Reactivity of New Monomers of the Polyurethanes Green Chemistry, the Reaction Mechanism, and the Medium Effect
- Authors: Zabalov M.V.1, Levina M.A.1, Krasheninnikov V.G.1, Tiger R.P.1
-
Affiliations:
- Semenov Federal Research Center for Chemical Physics, Russian Academy of Sciences
- Issue: Vol 65, No 4 (2023)
- Pages: 286-294
- Section: ХИМИЧЕСКИЕ ПРЕВРАЩЕНИЯ
- URL: https://medbiosci.ru/2308-1139/article/view/231635
- DOI: https://doi.org/10.31857/S2308113923700511
- EDN: https://elibrary.ru/QORWFU
- ID: 231635
Cite item
Full Text
Abstract
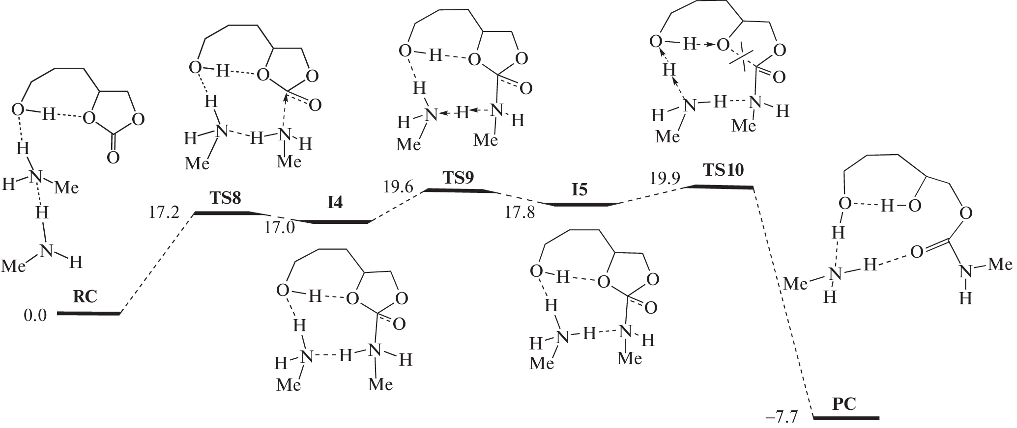
The influence of the substituents inductive effect and the proton-donor OH group in the substituted cyclocarbonates differing in the alkyl chain length on the activation barrier of their aminolysis reaction, which underlies the process of urethane formation without the participation of isocyanates, has been studied. Account for the solvent molecules has allowed quantitative interpretation of the process regularities. Kinetics of the model aminolysis reaction of a series of monomers in DMSO has been investigated.
About the authors
M. V. Zabalov
Semenov Federal Research Center for Chemical Physics, Russian Academy of Sciences
Email: zabalov@chph.ras.ru
119991, Moscow, Russia
M. A. Levina
Semenov Federal Research Center for Chemical Physics, Russian Academy of Sciences
Email: zabalov@chph.ras.ru
119991, Moscow, Russia
V. G. Krasheninnikov
Semenov Federal Research Center for Chemical Physics, Russian Academy of Sciences
Email: zabalov@chph.ras.ru
119991, Moscow, Russia
R. P. Tiger
Semenov Federal Research Center for Chemical Physics, Russian Academy of Sciences
Author for correspondence.
Email: zabalov@chph.ras.ru
119991, Moscow, Russia
References
- Saunders J.H., Frisch K.C. Polyurethanes – Chemistry and Technology. New York; London: Interscience Publ., 1962. V. 16. Part I.
- Tiger R.P. // Polymer Science B. 2004. V. 46. № 5–6. P. 142.
- Guan J., Song Y., Lin Y., Yin X., Zuo M., Zhao Y., Tao X., Zheng Q. // Ind. Eng. Chem. Res. 2011. V. 50. № 11. P. 6517.
- Figovsky O., Shapovalov L., Leykin A., Birukova O., Po-tashnikova R. // PU Magazine. 2013. V. 10. № 4. P. 1.
- Nohra B., Candy L., Blanco J.-F., Guerin C., Raoul Y., Mouloungui Z. // Macromolecules. 2013. V. 46. № 10. P. 3771.
- Blattmann H., Fleischer M., Bahr M., Mulhaupt R. // Macromol. Rapid Comm. 2014. V. 35. № 14. P. 1238.
- Rokicki G., Parzuchowski P.G., Mazurek M. // Polym. Adv. Technol. 2015. V. 26. № 7. P. 707.
- Maisonneuve L., Lamarzelle O., Rix E., Grau E., Cramail H. // Chem. Rev. 2015. V. 115. P. 12407.
- Cornille A., Auvergne R., Figovsky O., Boutevin B., Caillol S. // Eur. Polym. J. 2017. V. 87. P. 535.
- Błażek K., Datta J. // Crit. Rev. Environ. Sci. Technol. 2019. V. 49. № 3. P. 173.
- Carre C., Ecochard Y., Caillol S., Averous L. // ChemSusChem. 2019. V. 12. № 15. P. 3410.
- Ecochard Y., Caillol S. // Eur. Polym. J. 2020. V. 137. 109915.
- Lambeth R.H. // Polym. Int. 2020. V. 70. P. 696.
- Tiger R.P., Zabalov M.V., Levina M.A. // Polymer Science C. 2021. V. 63. № 2. P. 113.
- Gomez-Lopez A., Elizalde F., Calvo I., Sardon H. // Chem. Comm. 2021. V. 57. № 92. P. 12254.
- Brzeska J., Piotrowska-Kirschling A.A. // Processes. 2021. V. 9. P. 1929.
- Bizet B., Grau E., Asua J.M., Cramail H. // Macromol. Chem. Phys. 2022. V. 223. № 13. 2100437.
- Kaur R., Singh P., Tanwar S., Varshney G., Yadav S. // Macromolecules. 2022. V. 2. № 3. P. 284.
- Figovsky O.L., Bol’shakov O.I., Vikhareva I.N. Nonisocyanate Polyurethanes: Green Solutions. Chelyabinsk: SUSU Publ., 2023.
- Catalá J., Guerra I., García-Vargas J.M., Ramos M.J., García M.T., Rodríguez J.F. // Polymers. 2023. V. 15. № 6. P. 1589.
- Levina M.A., Zabalov M.V., Krasheninnikov V.G., Tiger R.P. // Polymer Science B. 2018. V. 60. № 5. P. 563.
- Zabalov M.V., Levina M.A., Krasheninnikov V.G., Tiger R.P. // Russ. Chem. Bull., Int. Ed. 2014. V. 63. № 8. P. 1740.
- Levina M.A., Krasheninnikov V.G., Zabalov M.V., Tiger R.P. // Polymer Science B. 2014. V. 56. № 2. P. 139.
- Levina M.A., Zabalov M.V., Krasheninnikov V.G., Tiger R.P. // Polymer Science B. 2017. V. 59. № 5. P. 497.
- Zabalov M.V., Levina M.A., Tiger R.P. // Kinet. Catal. 2020. V. 61. № 5. P. 721.
- Zabalov M.V., Levina M.A., Krasheninnikov V.G., Tiger R.P. // Reac. Kinet. Mech. Cat. 2020. V. 129. № 1. P. 65.
- Zabalov M.V., Levina M.A., Tiger R.P. // Polymer Science B. 2020. V. 62. № 5. P. 457.
- Zabalov M.V., Tiger R.P. // Theor. Chem. Acc. 2017. V. 136. P. 95.
- Quienne B., Poli R., Pinaud J., Caillol S. // Green Chem. 2021. V. 23. № 4. P. 1678.
- Perdew J.P., Burke K., Ernzerhof M. // Phys. Rev. Lett. 1996. V. 77. № 18. P. 3865.
- Ernzerhof M., Scuseria G.E. // J. Chem. Phys. 1999. V. 110. № 11. P. 5029.
- Laikov D.N. // Chem. Phys. Lett. 1997. V. 281. № 1–3. P. 151.
- Laikov D.N., Ustynyuk Y.A. // Russ. Chem. Bull., Int. Ed. 2005. V. 54. № 3. P. 820.
- Zabalov M.V., Tiger R.P. // Russ. Chem. Bull. Int. Ed. 2016. V. 65. № 3. P. 631.
- Caldeweyher E., Bannwarth C., Grimme S. // J. Chem. Phys. 2017. V. 147. № 3. 034112.
- Caldeweyher E., Ehlert S., Hansen A., Neugebauer H., Spicher S., Bannwarth C., Grimme S. // J. Chem Phys. 2019. V. 150. № 15. 154122.
- Caldeweyher E., Mewes J.-M., Ehlert S., Grimme S. // Phys. Chem. Chem. Phys. 2020. V. 22. № 16. P. 8499.
- Zabalov M.V., Tiger R.P., Berlin A.A. // Dokl. Chem. 2011. V. 441. Pt 2. P. 355.
- Zabalov M.V., Tiger R.P., Berlin A.A. // Russ. Chem. Bull., Int. Ed. 2012. V. 61. P. 518.
- Alves M., Mereau R., Grignard B., Detrembleur C., Jerome C., Tassaing T. // RSC Adv. 2017. V. 7. № 31. P. 18993.
- Levina M.A., Zabalov M.V., Gorshkov A.V., Shashkova V.T., Krasheninnikov V.L., Tiger R.P., Miloslavskii D.G., Pridatchenko M.L. // Polymer Science B. 2019. V. 61. № 5. P. 540.
- Mizuno K., Imafuji S., Ochi T., Ohta T., Maeda S. // J. Phys. Chem. B. 2000. V. 104. № 47. P. 11001.
- Li Q., Wu G., Yu Z. // J. Am. Chem. Soc. 2006. V. 128. № 5. P. 1438.
- Li Q., An X., Gong B., Cheng J. // Spectrochim. Acta A. 2008. V. 69. № 1. P. 211.
- Li Q., An X., Gong B., Cheng J. // Vib. Spectrosc. 2008. V. 46. № 1. P. 28.
- Zhang L., Wang Y., Xu Z., Li H. // J. Phys. Chem. B. 2009. V. 113. № 17. P. 5978.
- Noack K., Kiefer J., Leipertz A. // ChemPhysChem. 2010. V. 11. № 3. P. 630.
- Venkataramanan N.S., Suvitha A. // J. Mol. Graph. Model. 2018. V. 81. P. 50.
- Mrázková E., Hobza P. // J. Phys. Chem. A. 2003. V. 107. № 7. P. 1032.
- Venkataramanan N.S. // Int. J. Quant. Chem. 2012. V. 112. № 13. P. 2599.
- Venkataramanan N.S. // J. Mol. Model. 2016. V. 22. № 7. Art. 151.
- Venkataramanan N.S., Suvitha A., Kawazoe Y. // J. Mol. Liq. 2018. V. 249. P. 454.
- Li X., Liu L., Schlegel H.B. // J. Am. Chem. Soc. 2002. V. 124. № 32. P. 9639.
- Joseph J., Jemmis E.D. // J. Am. Chem. Soc. 2007. V. 129. № 15. P. 4620.
- Mo Y., Wang C., Guan L., Braïda B., Hiberty P.C., Wu W. // Chem. Eur. J. 2014. V. 20. № 27. P. 8444.
Supplementary files








