Features of the Effect of Organochlorine Compounds on Polymerization of Olefins and Dienes in the Presence of Ziegler–Natta Catalysts
- Authors: Salakhov I.I.1, Kozlov V.G.2, Sosnovskaya L.B.1, Nifant’ev I.E.3, Ivchenko P.V.3
-
Affiliations:
- Nizhnekamsk Institute of Chemical Technology, Kazan National Research Technological University
- Institute of Volga Basin Ecology, Russian Academy of Sciences
- Topchiev Institute of Petrochemical Synthesis, Russian Academy of Sciences
- Issue: Vol 65, No 2 (2023)
- Pages: 83-107
- Section: ОБЗОРЫ
- URL: https://medbiosci.ru/2308-1139/article/view/135618
- DOI: https://doi.org/10.31857/S2308113923700419
- EDN: https://elibrary.ru/WZFSOL
- ID: 135618
Cite item
Full Text
Abstract
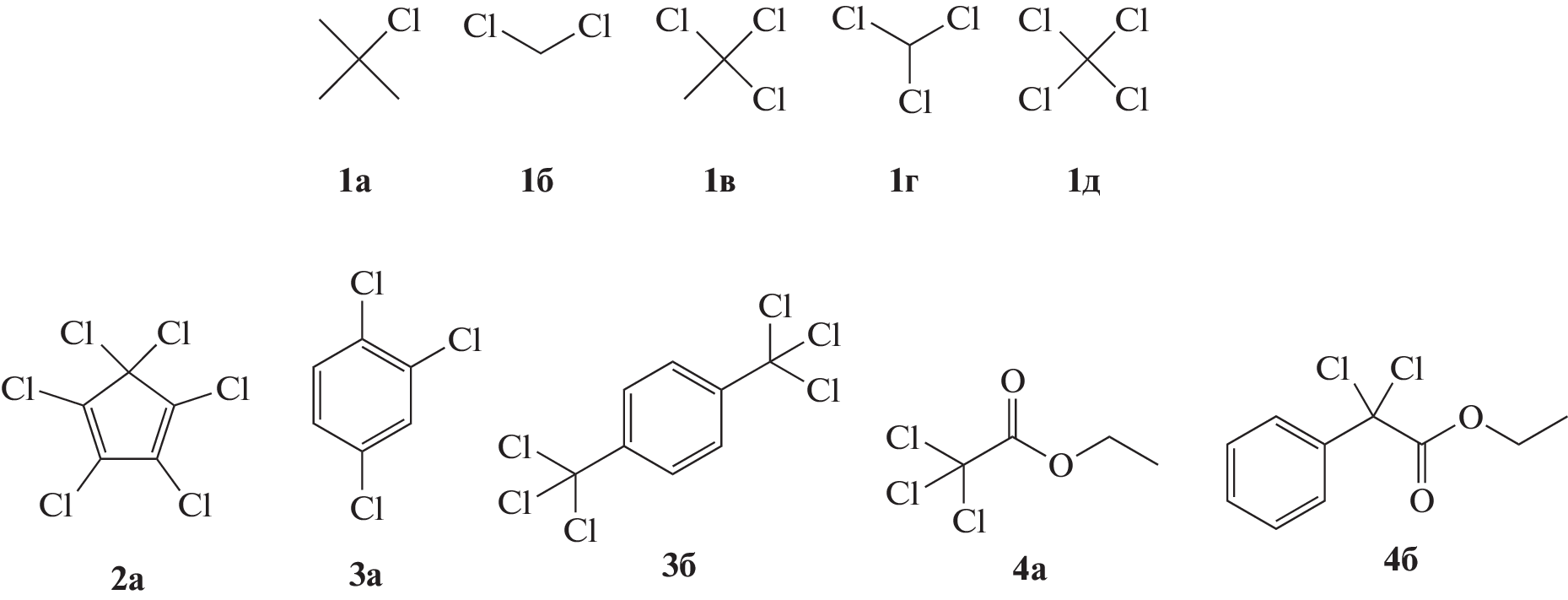
The publications of domestic and foreign researchers devoted to studies of Ziegler–Natta catalytic systems based on neodymium, vanadium, and titanium modified with organochlorine compounds and used in the synthesis of polyolefins and polydienes are scrutinized. The relevant patent literature has been explored, and the main development trends in the field of metal complex catalysis using organochlorine compounds have been analyzed. The advantages and disadvantages of such catalytic systems are considered in comparison with classical unmodified catalysts, in which alkylaluminum chlorides are used as a source of chlorine. The authors analyzed in detail published data on the role of the chlorine atom as a ligand in active sites for the polymerization of olefins and dienes. The role of mono- and polychlorinated organic compounds in neodymium, vanadium, and titanium–magnesium catalytic systems has been revealed and described
About the authors
I. I. Salakhov
Nizhnekamsk Institute of Chemical Technology, Kazan National Research Technological University
Email: i.i.salahov@gmail.com
423578, Nizhnekamsk, Russia
V. G. Kozlov
Institute of Volga Basin Ecology, Russian Academy of Sciences
Email: i.i.salahov@gmail.com
445003, Tolyatti, Samara oblast, Russia
L. B. Sosnovskaya
Nizhnekamsk Institute of Chemical Technology, Kazan National Research Technological University
Email: i.i.salahov@gmail.com
423578, Nizhnekamsk, Russia
I. E. Nifant’ev
Topchiev Institute of Petrochemical Synthesis, Russian Academy of Sciences
Email: i.i.salahov@gmail.com
19991, Moscow, Russia
P. V. Ivchenko
Topchiev Institute of Petrochemical Synthesis, Russian Academy of Sciences
Author for correspondence.
Email: i.i.salahov@gmail.com
19991, Moscow, Russia
References
- Sauter D.W., Taoufik M., Boisson C. // Polymers. 2017. V. 9. № 6. P. 185.
- Jubinville D., Esmizadeh E., Saikrishnan S., Tzoganakis C., Mekonnen T. // Sust. Mater. Technol. 2020. V. 25. P. e00188.
- Ricci G., Leone G. // Polyolefins J. 2014. V. 1. № 1. P. 43.
- Ricci G., Pampaloni G., Sommazzi A., Masi F. // Macromolecules. 2021. V. 54. № 13. P. 5879.
- Долгоплоск Б.А., Тинякова Е.И. // Высокомолек. соед. А. 1994. Т. 36. № 10. С. 1653.
- Ziegler Catalysts: Recent Scientific Innovations and Technological Improvements / Ed. by G. Fink, R. Mülhaupt, H. H. Brintzinger. NewYork: Springer, 1995.
- Ziegler K., Gellert H., Holzkamp E., Wilke G. // Brennstoffe. 1954. B. 35. S. 321.
- Ziegler K. // J. Petr. Refiner. 1955. V. 34. № 8. P. 111.
- Ziegler K., Holzkamp E., Breil H., Martin H. // Angew. Chem. 1955. B. 67. S. 426, 541.
- Natta G., Corradini P. // Rend. Accad. Naz. Lincei VIII. 1955. V. 19. № 5. P. 239.
- Natta G., Corradini P. // J. Polym. Sci. 1956. V. 20. P. 251.
- Natta G. // J. Polym. Sci. 1957. V. 26. P. 120.
- Natta G., Corradini P., Porri L. // Rend. Accad. Naz. Lincei VIII. 1956. V. 20. P. 728.
- Natta G. // Rubber Plastics Age. 1957. V. 38. P. 495.
- Natta G., Porri L., Mazzei A., Morero D. // Chim. e Ind. (Milan). 1959. V. 41. № 5. P. 398.
- Baier M.C., Zuideveld M.A., Mecking S. // Angew. Chem. Int. Ed. 2014. V. 53. № 37. P. 9722.
- Stürzel M., Mihan S., Mülhaupt R. // Chem. Rev. 2016. V. 116. № 3. P. 1398.
- Stalzer M.M., Delferro M., Marks T.J. // Catal. Lett. 2015. V. 145. P. 3.
- Mohite A.S., Rajpurkar Y.D., More A.P. // Polym. Bull. 2021. V. 79. P. 1309.
- Zanchin G., Leone G. // Progr. Polym. Sci. 2021. V. 113. P. 101342.
- Kumawat J., Gupta V.K. // Polym. Chem. 2020. V. 11. № 38. P. 6107.
- Монаков Ю.Б., Марина Н.Г., Сабиров З.М. // Высокомолек. соед. А. 1994. Т. 36. № 10. С. 1680.
- The Stereo Rubbers / Ed. by W. Saltman. New York: Wiley-Interscience, 1977.
- Taniike T., Terano M. // Adv. Polym. Sci. 2013. № 257. P. 81.
- Trischler H., Höchfurtner T., Ruff M., Paulik C. // Kinet. Catal. 2013. V. 54. № 5. P. 559.
- Salakhov I., Akhmetov I., Kozlov V. // Polymer Science B. 2011. V. 53. № 7–8. P. 385.
- Nifant’ev I.E., Salakhov I.I., Ivchenko P.V. // Molecules. 2022. V. 27. № 21. P. 7164.
- Yu G., Chen W., Wang Y. // Kexue Tongbao. 1983. V. 28. № 7. P. 408.
- Yu G., Chen W., Wang Y. // Kexue Tongbao. 1984. V. 29. № 3. P. 421.
- Qian H., Yu G., Chen W. // Gaofenzi Tongxun. 1984. № 3. P. 226.
- Chen W., Xiao S., Wang Y., Yu G. // Kexue Tongbao. 1984. V. 29. № 7. P. 892.
- Маркевич И.Н., Шараев О.К., Тинякова Е.И., Долгоплоск Б.А. // Докл. АН СССР. 1983. Т. 268. № 4. С. 892.
- Яковлев В.А., Воллерштейн Е.Л., Черезова Л.С., Тинякова Е.И., Долгоплоск Б.А. // Докл. АН СССР. 1983. Т. 268. № 6. С. 1422.
- Гайлюнас Г.А., Биктимиров Р.Х., Хайруллина Р.М., Марина Н.Г., Монаков Ю.Б., Толстиков Г.А. // Докл. АН СССР. 1987. Т. 295. № 6. С. 1385.
- Гайлюнас Г.А., Биктимиров Р.Х., Савельева И.Г. Химия и физикохимия высокомолекулярных соединений. Уфа: Ин-т химии Башкирского филиала АН СССР, 1987.
- Shen Z., Ouyang J., Wang F., Hu F., Yu F., Qian B. // Polym. Sci., Polym. Chem. Ed. 1980. V. 18. № 12. P. 3345.
- Shen Z., Ouyang J. // Handbook on the Physics and Chemistry of Rare Earth. / Ed. by K.A. Gschneidner, Jr., L. Eyring. Elsevier Sci. Publ. 1987. V. 9. P. 395.
- Yang J., Hu J., Feng S., Pan E., Xie D., Zhong C., Ouyang J. // Sci. Sin. 1980. V. 23. № 6. P. 734.
- Gallazzi M.C., Bianchi F., Depero L., Zocchi M. // Polymer. 1988. V. 29. № 8. P. 1516.
- Mazzei A. // Macromol. Chem. 1981. B. 182. № 4. S. 61.
- Ceausescu E., Dimonie M., Fieroiu V., Hubca G., Gruber V., Badea E., Vladulescu V., Verestoi A., Iovu H., Vasile I. // Rev. Roum. Chim. 1989. V. 34. № 1. P. 5.
- Санягин А.А., Кормер В.А. // Докл. АН СССР. 1985. Т. 283. № 5. С. 1209.
- Монаков Ю.Б., Толстиков Г.А. Каталитическая полимеризация 1,3-диенов. М.: Наука, 1990.
- Пат. 3794604 США // РЖХим. 1975. C279П.
- Throckmorton M.C. // Kautsch. Gummi Kunstst. 1969. B. 22. № 6. S. 293.
- Пат. 2011543 ФРГ // Chem. Abstrs. 1971. 13981y.
- Пат. 2399447 Франция // РЖХим. 1980. С379П.
- Пат. 2833721 ФРГ // Chem. Abstrs. 1979. 169316b.
- Quirk R.P., Kells A.M. // Polym. Int. 2000. V. 49. № 7. P. 751.
- Liao Y., Lin X., Zhang S. Пат. 85101899 Китай // Chem. Abstrs. 1986. V. 105. № 26. P. 227542.
- Yang C., Zheng Y., Wang F. // Hecheng Xiangjiao Gongue. 1987. V. 10. № 6. P. 409.
- Liao Y., Zhang S., Liu X. // Yingyong Huaxue. 1987. V. 4. № 1. P. 13.
- Liao Y., Zhang S., Liu X. // Yingyong Huaxue. 1988. V. 5. № 2. P. 34.
- Pan E., Zhong C., Xie D., Ouyang J. // Huaxue Xuebao. 1982. V. 40. № 4. P. 301.
- Friebe L., Nuyken O., Obrecht W. // Neodymium Based Ziegler Catalysts – Fundamental Chemistry / Ed. by O. Nuyken Munich: Springer, 2006.
- Friebe L., Nuyken O., Windisch H., Obrecht W. // Macromol. Chem. Phys. 2002. № 203. P. 1055.
- Witte J. // Angew. Makromol. Chem. 1981. № 94. P. 119.
- Friebe L., Windisch H., Nuyken O., Obrecht W. // Macromol. Sci., Pure Appl. Chem. 2004. 41. P. 245.
- Friebe L., Muller J.M., Nuyken O., Obrecht W. // J. Macromol. Sci., Pure Appl. Chem. 2006. 43. P. 11.
- Черненко Г.М., Яковлев В.А., Тинякова Е.И., Долгоплоск Б.А. // Высокомолек. соед. Б. 1989. Т. 31. № 8. С. 637.
- Dong W., Endo K., Masuda T. // Macromol. Chem. Phys. 2003. № 204. P. 104.
- Jenkins D.K. // Polymer. 1985. V. 26. № 1. P. 152.
- Пат. 2206577 Россия. 2001 // Б.И. 2003. С08F136/06.
- Zhang Q., Ni X., Shen Z. // Macromol. Sci., Pure Appl. Chem. 2004. № 41. P. 39.
- Zhang Q., Ni X., Shen Z. // Polym. Int. 2002. № 51. P. 208.
- Пат. 2268894 Россия 2004 // Б.И. 2006. С08F4/14.
- Ахметов И.Г., Махиянов Н.К., Салахов И.И., Хачатуров А.С. // Каучук и резина. 2007. № 5. С. 2.
- Knauf T., Braubach W. Pat. 1095952 Eur. 2001.
- Knauf T., Braubach W. // Chem. Abstr. 2001. V. 134. № 312297.
- Jang Y.C., Kwag K.H., Kim P.S. Pat. 2000032230 Korean. 2000.
- Jang Y.C., Kwag K.H., Kim P.S. // Chem. Abstrs. 2002. V. 136. № 341170.
- Sone T., Hattori I., Yamazaki D., Nonaka K. Eur. pat. 1099710 2001.
- Sone T., Hattori I., Yamazaki D., Nonaka K. // Chem. Abstrs. 2001. V. 134. № 354405.
- Ishino Y., Nakayama S., Mori Y., Hattori I. Pat. 6391990 USA. 2003.
- Ishino Y., Nakayama S., Mori Y., Hattori I. // Chem. Abstrs. 2000. V. 133. № 151837.
- Wilson D.J. // J. Polym. Sci. A. 1995. V. 33. P. 2505.
- Монаков Ю.Б., Биешев Я.Х., Берг А.А., Рафиков С.Р. // Докл. АН СССР. 1977. Т. 234. № 5. С. 1125.
- Рафиков С.Р., Монаков Ю.Б., Биешев Я.Х., Валитова И.Ф., Муринов Ю.И., Толстиков Г.А., Никитин Ю.И. // Докл. АН СССР. 1976. Т. 229. № 5. С. 1174.
- Shokri A., Talebi S., Salami-Kalajahi M. // Polym. Bull. 2020. V. 77. P. 5245.
- Wang F., Liu H., Zheng W., Guo J., Zhang C., Zhao L., Zhang H., Hu Y., Bai C., Zhang X. // Polymer. 2013. V. 54. P. 6716.
- Quirk R.P., Kells R.P., Yunlu K., Cuif J.P. // Polymer. 2000. № 41. P. 5903.
- Mello I.L., Coutinho F.M.B. // J. Appl. Polym. Sci. 2009. V. 112. P. 1496.
- Manuiko G.V., Salakhov I.I., Aminova G.A., Akhmetov I.G., Dyakonov G.S., Bronskaya V.V., Demidova E.V. // Theor. Found. Chem. Eng. 2010. V. 44. № 2. P. 139.
- Taube R. // Metallorganic Catalysts for Synthesis and Polymerization / Ed. by W. Kaminsky. Berlin; Heidelberg; New York: Spring-Verlag, 1999.
- Авдеева О.Г., Маркевич И.Н., Шараев О.К., Бондаренко Г.Н., Тинякова Е.И., Долгоплоск Б.А. // Докл. АН СССР. 1986. Т. 286. № 3. С. 641.
- Monakov Yu.B., Sabirov Z.M., Duvakina N.V., Glukhov E.A., Ponomareva O.A., Spirikhin L.V. // Polymer Science A. 2001. V. 43. № 2. P. 91.
- Монаков Ю.Б., Марина Н.Г., Сабиров З.М. // Высокомолек. соед. A. 1994. Т. 36. № 3. С. 378.
- Гольштейн С.Б., Яковлев В.А., Бондаренко Г.Н., Ямпольский Ю.П., Долгоплоск Б.А. // Докл. АН СССР. 1986. Т. 289. № 3. С. 657.
- Воллерштейн Е.Л., Глебова Н.Н., Гольштейн С.Б., Завадовская Э.Н., Шараев О.К., Яковлев В.А., Тинякова Е.И., Долгоплоск Б.А. // Докл. АН СССР. 1979. Т. 249. № 4. С. 860.
- Akhmetov I.G., Kozlov V.G., Salakhov I.I., Sakhabutdinov A.G., D’yakonov G.S. // Int. Polym. Sci. And Tech. 2010. V. 37.
- Салахов И.И. Дис. … канд. тех. наук. Казань: Казанский национальный исслед. технол. ун-т, 2009.
- De León R.D., Corral F.S., Enríquez-Medrano F.J., Ibarra G.B., Martínez P.L., Gámez F.H., López-González H.R., De Valle L.F.R. // Int. J. Polym. Sci. 2016. P. 1.
- Zolotarev V.L., Markov B.A., Yartseva T.A. // Int. Polym. Sci. Tech. 2013. V. 40. № 11. P. 17.
- Аксенов В.И., Галибеев С.С., Аширов Р.В., Тихомирова И.Н., Казаков Ю.М., Максимов Д.А., Каблов В.Ф. Координационная полимеризация бутадиена-1,3 на различных каталитических системах. Томск: Изд-во Томского политехн. ун-та, 2011.
- Hagen H., Boersma J., van Koten G. // Chem. Soc. Rev. 2002. V. 31. № 6. P. 357.
- Wu J.-Q., Li Y.-S. // Coord. Chem. Rev. 2011. V. 255. № 19–20. P. 2303.
- Redshaw C. // Dalton Trans. 2010. V. 39. № 24. P. 5595.
- Nomura K., Zhang S. // Chem. Rev. 2011. V. 111. № 3. P. 2342.
- Zambelli A., Sessa I., Grisi F., Fusco R., Accomazzi P. // Macromol. Rapid Commun. 2001. V. 22. № 5. P. 297.
- Soshnikov I.E., Semikolenova N.V., Shubin A.A., Bryliakov K.P., Zakharov V.A., Redshaw C., Talsi E.P. // Organometallics. 2009. V. 28. № 23. P. 6714.
- Bravaya N.M., Faingol’d E.E., Badamshina E.R., Sanginov E.A. // Polymer Science C. 2020. V. 62. № 1. P. 1.
- Чирков Н.М., Матковский П.Е., Дьячковский Ф.С. Полимеризация на комплексных металлорганических катализаторах. М.: Химия, 1976.
- Zhang H.X., Hu Y.M., Zhang C.Y., Lee D.H., Yoon K.B., Zhang X.Q. // Catal. Commun. 2016. V. 83. P. 39.
- Karol F.J., Kao S.C., Cann K.J. // Polym. Sci., Polym. Chem. 1993. V. 31. P. 2541.
- Adisson E., Deffieux A., Fontanille M., Bujadoux K. // J. Polym. Sci., Polym. Chem. 1994. V. 32. P. 1033.
- D’Agnillo L., Soares J.B.P., van Doremaele G.H.J. // Macromol. Mater. Eng. 2005. V. 290. P. 256.
- Reinking M.K., Bauer P.D., Seyler J.W. // J. Appl. Catal. A. 1999. V. 189. P. 23.
- van Duin M., van Doremaele G., van der Aar N. // Rubber World. 2018. 258. P. 20.
- Gumboldt A., Helberg J., Schleitzer G. // Makromol. Chem. 1967. V. 101. P. 229.
- Christman D.L. // J. Polym. Sci. A. 1972. V. 10. P. 471.
- Maric G.J., Mornet Ph.J. // Rev. Gen. Caoutch. Plast. 1971. V. 48. № 10. P. 1016.
- Zohuri G.H., Vakili M., Jamjah R., Ahmadjo S., Nekomanesh M. // Rubber Chem. Technol. 2005. V. 78. P. 682.
- Evens G., Pijpers E., Seevens R. Eur. pat. 0044119B1. 1985.
- van Doremaele G., Hazen J. NASCRE1, First North American Symposium on Chemical Reaction Engineering. Houston, USA. 2001.
- Evens G.G., Pijpers E.M.J., Seevens R.H.M. // Transition Metal Catalyzed Polymerizations / Ed. by R. Quirk. Cambridge: Cambridge Univ. Press, 1988.
- Hao X., Zhang C., Li L., Zhang H., Hu Y., Hao D., Zhang X. // Polymers. 2017. V. 9. № 8. P. 325.
- Salakhov I., Tkacheva E., Kozlov V., Galanina D., Sakhabutdinov A. // RSC Adv. 2021. V. 11. P. 20916.
- Cozewith C., Ver Strate G. // Macromolecules. 1971. V. 4. № 4. P. 482.
- Fineman M., Ross S.D. // J. Polym. Sci. 1950. V. 5. P. 259.
- Karasev V.N., Minsker K.S. // Polym. Sci. USSR. 1971. V. 13. P. 1652.
- Подольный Ю.Б., Соловьева Г.В., Каменев Ю.Г. // Высокомолек. соед. А. 1974. Т. 16. № 12. С. 2767.
- Mayo F.R., Lewis F.M. // J. Am. Chem. Soc. 1944. V. 66. P. 1594.
- Bhargava R., Wang S.Q., Koenig J. // Liquid Chromatography / FTIR Microspectroscopy / Microwave Assisted Synthesis. Advances in Polymer Science. Springer, Berlin, Heidelberg, 2003. V. 163.
- Mikenas T.B., Zakharov V.A., Nikitin V.E., Echev-skaya L.G., Matsko M.A. // Russ. J. Appl. Chem. 2010. V. 83. P. 2210.
- Mikenas T.B., Koshevoy E.I., Cherepanova S.V., Zakharov V.A. // J. Polym. Sci., Polym. Chem. 2016. V. 54. P. 2558.
- Bahri-Laleh N., Arabi H., Mehdipor-Ataei S., Nekoomanesh-Haghighi M., Zohuri G., Seifali M., Akbari Z. // J. Appl. Polym. Sci. 2012. V. 123. P. 2526.
- Abedi S., Majdabadi-Farahani N., Daftari-Besheli M., Ghasempour H., Azadi F. // Polym. Bull. 2015. V. 72. P. 2377.
- Rośario Ribeiro M., Deffieux A., Fontanille M., Portela M.F. // Macromol. Chem. Phys. 1995. V. 196. P. 3833.
- Spitz R., Pasquet V., Patin M., Guyot A. // Ziegler Catalysts / Ed. by G. Fink, R. Mülhaupt, H.H. Brintzinger. Berlin; Heidelberg: Springer, 1995.
- Linda N. Winslow. Pat. 5534472 USA. 1996.
- Luo H.K., Tang R.G., Yang H., Zhao Q.F., An J.Y. // Appl. Catal. A. Gen. 2000. V. 203(2). P. 269.
- Farrer D.K. Pat. 6646073 USA. 2003.
- Bahri-Laleh N., Abbas-Abadi M.S., Haghighi M.N., Akbari Z., Mohammad R.T., Mirjahanmardi S.H. // J. Appl. Polym. Sci. 2010. V. 117(3). P. 1780.
- Abedi S., Azadi F., Daftari-Besheli M., Majdabadi-Farahani N., Safinejad A. // J. Appl. Polym. Sci. 2014. V. 131. P. 40189.
- Abbas-Abadi M.S. // Designed Monomers and Polymers. 2017. V. 20. P. 524.
- Gholami Y., Abdouss M., Abedi S., Azadi F., Baniani P., Arsalanfar M. // Bull. Chem. React. Eng. Catal. 2018. V. 13. P. 412.
- Abbas-Abadi M.S., Rashedi R., Sepahi A., Farhadi A., Biglarkhani M. // Iran Polym. J. 2020. V. 29. P. 659.
- Bazgir H., Abbas-Abadi M.S., Haghighi M.N., Darounkola M.R.R., Issaabadi Z. // J. Polym. Res. 2021. V. 28. P. 301.
- Beran D.L., Cann K.J., Jorgensen R.J. Eur. pat. 120501. 1984.
- Karol F.J. WO 88 02377. 1988.
- Nicoletti J.W., Cann K.J., Karol F.J. Eur. pat. 286001. 1988.
- Cann K.J., Karol F.J., Lee K.H. Pat. 4892853 USA. 1990.
- Cann K.J. // Polym. Mater. Sci. Eng. 1991. V. 64. P. 106.
- Cann K.J., Nicoletti J.W., Karol F.J. Pat. 5442018 USA. 1995.
- Bahri-Laleh N., Correa A., Mehdipour-Ataei Sh., Arabi H., Haghighi M.N., Zohuri G., Cavallo L. // Macromolecules. 2011. V. 44. № 4. P. 778.
- Крыжановский А.В., Иванчев С.С. // Высокомолек. соед. А. 1990. Т. 32. № 7. С. 1383.
- Крыжановский А.В., Захаров П.С., Богданов-Катьков Н.В., Поляков А.А., Иванчев С.С. // Пласт. массы. 1988. № 4. С. 20.
- Geyer R., Jambeck J.R., Law K.L. // Sci. Adv. 2017. V. 3.
- Gupta P., Wilkes G.L., Sukhadia A.M., Krishnaswamy R.K., Lamborn M.J., Wharry S.M., Tso C.C., DesLauriers P.J., Mansfield T., Beyer F.L. // Polymer. 2005. V. 46.
- Meng W., Li H., Li J., Chen B. // J. Korean Chem. Soc. 2011. V. 55. № 4. P. 673.
- Salakhov I.I., Mikenas T.B., Zakharov V.A., Kozlov V.G., Matsko M.A., Suslova T.N. // Int. J. Mol. Sci. 2022. V. 23. P. 10335.
- Салахов И.И, Сахабутдинов А.Г, Батыршин А.З., Шайдуллин Н.М., Бородин Р.Г., Михайлов В.Н., Назаров В.В., Хакимова Т.М., Волков В.Л., Суслова Т.Н. Пат. 2759723 Россия. 2021.
- Mikenas T.B., Tregubov A.A., Zakharov V.A., Echev-skaya L.G., Matsko M.A. // Polimery. 2008. V. 53. P. 353.
Supplementary files















