москва, Ленинские горы, 1, стр. 2
А. И. Куклин
Объединенный институт ядерных исследований; Московский физико-технический институт
Email: shibaev@polly.phys.msu.ru
Россия,
141980, Московская область, Дубна, ул. Жолио-Кюри, 13; Россия, 141701, Московская область, Долгопрудный, Институтский пер., 9
О. Е. Филиппова
Московский государственный университет имени М.В. Ломоносова. Физический факультет
Автор, ответственный за переписку.
Email: shibaev@polly.phys.msu.ru
Россия, 119991, Москва, Ленинские горы, 1, стр. 2
Список литературы
- Семчиков Ю.Д. Высокомолекулярные соединения. М.: Академия, 2008.
- Gur’eva L.L., Tkachuk A.I., Estrin Ya.i., Komarov B.A., Dzhavadyan E.A., Estrina G.A., Bogdanova L.M., Surkov N.F., Rozenberg B.A. // Polymer Science A. 2008. V. 50. № 3. P. 283.
- Kulichikhin S.G., Malkin A.Ya., Polushkina O.M., Kulichikhin V.G. // Polym. Eng. Sci. 1997. V. 37. № 8. P. 1331.
- Fischer E.J., Storti G., Cuccato D. // Processes. 2017. V. 5. № 2. P. 23.
- Jaeger W., Hahn M., Lieske A., Zimmermann A., Brand F. // Macromol. Symp. 1996. V. 111. № 1. P. 95.
- Evans F.D., Wennerström H. The Colloidal Domain: Where Physics, Chemistry, Biology, and Technology Meet. New York: Wiley-VCH, 1999.
- Hill A., Candau F., Selb J. // Macromolecules. 1993. V. 26. № 17. P. 4521.
- Candau F., Biggs S., Hill A., Selb J. // Prog. Org. Coat. 1994. V. 24. № 1–4. P. 11.
- Friend J.P., Alexander A.E. // J. Polym. Sci., Polym. Chem. 1968. V. 6. P. 1833.
- Niranjan P.S., Tiwari A.K., Upadhyay S.K. // J. Appl. Polym. Sci. 2011. V. 122. P. 981.
- Barthet C., Wilson J., Cadix A., Destarac M., Chassenieux C., Harrisson S. // J. Polym. Sci., Polym. Chem. 2018. V. 56. № 7. P. 760.
- Sabbadin J., François J. // Colloid Polym. Sci. 1980. V. 258. P. 1250.
- Dreiss C.A. // Soft Matter. 2007. V. 3. № 8. P. 956.
- Shibaev A.V., Osiptsov A.A., Philippova O.E. // Gels. 2021. V. 7. № 4. P. 258.
- Israelachvili J.N., Mitchell D.J., Ninham B.W. // J. Chem. Soc., Faraday Trans. 2. 1976. V. 72. P. 1525.
- Bergström L.M. // AIP Adv. 2018. V. 8. № 5. P. 055136.
- Can V., Kochovski Z., Reiter V., Severin N., Siebenburger M., Kent B., Just J., Rabe J.P., Ballauf M., Okay O. // Macromolecules. 2016. V. 49. № 6. P. 2281.
- Tuncaboylu D.C., Sari M., Oppermann W., Okay O. // Macromolecules. 2011. V. 44. № 12. P. 4997.
- Shibaev A.V., Ospennikov A.S., Kuznetsova E.K., Kuklin A.I., Aliev T.M., Novikov V.V., Philippova O.E. // Nanomaterials. 2022. V. 12. P. 4445.
- Shibaev A.V., Smirnova M.E., Kessel D.E., Bedin S.A., Razumovskaya I.V., Philippova O.E. // Nanomaterials. 2021. V. 11. P. 1271.
- Roland S., Miquelard-Garnier G., Shibaev A.V., Aleshina A.L., Chennevière A., Matsarskaia O., Sollogoub C., Philippova O.E., Iliopoulos I. // Polymers. 2021. V. 13. P. 4255.
- Shibaev A.V., Aleshina A.L., Arkharova N.A., Orekhov A.S., Kuklin A.I., Philippova O.E. // Nanomaterials. 2020. V. 10. № 12. P. 2353.
- Molchanov V.S., Philippova O.E. // Colloid J. 2009. V. 71. № 2. P. 239.
- Calabrese M.A., Wagner N.J. // ACS Macro Lett. 2018. V. 7. № 6. P. 614.
- Lequeux F. // Europhys. Lett. 1992. V. 19. P. 675.
- Ospennikov A.S., Gavrilov A.A., Artykulnyi O.P., Kuklin A.I., Novikov V.V., Shibaev A.V., Philippova O.E. // J. Colloid Interface Sci. 2021. V. 602. P. 590.
- Oelschlaeger C., Schopferer M., Scheffold F., Willenbacher N. // Langmuir. 2009. V. 25. № 2. P. 716.
- Grillo I. // Soft Matter Characterization / Ed. by R. Borsali, R. Pecora. Springer, 2008. P. 723.
- Li X., Lin Z., Cai J., Scriven L.E., Davis H.T. // J. Phys. Chem. 1995. V. 99. P. 10865.
- Shibaev A.V., Kuklin A.I., Torocheshnikov V.N., Ore-khov A.S., Roland S., Miquelard-Garnier G., Matsarskaia O., Iliopoulos I., Philippova O.E. // J. Colloid Interface Sci. 2022. V. 611. P. 46.
- Gamez-Corrales R., Berret J.-F., Walker L.M., Oberdisse J. // Langmuir. 1999. V. 15. P. 6755.
- Salentinig S., Sagalowicz L., Glatter O. // Langmuir. 2010. V. 26. № 14. P. 11670.
Дополнительные файлы







