Полимеризация алкенов на катализаторах, содержащих ионные комплексы состава [2L⋅M@ди-бензо-18-к-6]+[TiCl5⋅L]– (L – CH3CN, M – Li+, K+)
- Authors: Ришина Л.А.1, Kissin Y.V.2, Лалаян С.С.1, Крашенинников В.Г.1, Заболотнов А.А.1, Тускаев В.А.3, Гагиева С.Ч.3, Булычев Б.М.3
-
Affiliations:
- Федеральный исследовательский центр химической физики им. Н.Н. Семенова Российской академии наук
- Rutgers, The State University of New Jersey
- Московский государственный университет им. М.В. Ломоносова
- Issue: Vol 66, No 1 (2024)
- Pages: 3-13
- Section: КАТАЛИЗ
- URL: https://medbiosci.ru/2308-1139/article/view/264109
- DOI: https://doi.org/10.31857/S2308113924010014
- EDN: https://elibrary.ru/NPETJU
- ID: 264109
Cite item
Full Text
Abstract
Изучены реакции полимеризации этилена, пропилена и сополимеризации этилена с октеном-1 на новом типе постметаллоценовых катализаторов, содержащих ионные комплексы [2L⋅M@ди-бензо-18-краун-6]+[TiCl5⋅ L]– (L – CH3CN, M – Li+, K+). В качестве сокатализатора использован бинарный активатор Al(C2H5)2Cl/Mg(C4H9)2 при соотношении [Al] : [Mg] ~3. Получены линейный кристаллический полиэтилен, практически аморфный атактический полипропилен и статистические сополимеры этилена с октеном-1, содержащие от 2 до 9% октена-1. Сополимеры имеют широкое молекулярно-массовое распределение и неоднородное распределение по составу, подобно сополимерам, синтезированным на классических катализаторах Циглера–Натта и многих системах постметаллоценового типа.
Full Text
ВВЕДЕНИЕ
Первый катализатор на основе соединений титана для синтеза ПЭ при низком давлении был открыт К. Циглером в 1953 г. Данный катализатор, представлявший собой комбинацию TiCl4 и Al(C2H5)2Cl, имел ряд технологических преимуществ, поскольку его компоненты производились промышленным способом, были относительно дешевы и растворялись в алифатических и ароматических углеводородах. В связи с этим он практически сразу был использован для промышленного производства ПЭ высокой плотности [1, 2].
В настоящей статье приведены результаты исследования реакций гомои сополимеризации алкенов с использованием двух катализаторов на основе ионных комплексов, содержащих анион [TiCl5 ⋅L]– и катионы Li+ и K+, координированные с краун-эфиром. Кристаллические комплексы имеют состав [2L ⋅M@ди-бензо-18-краун-6]+ [TiCl5 ⋅ L]– , где L – CH3CN; M – Li+, K+).
Первая успешная попытка использования таких комплексов в качестве компонентов катализаторов полимеризации этилена описана в работах [3, 4]. Задачей нашего исследования было углубленное изучение этих комплексов в реакциях полимеризации этилена и пропилена и сополимеризации этилена с октеном-1, исследование кинетики полимеризации и сополимеризации алкенов, детальный анализ свойств полученных полимеров и сополимеров и сравнение представленных катализаторов с классическим катализатором Циглера.
В качестве активатора использовали бинарный сокатализатор Al(C2H5)2Cl/Mg(C4H9)2 при соотношением [Al] : [Mg] ≈ 3, который, как мы показали ранее, является универсальным для активации традиционных катализаторов Циглера–Натта [5–8], соединений типа Ti(OR)4 [6, 9], металлоценовых комплексов [10] и различных постметаллоценовых катализаторов [5, 6, 11–14]. В частности, система TiCl4–Al(C2H5)2Cl/Mg(C4H9)2 – очень активный катализатор полимеризации этилена, сополимеризации этилена с алкенами (синтез ПЭНП) и полимеризации пропилена (синтез атактического ПП) [7, 8].
ЭКСПЕРИМЕНТАЛЬНАЯ ЧАСТЬ
Материалы
Компонентами каталитических систем служили ионные комплексы, содержащие анион [TiCl5 ∙ CH3CN]–, и катионы Li+ или K+, координированные с молекулой ди-бензо-18-краун-6. Общая формула комплексов в кристаллическом состоянии имеет вид [2CH3CN ⋅ M@ди-бензо-18-краун-6]+[TiCl5 ⋅ CH3CN]–, где M = Li (прекатализатор Кр-I) или K (прекатализатор Кр-II):
Ионные комплексы получали реакцией LiCl или KCl с TiCl4 в присутствии одного эквивалента ди-бензо-18-краун-6 в безводном ацетонитриле согласно [3, 4]. Состав и кристаллическая структура комплексов определены методами элементного анализа, ЯМР, MALDI MS-спектроскопии и рентгеноструктурным анализом [4].
Этилен и пропилен полимеризационной степени чистоты (99.9 об. %) Московского нефтеперерабатывающего завода, а также AlEt2Cl (раствор в гептане 0.8 моль/л) и MgBu2 (раствор в гептане 0.5 моль/л) фирмы “Acros” использовали без дополнительной очистки. Толуол квалификации “ос. ч.” и октен-1 кипятили над Na и перегоняли в токе аргона.
Реакции полимеризации
Полимеризацию этилена и пропилена и сополимеризацию этилена с октеном-1 проводили в стальном реакторе объемом 200 мл с мешалкой. Перед экспериментом реактор вакуумировали в течение 1 ч при температуре полимеризации и заполняли толуолом или смесью толуола с октеном-1; объем жидкой фазы составлял 100 мл. Затем в реакционную среду последовательно вводили AlEt2Cl и MgBu2, полученную смесь насыщали этиленом (пропиленом) и после этого разбивали внутри реактора ампулу с кристаллическим комплексом. Давление в реакторе в ходе опыта поддерживали постоянным, компенсируя расход этилена (пропилена) подпиткой из калиброванной емкости.
Концентрацию мономера в толуоле рассчитывали по закону Генри СЭ(П)мон = КГЭ(П) × PЭ(П) = = КГЭ(П) × (Pобщ – Pтол), где КHЭ(П) – константа Генри (КГЭ = 9 × 10‒4 e2990/RT, КГП = 2.1 × 10–3 e1340/RT [15]), Pобщ – общее давление в реакторе, PЭ(П) и Pтол – парциальное давление (атм) мономера и толуола соответственно.
Активность катализатора характеризовали выходом полимера за час, отнесенным к молю комплекса, Q/СTi (кг мольTi–1).
Скорость реакции оценивали по эффективной константе скорости полимеризации kэф = = Rпол(СЭ × СTi)–1 [л(мольTi мин)–1], где Rпол – скорость полимеризации, моль/(л мин) , СЭ и СTi – концентрации этилена и комплекса, моль/л.
Полученные полимеры и сополимеры этилена с октеном-1 обрабатывали смесью этилового спирта и HCl (10%-ный раствор), затем многократно промывали водой и спиртом и сушили до постоянной массы. Образцы ПП были расфракционированы кипящим н-гептаном на две фракции: растворимую аморфную фракцию и нерастворимую частично кристаллическую |фракцию.
Анализ полимеров
ММ и ММР полимеров измеряли при 160°С на приборе “PL-220”, снабженном колонками PL-gel Olexis, рефрактометром и дифференциальным вискозиметром. Растворителем служил 1.2.4-трихлорбензол, скорость элюирования составляла 1 мл/мин. Среднюю молекулярную массу продуктов рассчитывали по универсальной калибровочной кривой с использованием ПСи ПЭ-стандартов с узким ММР в диапазоне молекулярных масс 750–(1.3 × 107). Параметры уравнения Марка–Хаувинка для ПЭ: К = 6.14 × 10–4, α = 0.67; для ПС: К = 2.80 × 10‒4, α = 0.64.
Процедура разложения кривых ГПХ на кривые индивидуальных компонентов Флори описана ранее [16, 17]. Компонент Флори – это полимер, производимый одним типом активных центров; для каждого компонента Флори отношение Mw/Mn = 2.
Средневязкостную молекулярную массу Mv (г/моль) высокомолекулярных образцов ПЭ рассчитывали по уравнению Марка–Хаувинка Mv = 5.37 × 104 [η]1.37, где [η] – характеристическая вязкость в декалине при 135°С (дл/г ); [η] = (2ηуд – 2ln ηr)1/2/0.056 (ηуд – удельная вязкость, ηr – относительная вязкость; ηr = ηcп + 1) [18].
Спектры ЯМР 13C полимеров (~5%-ные растворы в o-дихлорбезоле) записывали при 110°С на спектрометре “Bruker Avance-400” (частота 10.613 MГц), время релаксации 15 с, число записей от 500 до 2000). Отнесение сигналов в спектрах ЯМР 13С сополимеров этилена с октеном-1 проводили согласно работе [19]. Содержание октена-1 в сополимерах рассчитывали из спектров ЯМР 13С, как описано в работе [20].
ИК-спектры полимеров регистрировали на спектрофотометре “Bruker Tensor 27 FTIR”. В качестве параметров стереорегулярности ПП использовали отношения оптических плотностей полос поглощения D998/D973 и D841/D973. Эти параметры характеризуют наличие в цепи изотактических последовательностей длиной более 11–13 и 13–15 мономерных единиц [21, 22].
Плавление ПЭ, ПП и сополимеров этилен–октен-1 изучали методом ДСК на анализаторе Netzsch DSC-209 F1. Образцы (3–5 мг) сначала нагревали до 160°C в случае ПЭ и сополимеров этилен–октен-1 и до 190°C в случае ПП со скоростью 5°C/мин. Затем образцы охлаждали до 30°C со скоростью 2°C/мин и снова нагревали со скоростью 5°C/мин; использовали данные, полученные при повторном плавлении образцов. Разделение кривых плавления ДСК сополимеров на профили плавления компонентов с различными COсопол проводили, как описано в работе [23].
Степень кристалличности полимеров определяли из теплоты плавления ∆Hпл как (∆Hпл/ ∆H˚пл) 100, где ∆H°пл = 293 Дж/г для ПЭ и 209 Дж/г для ПП.
Механические свойства ПЭ и сополимеров этилен–октен-1 исследовали на приборе “Instron 3365” при температуре 20°C в соответствии со стандартом ГОСТ 11262-2017. Образцы типоразмера 5 были получены горячим прессованием при температуре 180°C с последующим охлаждением до 30°C со скоростью 9°С/мин при давлении 10 МПа. Для каждого образца были измерены следующие параметры: модуль упругости Е (скорость раздвижения зажимов испытательной машины 1 мм/мин), предел текучести σ и соответствующее ему удлинение текучести εт, минимальное напряжение после образования шейки σм и удлинение εм, предельная прочность при разрыве σр и относительное удлинение при разрыве εр (скорость раздвижения зажимов испытательной машины 50 мм/мин). Погрешность измерения Е и σр не превышала 10%, а ошибка в εр – 20%.
РЕЗУЛЬТАТЫ И ИХ ОБСУЖДЕНИЕ
Полимеризация этилена и сополимеризация этилена с октеном-1.
Комбинации Кр-I и Кр-II с Al(C2H5)2Cl/Mg(C4H9)2 в качестве активатора являются очень эффективными катализаторами полимеризации этилена и его сополимеризации с октеном-1. Выход ПЭ в час при 50°С и PЭ = 5.6 атм составил 5200 и 2830 кг мольTi–1, а выход сополимера этилен–октен-1 в зависимости от состава мономерной смеси ~1800–3300 и ~2500–3200 кг мольTi–1 на Кр-I и Кр-II соответственно (табл. 1).
Таблица 1. Параметры полимеризации этилена и сополимеризации этилена с октеном-1 на Кр-I и Кр-II (растворитель толуол, температура 50°С, PЭ = 5.6 атм, CЭмон = 0.54 моль/л, время реакции 1 ч)
COмон, моль/л | Содержание октена-1, мол. % | [Ti] × 106, моль | Мольное соотношение | Выход, кг мольTi–1 | COсопол, мол. % | |
[Al] : [Ti], | [Al] : [Mg] | |||||
Кр-I–Al(C2H5)2Cl/Mg(C4H9)2 | ||||||
0* | 0 | 7.2 | 326 | 2.9 | 1380 | 0 |
0 | 0 | 4.8 | 342 | 2.7 | 5200 | 0 |
0.32 | 36.2 | 5.4 | 348 | 2.9 | 1760 | 1.6 |
0.64 | 54.3 | 4.8 | 342 | 2.7 | 2810 | 2.0 |
1.50 | 74.6 | 4.8 | 342 | 2.7 | 3280 | 3.9 |
Кр-II–Al(C2H5)2Cl/Mg(C4H9)2 | ||||||
0 | 0 | 3.7 | 348 | 2.9 | 2830 | 0 |
0.32 | 36.2 | 3.8 | 339 | 2.9 | 2470 | 3.4 |
1.60 | 74.6 | 4.1 | 343 | 2.8 | 3240 | 9.0 |
* Температура 30°С. | ||||||
Введение октена-1 в реакцию полимеризации этилена, как правило, приводило к некоторому снижению активности обоих катализаторов. Однако при использовании Кр-II повышение содержания октена-1 в реакционной среде до ~75% вызывало увеличение его производительности на 15–20%. Этот сомономерный эффект характерен для многих катализаторов Циглера–Натта и постметаллоценовых катализаторов [9, 17].
Способность эффективно сополимеризовать этилен с алкенами является важной характеристикой любого катализатора на основе титана, применяемого для синтеза ПЭ низкой и средней плотности. Сополимеры этилен–октен-1 содержат до ~4 мол. % октена-1 при использовании Кр-I и 9 мол. % в случае Кр-II. Данные табл. 1 позволяют приблизительно оценить константу сополимеризации r1 в реакциях сополимеризации по формуле
r1 = kЭ–Э /kЭ–O ≈ (CЭ/CO)СОПОЛ /(CЭ/CO)МОН, (1)
где CЭсопол = 100 – СОсопол, CЭмон и COмон – молярные концентрации этилена и октена-1 в смесях мономеров. Выражение (1) для r1 справедливо только в случае сополимеров с низкими значениями СОсопол. Значение r1 составляет 35–55 для Кр-I и ~20 для Кр-II, т.е., катализатор на основе Кр-II сополимеризует этилен с октеном-1 в 2–3 раза эффективнее.
Обе системы при 50°С нестабильны; скорость полимеризации резко падает уже после 3–5 мин реакции. В качестве примера на рис. 1 представлена кинетика расхода этилена в реакциях полимеризации этилена и сополимеризации этилена с октеном-1 на Кр-I.
Рис. 1. Кинетика расхода этилена при полимеризации этилена (1) и сополимеризации этилена с октеном-1 (Соктмон = 74.6 мол. %) (2) на системе Кр-I ‒ Al(C2H5)2Cl/Mg(C4H9)2. Цветные рисунки можно посмотреть в электронной версии.
Молекулярная структура цепи, данные спектроскопии ИК и ЯМР 13С
Согласно данным ИК-спектроскопии, гомополимеры этилена, полученные с использованием систем на основе Кр-I и Кр-II, являются линейными: в спектрах образцов отсутствуют полосы поглощения метильных групп в разветвлениях (1378 см–1).
На рис. 2 приведен спектр ЯМР 13С сополимера этилен–октен-1 с COсопол = 9.0 мол. %, полученного на Кр-II, и даны отнесения сигналов различных последовательностей.
В случае исследуемых сополимеров наиболее подходящим спектральным диапазоном для анализа молекулярной структуры являются сигналы C(H) в диапазоне 35.5–38.5 м.д.: сигнал C(H) триады этилен–октен-1–этилен (изолированные звенья октена-1 в цепи) расположен при ~38.2 м.д., а сигнал C(H) для триады этилен–октен-1–октен-1 (два связанные звена октена-1) – при ~35.9 м.д.
Спектры ЯМР 13С сополимеров с СОсопол < < 5 мол. % содержат единственный сигнал триад этилен–октен-1–этилен, т.е. большинство звеньев октена-1 в цепях изолированы. И только спектр сополимера с СОсопол ~9 мол. % октена-1 содержит оба сигнала (рис. 2).
Рис. 2. Фрагмент спектра ЯМР 13C сополимера этилен–октен-1 с COсопол = 9.0 мол. % и отнесение сигналов.
Способность активных центров к чередованию мономерных звеньев может быть оценена из произведения констант сополимеризации r1r2, где r1 = kЭ—Э/kЭ—О и r2 = kО—О/kО—Э [20]. Спектры ЯМР 13С являются наиболее чувствительным инструментом для определения r1r2. Значение r1r2 можно оценить из статистического уравнения для расчета содержания триад в сополимерах этилен–алкен-1 как функции состава сополимера CОcoпол и r1r2 [24] – –
[О–О–Э + Э–О–О]/[Э–О–Э] = (2)
где f = (CЭ/CO)сопол = (1 – COсопол)/COсопол.
В случае сополимера этилен–октен-1, содержащего 9.0 мол. % октена-1 (f = 10.1), отношение площадей [O–O–Э + Э–O–O]/[Э–O–Э] составляет ~0.22 (рис. 2). Оценка по уравнению (2) дает среднее значение r1r2 ~1.1. Это означает, что относительная вероятность нахождения данного мономерного звена в цепи зависит только от его содержания в сополимере и не зависит от природы предыдущего мономерного звена (статистические сополимеры); мономерные звенья в цепях сополимера в данном случае распределены практически случайным образом. Для идеально статистических сополимеров r1r2 = 1.0.
Молекулярные массы и молекулярно-массовое распределение ПЭ и сополимеров этилен–октен-1
Образцы ПЭ имеют очень высокую молекулярную массу (Мη = 65 × 104–70 × 104), что затрудняет их исследование методом ГПХ. Молекулярная масса сополимеров этилен–октен-1 существенно ниже, ~20 × 104–~30 × 104 (табл. 2).
Таблица 2. Молекулярно-массовые характеристики ПЭ и сополимеров этилен–октен-1
COсопол, мол. % | Мw × 103 | Мw/Мn |
Кр-I–Al(C2H5)2Cl/Mg(C4H9)2 | ||
0 | 690* | |
1.6 | 284.3 | 10.6 |
2.0 | 214.1 | 15.2 |
3.9 | 284.4 | 18.0 |
Кр-II–Al(C2H5)2Cl/Mg(C4H9)2 | ||
0 | 650 | |
3.4 | 318.5 | 7.2 |
9.0 | 245.1 | 10.6 |
* Средневязкостная MМ. | ||
Широкое ММР сополимеров этилен–октен-1 отражает присутствие в катализаторах разных типов активных центров, отличающихся по кинетическим параметрам в реакциях полимеризации. Разложение кривых ГПХ сополимеров этилен–октен-1 на компоненты Флори показывает, что эти полимерные продукты представляют собой смесь шести компонентов со значениями Mw от ~6000–7000 до ~2 × 106 (табл. 3, 4).
Таблица 3. ММР сополимеров этилен–октен-1, полученных с Кр-II
Компонент Флори, № | Mw × 103 | Содержание, % | Mw × 103 | Содержание, % |
COсопол = 3.4 мол. % | COсопол = 9.0 мол. % | |||
I | – | – | 5.7 | 2.6 |
II | 24 | 12.6 | 19 | 17.2 |
III | 70.6 | 29.1 | 54 | 33.5 |
IV | 210 | 33.9 | 160 | 26.2 |
V | 640 | 20.0 | 520 | 15.9 |
VI | 2200 | 4.3 | 2100 | 4.7 |
Средние значения | Mwср = 318.5 × 103 Mw/Mn = 7.2 | Mwср = 245.1 × 103 Mw/Mn = 10.6 | ||
Таблица 4. ММР распределение сополимеров этилен–октен-1, полученных с Кр-I
Компонент Флори, № | Mw × 103 | Содержание, % |
I | 5.5–6 | 5–9 |
II | 18 | 13–17 |
III | 51.5–53 | 25–30 |
IV | 145–165 | 24–28 |
V | 460–520 | 17–18 |
VI | ~1800 | 5–7 |
На рис. 3а приведены кривые ГПХ для сополимеров этилен–октен-1 с COсопол = 3.4 и 9.0 мол. %, полученных с использованием Кр-II. На первый взгляд введение больших количеств октена-1 в реакцию сополимеризации приводит к значительному сдвигу максимума кривой ММР в область низких ММ: максимумы пиков на кривых ГПХ уменьшаются с ~110 × 103 до ~55 × 103, а Mwср с ~320 × 103 до 245 × 103.
Рис. 3. а – Кривые ГПХ сополимеров этилен–октен-1, синтезированных с Кр-II, COсопол = 3.4 (1) и 9.0 мол. % (2); б – разложение кривой ГПХ сополимера с COсопол = 3.4 мол. % на компоненты Флори: точки – экспериментальные данные, тонкие линии – компоненты Флори, полужирная линия – расчетная кривая ГПХ.
Однако более детальный анализ ММР дает другое объяснение этому явлению. Разложение кривых ГПХ сополимеров на компоненты Флори показывает, что данные компоненты имеют примерно одинаковые значения Mw, но они представлены в разных пропорциях (рис. 3б, табл. 3). Сополимер с Сосопол = 3.4 мол. % содержит несколько большую долю компонентов IV и V с высокой Mw, тогда как сополимер с Сосопол = 9.0 мол. % содержит больше низкомолекулярных компонентов II и III. Значения Mw всех основных компонентов Флори постепенно уменьшаются с увеличением COсопол.
Кривые ГПХ для трех полученных на Кр-I сополимеров этилен–октен-1 с подобным содержанием октена-1 также очень похожи (рис. 4).
Рис. 4. Кривые ГПХ сополимеров этилен–октен-1, синтезированных с Кр-I. COсопол = 1.6 (1), 2.0 (2) и 3.9 мол. % (3).
Принимая во внимание ограниченную точность метода ГПХ, можно сказать, что все три сополимера имеют близкие Mw. В табл. 4 приведены результаты разложения кривых ГПХ трех сополимеров на компоненты Флори. Все шесть компонентов в этих сополимерах имеют несколько более низкие значения Mw и более широкое ММР по сравнению с сополимерами, полученными на Кр-II; отношение Mw/Mn для них находится в диапазоне 11–18.
Композиционная неоднородность сополимеров этилен–октен-1, данные ДСК
ДСК является удобным методом изучения композиционной неоднородности сополимеров этилен–алкен-1, полученных с использованием катализаторов на основе переходных металлов. Сополимеры этилена с алкенами-1, синтезированные на одноцентровых металлоценовых катализаторах, имеют однородное композиционное распределение, т.е. все их макромолекулы имеют приблизительно одинаковый состав независимо от MМ. Пики плавления данных сополимеров достаточно узкие. При этом температура плавления Tпл и степень кристалличности сополимера быстро снижаются по мере увеличения в нем содержания алкена-1 [23]. Напротив, сополимеры этилен–алкен-1, полученные на катализаторах Циглера–Натта и многих постметаллоценовых катализаторах, по сути представляют собой сложные смеси фракций сополимеров совершенно разного состава. При плавлении и последующей медленной кристаллизации такие смеси разделяются на компоненты с разной степенью кристалличности и разной Тпл [23].
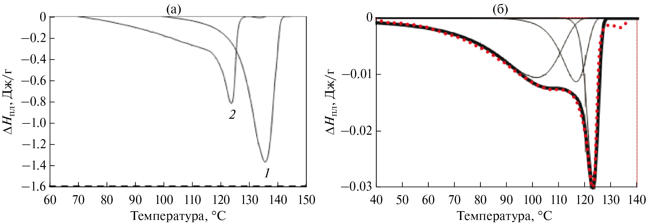
Сополимеры этилен–октен-1, полученные с использованием комплексов Кр-I и Кр-II, относятся ко второму типу сополимеров. На рис. 5а приведены кривые, характеризующие процесс плавления ПЭ и сополимера этилен–октен-1 с COсопол = 3.9 мол. %, синтезированного на Кр-I.
Теплофизические характеристики ПЭ и сополимеров этилен–октен-1, полученных с обоими прекатализаторами, приведены в табл. 5.
Плавление полимеров имеет некоторые особенности.
- Максимум пика плавления для сополимера наблюдается при значительно более низкой температуре (127–123°С), чем для ПЭ (~136°С). Его положение медленно смещается в сторону более низких температур по мере увеличения содержания октена-1 в сополимере.
- Кристаллизация сополимеров из расплава также происходит при более низкой температуре (110–114°С), чем кристаллизация ПЭ (~120°С).
- Площадь под кривой плавления (пропорциональная энтальпии плавления ∆Hпл) для сополимера значительно меньше, чем для ПЭ.
- Диапазон температур плавления сополимера существенно шире (рис. 5а).
Указанные черты типичны для плавления статистических сополимеров этилен–алкен-1 с неоднородным распределением состава, таких как сополимеры, полученные на катализаторах Циглера–Натта и многих постметаллоценовых катализаторах.
На рис. 5б представлены результаты разложения на индивидуальные компоненты кривой плавления сополимера этилен–октен-1 с COсопол = 9.0 мол. %, полученного с Кр-II. Процедура разложения подробно описана ранее [23]. Этот продукт, как и все другие сополимеры, синтезированные с использованием комплексов Кр-I и Кр-II, содержит три кристаллических компонента, соотношение между которыми варьируется в зависимости от состава сополимера. В качестве примера в табл. 6 приведены приблизительные оценки состава, степени кристалличности и температуры плавления компонентов для двух сополимеров.
Рис. 5. а – Кривые плавления ПЭ (1) и сополимера этилен–октен-1 с COсопол = 3.9 мол. % (2), полученных с Кр-I; б – разложение на компоненты кривой плавления сополимера этилен–октен-1 с COсопол = 9.0 мол. %, полученного с Кр-II, точки – экспериментальные данные, линии – результат расчетов.
В обоих примерах рассчитанная средняя степень кристалличности в сополимерах 41 и 36% соответственно значительно выше измеренных средних значений 26 и 16% (табл. 5). Данное расхождение означает, что оба материала в дополнение к трем частично кристаллическим компонентам содержат большую полностью аморфную фракцию, которая не регистрируется методом ДСК. С другой стороны, аналогичная оценка для содержащего существенно меньшее количество октена-1 (1.9 мол. %) сополимера, полученного на Кр-I, дает близкие степени кристалличности – 48 и 42%, т.е. этот сополимер содержит незначительное количество аморфного материала.
Таблица 5. Теплофизические характеристики ПЭ и сополимеров этилен–октен-1, полученных на системах с Кр-I и Кр-II
COсопол, мол. % | Тплмакс, оС | ∆Hпл, Дж/г | Степень кристалличности, % | Температура кристаллизации (макс.), оС |
Кр-I–Al(C2H5)2Cl/Mg(C4H9)2 | ||||
0 | 135.9 | 199.4 | 68 | 120.0 |
1.6 | 126.6 | 123.8 | 42 | 114.0 |
2.0 | 124.2 | 113.7 | 39 | 112.2 |
3.9 | 123.7 | 75.3 | 26 | 110.9 |
Кр-II Al(C2H5)2Cl/Mg(C4H9)2 | ||||
0 | 136.6 | 157.6 | 55 | 120.0 |
3.4 | 125.7 | 90.2 | 31 | 112.6 |
9.0 | 123.0 | 47.0 | 16 | 109.6 |
Таблица 6. Состав и характеристики трех кристаллических компонентов в сополимерах этилен–октен-1, полученных с Кр-I и Кр-II
Прекатализатор | COсопол, мол. % | Компонент | Тпл, оС | Степень кристалличности, % | Содержание, % | Средняя степень кристалличности, % | Аморфная фаза, % |
Кр-I | 3.9 | I | ~124 | 52 | 26 | 41 | 36 |
3.9 | II | ~117 | 46 | 23 | |||
3.9 | III | ~104 | 32 | 51 | |||
Кр-II | 9.0 | I | ~123 | 52 | 15 | 36 | 57 |
9.0 | II | ~116 | 46 | 16 | |||
9.0 | III | ~102 | 30 | 69 |
Механические свойства ПЭ и сополимеров этилен–октен-1
На рис. 6 в координатах σ–ε представлены деформационные кривые ПЭ и двух сополимеров этилен–октен-1, полученных с Кр-I, а в табл. 7 – их механические характеристики.
Рис. 6. Деформационные кривые ПЭ (1) и сополимеров этилен–октен-1 с COсопол = 2.0 (2) и 3.9 мол. % (3), полученных с Кр-I.
Таблица 7. Механические характеристики ПЭ и сополимеров этилен–октен-1, полученных на системе Кр-I–Al(C2H5)2Cl/Mg(C4H9)2
CОсопол, мол. % | Степень кристалличности, % | Е, МПа | σт, МПа | σм, МПа | σр, МПа | σр, МПа |
0 | 68 | 1230 | 27 | 22 | 21 | 225 |
2.0 | 39 | 340 | 13 | 12 | 18 | 610 |
3.9 | 26 | 150 | ~9 | 8 | 18 | 670 |
Деформационная кривая ПЭ типична для аналогичных материалов с большой степенью кристалличности и высокой ММ. Полимер имеет высокий модуль упругости, выраженный предел текучести при ε ~9%, высокий предел прочности и короткую область шейки, <200%. У него отсутствует выраженная стадия деформационного упрочнения (упругое растяжение полностью ориентированного материала), что типично для большинства ПЭ данного типа.
Механическое поведение сополимеров этилен–октен-1 зависит от их состава. Сополимер с COсопол = 2.0 мол. % представляет собой частично кристаллический материал (степень кристалличности ~40%) и ведет себя как типичный линейный ПЭ низкой плотности. Его деформационная кривая имеет выраженный предел текучести при εт ~ 13% и протяженную область шейки, σт – σм = = 1–2 МПа по сравнению с ~5 МПа для ПЭ. Значения σт – σм для этого сополимера в ~2 раза ниже, чем для ПЭ.
Сополимер этилен–октен-1 с COсопол = = 3.9 мол. % имеет существенно более низкую степень кристалличности (~25%) очень низкий модуль упругости Е (~150 МПа) по сравнению с модулем упругости ПЭ (>1200 МПа) и в ~3 раза меньший предел текучести σт. В целом поведение данного сополимера типично для этиленовых эластомеров (сополимеры этилена с алкенами-1).
Полимеризация пропилена
Система Кр-II–Al(C2H5)2Cl/Mg(C4H9)2 не активна в полимеризации пропилена. В то же время система Кр-I–Al(C2H5)2Cl/Mg(C4H9)2 привела, хотя и с небольшой эффективностью, к образованию практически аморфного продукта (табл. 8), в котором фракция, растворимая в кипящем гептане, составляет ~90%.
Таблица 8. Параметры полимеризации пропилена на комплексах Кр-I и Кр-II (растворитель толуол, Т = 50°С, P = 4 атм, CПр = 1.4 моль/л, время 1 ч)
Комплекс | [Ti] × 106, моль | Мольное соотношение | Выход, кг мольTi–1 | |
[Al] : [Ti] | [Al] : [Mg] | |||
Кр-I | 6.7 | 350 | 2.8 | 119 |
Кр-II | 6.8 | 345 | 2.8 | – |
Все ИКи ДСК-характеристики нерастворимой фракции типичны для полимера с низкой степенью изотактичности: степень кристалличности 34%, Тпл = 154°С, D998/D973 = 0.83, D841/D973 = = 0.85 [21, 23].
ЗАКЛЮЧЕНИЕ
Хотя после открытия первых катализаторов полимеризации алкенов на основе TiCl4 прошло 70 лет, природа продуктов, образующихся в реакциях TiCl4 и различных алюминийорганических соединений, остается в значительной степени неизвестной [25–28].
В этой работе описаны две каталитические системы полимеризации алкенов, содержащие в качестве прекатализаторов ионные комплексы: анион [TiCl5∙СН3CN]– и катион 2CH3CN∙M @ди-бензо-18-краун-6]+, где M = Li или K. Активатором служила смесь Al(C2H5)2Cl/Mg(C4H9)2 при соотношении [Al] : [Mg] ~3.
Мы полагаем, что эффективность рассмотренных катализаторов обусловлена образованием высокодисперсного кристаллического MgCl2, поверхность которого обладает льюисовской кислотностью [5, 29].
Mg(C4H9)2 + 2Al(C2H5)2Cl → [MgCl2] +
+ 2Al(C2H5)2(C4H9) (3)
Комбинацию Al(C2H5)2Cl и Mg(C4H9)2 использовали при соотношении [Al] : [Mg] ~3. Таким образом, прекатализаторы содержащие анион [TiCl5∙СН3CN]–, которые добавляли к комбинации Al(C2H5)2Cl/Mg(C4H9)2 на последней стадии приготовления катализатора, могли взаимодействовать как с непрореагировавшим избытком Al(C2H5)2Cl, так и с Al(C2H5)2(C4H9). Можно предположить, что после потери координированной молекулы акрилонитрила анион [TiCl5∙СН3CN]– адсорбируется на поверхности MgCl2 в виде анионных центров (TiCl5–)aдс/[MgCl2], ассоциированных с катионами [ди-бензо-18-краун-6@M]+. Такие центры могут вступать в реакции алкилирования с алюминийорганическими соединениями и образовывать активные центры полимеризации.
Эти каталитические системы формально можно сравнить с системой TiCl4–Al(C2H5)2Cl/Mg(C4H9)2 [7, 8] по следующим показателям.
– Системы на основе Кр-I и Кр-II являются очень активными катализаторами полимеризации этилена. Выход ПЭ за час при 50°С, приведенный к концентрации мономера, достигает ~10 тонн мольTi–1 CЭ–1 для Кр-I и >5 тонн мольTi–1 CЭ–1 для Кр-II. Производительность системы на основе TiCl4 при тех же условиях составляет ~4 тонн мольTi–1 CЭ–1.
– Сополимеризационная способность катализатора на основе Кр-II (r1 ~20 для пары этилен–октен-1) в целом аналогична способности катализатора на основе TiCl4 (r1 ~16 для пары этилен–гексен-1), тогда как сополимеризационная способность катализатора на основе Кр-I ниже (r1 ~40–60) [7].
– Судя по ММР сополимеров, катализаторы обоих типов имеют разное распределение активных центров. Хотя значения Mwср для сополимеров этилена и алкенов-1, полученных с использованием обоих типов катализаторов в сходных условиях, отличаются несущественно (22 × 104 против 32 × 104 для сополимеров с Cалкенсопол ~3 мол. % и 16 × 104 против 24 × 104 для сополимеров с Cалкенсопол = 6–9 мол. %), характер их ММР различен. Катализатор на основе TiCl4 имеет один или два доминирующих типа активных центров, образующих большую часть продукта [7], тогда как распределение активных центров в катализаторах, использующих Кр-I и Кр-II, более равномерное (табл. 2 и 3; рис. 2 и 3).
– Системы с Кр-I и Кр-II являются довольно плохими катализаторами полимеризации пропилена (табл. 8), тогда как катализатор на основе TiCl4 эффективно полимеризует пропилен [8]. Возможно, в этом проявляется главное отличие в каталитических свойствах систем, образованных молекулярными и анионными прекатализаторами.
Авторы выражают благодарность М.А. Мацько и А.А. Антонову (Федеральный исследовательский центр Институт катализа им. Г.К. Борескова СО Российской академии наук, Новосибирск) за анализ полимеров методами ГПХ и ЯМР 13С.
Работа выполнена по программе фундаментальных научных исследований Российской Федерации и поддержана Российским научным фондом (проект № 23-13-00089).
About the authors
Л. А. Ришина
Федеральный исследовательский центр химической физики им. Н.Н. Семенова Российской академии наук
Author for correspondence.
Email: rishina@polymer.chph.ras.ru
Russian Federation, 119991 Москва, ул. Косыгина, 4
Y. V. Kissin
Rutgers, The State University of New Jersey
Email: rishina@polymer.chph.ras.ru
Department of Chemistry and Chemical Biology
United States, 123 Bevier Rd., Piscataway, NJ 08854С. С. Лалаян
Федеральный исследовательский центр химической физики им. Н.Н. Семенова Российской академии наук
Email: rishina@polymer.chph.ras.ru
Russian Federation, 119991 Москва, ул. Косыгина, 4
В. Г. Крашенинников
Федеральный исследовательский центр химической физики им. Н.Н. Семенова Российской академии наук
Email: rishina@polymer.chph.ras.ru
Russian Federation, 119991 Москва, ул. Косыгина, 4
А. А. Заболотнов
Федеральный исследовательский центр химической физики им. Н.Н. Семенова Российской академии наук
Email: rishina@polymer.chph.ras.ru
Russian Federation, 119991 Москва, ул. Косыгина, 4
В. А. Тускаев
Московский государственный университет им. М.В. Ломоносова
Email: rishina@polymer.chph.ras.ru
химический факультет
Russian Federation, 119992 Москва, Ленинские горы 1С. Ч. Гагиева
Московский государственный университет им. М.В. Ломоносова
Email: rishina@polymer.chph.ras.ru
химический факультет
Russian Federation, 119992 Москва, Ленинские горы 1Б. М. Булычев
Московский государственный университет им. М.В. Ломоносова
Email: rishina@polymer.chph.ras.ru
химический факультет
Russian Federation, 119992 Москва, Ленинские горы 1References
- Ziegler K. // Belg. Pat. 533.362. 1955.
- Ziegler K. // Belg. Pats. 540.659, 543.259. 1956.
- Gagieva S.Ch., Kurmaev D.A., Magomedov K.F., Tuskaev V.A., Denisov G.L., Khakina E.A., Zakharchenko E.N., Golubev E.K., Evseeva M.D., Dzevakov P.B., Bulychev B.M. // Eur. Polym. J. 2022. V. 164. P. 111611.
- Gagieva S.Ch., Kurmaev D.A., Tuskaev V.A., Khrustalev V.N., Churakov A.V., Golubev E.K., Sizov A.I., Zvukova T.M., Buzin M.I., Nikiforova G.G., Evseeva M.D., Bulychev B.M. // Eur. Polym. J. 2022. V. 170. P. 111166.
- Kissin Y.V., Mink R.I., Brandolini A.J., Nowlin T.E. // J. Polym. Sci., Polym. Chem. 2009. V. 47. № 13. P. 3271.
- Rishina L.A., Kissin Y.V., Gagieva S.Ch., Lalayan S.S. // Rus. J. Phys. Chem. B. 2019. V. 13. № 5. P. 789.
- Kissin Y.V., Rishina L.А., Lalayan S.S., Krasheninnikov V.G. // J. Appl. Polym. Sci. 2019. V. 136. № 16. P. 47340.
- Rishina L.А., Kissin Y.V., Lalayan S.S., Krasheninnikov V.G. // J. Appl. Polym. Sci. 2019. V. 136. № 16. P. 47692.
- Rishina L.A., Kissin Y.V., Lalayan S.S., Krasheninnikov V.G.. Perepelytsyna E.O., Medintseva T.I. // Polymer Science B. 2016. V. 58. № 2. P. 152.
- Kissin Y.V., Nowlin T.E., Mink R.I., Brandolini A.J. // Macromolecules. 2000. V. 33. № 12. P. 4599.
- Rishina L.A., Galashina N.M., Gagieva S.Ch., Tuskaev V.A., Kissin Y.V. // Eur. Polym. J. 2013. V. 49. № 1. P. 145.
- Rishina L.A., Lalayan S.S., Gagieva S.Ch., Tuskaev V.A., Perepelytsyna E.O., Shashkin D.P., Kissin Y.V. // J. Res. Updates Polym. Sci. 2014. V. 3. P. 216.
- Rishina L.A., Kissin Y.V., Lalayan S.S., Gagieva S.Ch., Kumraev D.A., Tuskaev V.A., Bulychev B.M. // J. Molec. Catal. А. 2016. V. 423. P. 495.
- Rishina L.A., Kissin Y.V., Lalayan S.S., Nedorezova P.M., Krasheninnikov V. G. // Polym. Int. 2022. V. 71. P. 338.
- Meshkova I.N., Ladygina T.A., Ushakova T.M., Novokshonova L.A. // Polymer Science A. 2002. V. 44. № 8. P. 824.
- Kurtz M. S. Ultra-high Molecular Weight Polyethylene in Total Joint Replacement. The Uhmwpe Handbook. San Diego: Elsevier,. 2004.
- Kissin Y.V. // J. Polym. Sci., Polym. Chem. 1995. V. 33. № 2. P. 227.
- Kissin Y.V. Alkene Polymerization Reactions with Transition Metal Catalysts. Amsterdam: Elsevier, 2008. Ch. 2.
- Hsieh E.T., Randall J.C. // Macromolecules. 1982. V. 15. № 6. P. 1402.
- Nowlin T.E., Kissin Y.V., Wagner K.P. // J. Polym. Sci., Polym. Chem. 1988. V. 26. № 3. P. 755.
- Kissin Y.V., Tsvetkova V.I., Chirkov N. M. // Eur. Polym. J. 1972. V. 8. № 4. P. 529.
- Kissin Y.V., Rishina L.A. // Eur. Polym. J. 1976. V. 12. № 10. P. 757.
- Kissin Y.V. // J. Polym. Sci., Polym. Phys. 2011. V. 49. № 3. P. 195.
- Kissin Y.V. Alkene Polymerization Reactions with Transition Metal Catalysts. Amsterdam: Elsevier, 2008. Ch. 3.
- Ziegler K., Martin H., Stedefeder I.// Tetrahedron Lett. 1959. V. 20. № 1. P. 12.
- Ришина Л.А., Журавлева Е.Н., Киссин Ю.В., Пирогов О.Н., Чирков Н.М. // Высокомолек. соед. A. 1974. Т. 16. № 7. С. 1459.
- Чирков Н.М., Матковский П.Е., Дьячковский Ф.С. Полимеризация на металлоорганических комплексных катализаторах. М.: Химия, 1976, Гл. 1, 5.
- Kissin Y.V. Alkene Polymerization Reactions with Transition Metal Catalysts. Amsterdam: Elsevier, 2008. Ch. 6.
- Rishina L.A., Galashina N.M., Gagieva S.Ch., Tuskaev V.A., Kissin Y.V. // Polymer Science B. 2011. V. 53. № 1–2. Р. 284.
Supplementary files








