Study of the Products of Monobenzoxazine Polymerization by X-ray Photoelectron Spectroscopy
- Autores: Petrakova V.V.1, Kireev V.V.1, Naumkin A.V.2, Sirotin I.S.1
-
Afiliações:
- Mendeleev University of Chemical Technology of Russia
- Nesmeyanov Institute of Organoelement Compounds, Russian Academy of Sciences
- Edição: Volume 65, Nº 2 (2023)
- Páginas: 108-116
- Seção: ПОЛИМЕРИЗАЦИЯ
- URL: https://medbiosci.ru/2308-1139/article/view/135619
- DOI: https://doi.org/10.31857/S2308113923700407
- EDN: https://elibrary.ru/WYXPUM
- ID: 135619
Citar
Texto integral
Resumo
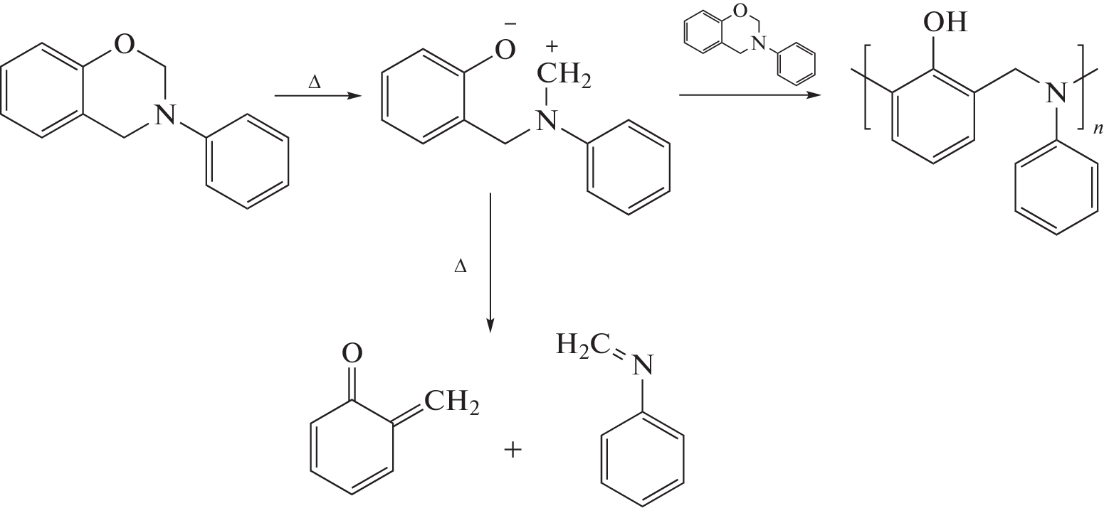
Polybenzoxazine based on 3-phenyl-2,4-dihydro-1,3-benzoxazine is studied by X-ray photoelectron spectroscopy. It is shown that during polymerization, along with oxazine ring opening, formation of methylol and other functional groups involved in three-dimensional structure development occurs.
Sobre autores
V. Petrakova
Mendeleev University of Chemical Technology of Russia
Email: vorobyevavv1995@mail.ru
125047, Moscow, Russia
V. Kireev
Mendeleev University of Chemical Technology of Russia
Email: vorobyevavv1995@mail.ru
125047, Moscow, Russia
A. Naumkin
Nesmeyanov Institute of Organoelement Compounds, Russian Academy of Sciences
Email: vorobyevavv1995@mail.ru
119334, Moscow, Russia
I. Sirotin
Mendeleev University of Chemical Technology of Russia
Autor responsável pela correspondência
Email: vorobyevavv1995@mail.ru
125047, Moscow, Russia
Bibliografia
- Holly F.W., Cope A.C. // J. Am. Chem. Soc. 1944. V. 66. № 11. P. 1875.
- Chirachanchai S., Laobuthee A., Phongtamrug S. // J. Heterocycl. Chem. 2009. V. 46. № 4. P. 714.
- Laobuthee A., Chirachanchai S., Ishida H., Tashiro K. // J. Am. Chem. Soc. 2001. V. 123. № 41. P. 9947.
- Lochab B., Monisha M., Amarnath N., Sharma P., Mukherjee S., Ishida H. // Polymers. 2021. V. 13. № 8. P. 1260.
- Zhen H., Yang H., Wang M., Lu G., Liu Y., Run M. // Polym. Chem. 2020. V. 11. № 13. P. 2325.
- Sini N.K., Endo T. // Macromolecules. 2016. V. 49. № 22. P. 8466.
- Ohashi S., Cassidi F., Huang S., Chiou K., Ishida H. // Polym. Chem. 2016. V. 7. № 46. P. 7177.
- Andreu R., Reina J.A., Ronda J.C. // J. Polym. Sci., Polym. Chem. 2008. V. 46. № 10. P. 3353.
- Sirotin I.S., Sarychev I.A., Vorobyeva V.V., Kuzmich A.A., Bornosuz N.V., Onuchin D.V., Gorbunova I.Yu., Kireev V.V. // Polymers. 2020. V. 12. № 6. P. 1225.
- Beamson G., Briggs D. High Resolution XPS of Organic Polymers: the Scienta ESCA300 database. Chichester; New York: Wiley, 1992.
- Zang Z., Chand Y., Yu Y., Zhang H., Xu L., Liu G. // New J. Chem. 2020. V. 44. № 40. P. 17422.
- Gao X., Sun X., Zhang H., Liu G. // J. Mater. Res. 2019. V. 34. № 7. P. 1219.
- Zhang H., Gu W., Zhu R., Ran Q., Gu Y. // High Temperature Mater. Proc. 2015. V. 34. № 3.
- Zhang M., Chen M., Reddeppa N., Xu D., Jing Q., Zha R. // Nanoscale. 2018. V. 10. № 14. P. 6549.
- Wang P., Xia L., Jian R., Ai Y., Zheng X., Chen G., Wang J. // Polym. Degrad. Stab. 2018. V. 149. P. 69.
- Wang J.-S., Wang D.-Y., Liu Y., Ge X.-G., Wang Y.-Z. // J. Appl. Polym. Sci. 2008. V. 108. № 4. P. 2644.
- Peng C., Gao C., Yuan Y., Wu Z., Zhou D. // Polym. Degrad. Stab. 2018. V. 157. P. 131.
- Bourbigot S., Le Bras M., Delobel R., Gengembre L. // Appl. Surf. Sci. 1997. V. 120. № 1–2. P. 15.
- Ishida H., Froimowicz P. Advanced and Emerging Polybenzoxazine Science and Technology. Elsevier, 2017.
- Киреев В.В. Высокомолекулярные соединения: учебник для бакалавров. М.: Юрайт, 2013.
Arquivos suplementares











