Influence of Sedimentation Processes on the Dynamics of Cadmium Compounds in Water and Bottom Sediments of the Sea of Azov in 1991–2020
- Authors: Bufetova M.V.1
-
Affiliations:
- Sergo Ordzhonikidze Russian State Geological Exploration University (MGRI)
- Issue: No 2 (2024)
- Pages: 122-136
- Section: Статьи
- URL: https://medbiosci.ru/2413-5577/article/view/260323
- EDN: https://elibrary.ru/RRZLMA
- ID: 260323
Cite item
Abstract
Cadmium is a highly toxic metal actively migrating in the system water–suspended sediments–bottom sediments. The paper aims to study the Cd content in the water and bottom sediments of the Sea of Azov in 1991–2020 and to evaluate the process of sedimentation self-purification of waters. The data on Cd distribution showed that from 1991 to 2009 its concentration decreased slowly in the water of the open part of the sea and in Taganrog Bay with an increase in 2010–2016. Cd concentration in the Sea of Azov water did not exceed the maximum permissible concentration (10 µg/L) for marine waters of fisheries. Levels of Cd contamination in bottom sediments were assessed by comparison with the soil contamination criteria according to the Dutch List. The Cd content in the bottom sediments had been decreasing until 2010 followed by its increase in the open sea and in Taganrog Bay. The Cd content exceeded its clarke value throughout the study period. Cd elimination from the waters of the open sea was 0.9–6.0 tons/year, that from the waters of Taganrog Bay was 0.5–2.4 tons/year. These estimates of Cd fluxes into the bottom sediments can characterize sedimentation self-purification of waters. The period of sedimentation turnover of Cd in the open sea and Taganrog Bay at different Cd concentrations in water during the study period averaged 70 and 13.7 years, respectively, taking into account the differences in the volume of the studied water areas. Dependence of the coefficient of Cd accumulation by bottom sediments on its concentration in water showed that the increased intensity of sedimentation self-purification of waters at low Cd concentrations in water was provided by high concentrating ability of the bottom sediments associated with their granulometric composition. In the Sea of Azov, clay and silt sediments (fraction 0.01 mm) make up over 70 %. With increasing degree of Cd contamination of waters, the accumulation coefficient value decreased and accordingly the contribution of sedimentation processes to water self-purification decreased. The assimilation capacity of the bottom sediments with respect to Cd amounted to 3.8 t/year in the open Sea of Azov and 0.7 t/year in Taganrog Bay.
Full Text
Introduction
The Sea of Azov is an almost isolated shelf water body surrounded by fertile steppe. Limited dimensions, shallow depths, clearly expressed continental climate with its characteristic uneven moisture all together form a unique thermohaline structure of waters and determine the rich biological productivity of the basin [1]. With the status of a fishery reservoir of the highest category, the Sea of Azov has significant economic and recreational potential, therefore, the study of this water body pollution seems to be an urgent task.
Heavy metals are among the most significant ecological pollutants entering the waters of the Sea of Azov. One of the priority metals for environmental monitoring of the sea water area is cadmium, which is classified as hazard class 2 (highly hazardous) and has a toxicological limiting index of harm 1). A distinctive feature of Cd is its high biochemical and physiological activity, the ability not only to be accumulated in various environments, plants and living organisms, but also to spread through food chains. Work [2] shows that Cd is actively accumulated by aquatic organisms even at its low concentrations in water. It can cause morphological, physiological and biochemical disturbances in aquatic organisms when being accumulated in them [3].
Cd is located in the same group of the periodic table with zinc and mercury occupying an intermediate position between them. This is the reason why it is similar to these elements in a number of chemical properties [4]. Cd is a relatively rare and dispersed element concentrated in zinc minerals in the field [5]. Cd can be found in the environment in the form of free hydrate ions and in complex compounds with inorganic ligands (in forms such as complexes of chlorides, carbonates, sulfides and hydroxides) and organic ligands (fulvic, amino and nucleic acids) [6]. Currently, pollution of natural ecosystems with Cd remains one of the serious environmental problems worldwide [7]. In total, the World Ocean waters contain approximately 140 million tons of Cd with its average concentration of 0.1 μg/L [5].
The Cd content in the water and bottom sediments of the Sea of Azov and its basin has been studied by many researchers. The most significant results can be found in [8–12]. It should be noted that significant gaps in the time series of
observations are found in the array of literature data on the Cd concentration in the components of the Sea of Azov ecosystem. The most detailed data on the Cd content in water and bottom sediments of the Sea of Azov from 1986 to 2006 are given in the monograph [9] and on that of Taganrog Bay from 2002 to 2011 are presented in [13, 14]. It is possible to find fragmentary data for some subsequent years in the literature, for example, on the Cd content in the water and bottom sediments of the Temryuk-Akhtarsk region of the Sea of Azov within the licensed area of PRIAZOVNEFT Oil Company LLC in 2013 [15], in the Don Delta in 2012–2014 [16]. General trends in the pollution of the Sea of Azov with heavy metals from 1986 to 2017 are stated in [17]. The information in [12] on the content of heavy metals in water and bottom sediments, including Cd, in dissolved and suspended forms is of great interest. It was also noted in [12] that the distribution of Cd concentration can be somewhat influenced by the hydrometeorological situation along with physicochemical and biochemical factors. It plays an important role for the ecosystem of the Sea of Azov due to its shallow waters and tendency to resuspension of the upper layer of bottom sediments. Article [18] studied the distribution of total Cd concentrations, as well as the dissolved and suspended forms of its migration along the continuum the Mius River estuary – Taganrog Bay of the Sea of Azov, within which two barrier zones are located: the mixing zone of the Mius River waters with the waters of the Mius Estuary and the mixing zone of the Estuary waters with the Taganrog Bay waters.
When studying literature sources, we recorded discrepancies in data on the Cd concentration in the water or bottom sediments of the sea in the same period, which can be stipulated by the use of different methods of sampling and sample preparation. To identify and describe the characteristic trends in the change of Cd pollution in the Sea of Azov over time, we needed a dynamic series, i.e. a series of homogeneous statistical values showing the change of some phenomenon over time. In our case, we needed data obtained from the same observation stations over several years in the same seasons using standard methods of sampling and analysis. The data array on the Cd concentration in the water and bottom sediments of the Sea of Azov in the period from 2010 to 2020 provided to the author by Azovmorinformtsentr, a branch of Zentrregionvodkhoz, under cooperation with the Department of Ecology and Environment Management of Sergo Ordzhonikidze Russian State Geological Exploration University (MGRI) served as such a dynamic series.
As is known, the establishment of maximum permissible concentrations (MPCs) of certain metals in Russia, as well as in Western countries (Guideline concentration for aquatic life, GL), is based on experimental work in aquaria with test objects. Experiments are conducted according to the principle “one metal – organisms of one species” (2–3 test objects are possible). Experimental work to determine the toxic properties of elements on test objects (aquatic organisms) provides information on the relative danger of elements in comparison with each other. Nevertheless, the experimental parameters and test organisms under study have little in common with natural conditions and populations. Standardization is carried out by comparing the measured concentrations of individual metals in a water body with the data obtained in an experiment on test objects [19]. In Russia, these data are provided in the Order of the Ministry of Agriculture of the Russian Federation 1). MPCs do not take into account the properties of water and the sensitivity of organisms; they are used to evaluate the quality of all types of water, from arctic regions with extremely low mineralization to steppe regions where water contains high concentrations of salts [8, p. 676]. Therefore, recently, in addition to the MPCs, biogeochemical criteria for the standardization of the flows of maximum permissible water pollution [20, 21] based on theoretical and empirical evaluation of the ability of the marine environment self-purification have been developed. The use of these criteria makes it possible to manage the marine environment quality in accordance with the objectives of sustainable development of regions by standardizing the maximum permissible volume of flows of chemicals and their compounds in the water area [22].
The paper aimed to study the Cd content in the water and bottom sediments of Taganrog Bay and the central Sea of Azov for 1991–2020 and to determine the time scale of the processes of sedimentation self-purification of waters.
At this, the following tasks were solved:
1) to track the dynamics of the water and bottom sediment pollution in Taganrog Bay and the open Sea of Azov (the sea itself) with Cd;
2) to study the dependence of Cd concentration in the bottom sediments on its concentration in the water based on the accumulation coefficient value;
3) to evaluate the flows of Cd deposition from the water to the bottom sediments;
4) to determine the period of sedimentation turnover of Cd in the aquatic environment;
5) to calculate the assimilation capacity of the bottom sediments with respect to Cd.
This study continues the series of works initiated by [22].
Materials and methods
The Cd MPC 1) is 10 μg/L for sea waters of fishery facilities. No MPCs for heavy metals in the bottom sediments of marine waters have been established. Therefore, it is possible to apply a comparison either with the natural clarke of metals
in the Earth’s crust, or with the permissible concentration levels according to the Dutch List 2) to evaluate the pollution of bottom sediments. The clarke values of the upper continental Earth’s crust proposed by different authors differ significantly for individual elements. The quantitative measure of differences is the geochemical range of the content of a chemical element, calculated as the ratio between the maximum and minimum clarke values of this element. Thus, it is advisable to use the value proposed by R.L. Rudnick (0.09 μg/g) as the Cd clarke [24, 25]. Comparison of the concentration of heavy metals with the Dutch List is generally accepted in geochemical and hydrochemical field and is carried out in accordance with the SP11-102-97 recommendations. According to the Dutch List, the Cd permissible concentration in the bottom sediments is 0.8 μg/g dry weight.
Water samples for analysis were collected with the PE-1220 sampling system in accordance with GOST 31861-2012 and RD 52.24.309-2016 from the surface horizon at 32 points (Fig. 1). The studies were conducted in the central and eastern Sea of Azov and in Taganrog Bay. Water samples were collected in spring (March–April), summer (June–July), autumn (September–October) and winter (December). The outboard works were carried out using standard methods. Chemical analysis of water samples for Cd content was carried out in accordance with the PND F 14.1:2:4.140-98 method where the lower limit of sensitivity was 0.00001 mg/dm3.
Fig. 1. Map of sampling of water and bottom sediments in 2010–2020
Bottom sediment samples for analysis were collected at the same stations as water samples with a DCh-0.034 bottom sampler in accordance with GOST 17.1.5.01-80 in the surface layer of soils (0–2 cm). Bottom sediment samples were collected annually in summer. Chemical analysis of bottom sediment samples for Cd content was performed in accordance with the M-MVI-80-2008 method where the lower limit of Cd sensitivity was 0.00005 mg/g. The Cd content in the water and bottom sediments was measured by the AAS KVANT-Z-ETA device. The error in determining Cd in the water did not exceed 15%, in the bottom sediments – 10%. Water temperature, salinity, pH and dissolved oxygen were also measured at each point.
Retrospective data on the Cd content in the water and bottom sediments of the Sea of Azov in 1991–2006 were additionally used to determine interannual trends [9]. In [9], the studies were conducted according to FR.1.31.2005.01514 – this method preceded that of PND F 14.1:2:4.140-98, according to which the Cd concentrations were determined Azovmorinformtsentr, the branch of Zentrregionvodkhoz. Taking this into account, the data from [9] were used in our work for comparison.
Parameters of the studied areas
Аrea | Total area, km2 | Volume, | Average | Average rate |
Taganrog Bay | 5600 | 25 | 4.9 | 700 |
Open part of the sea | 33400 | 231 | 7.0 | 300 |
Mathematical processing of analytical data was carried out using the standard Excel package. In this work, the study was conducted with average annual fairing of parameters.
Two areas were identified for work in the Sea of Azov: Taganrog Bay and the open Sea of Azov (the sea itself), which is associated with their morphometric and hydrological features (Table).
Main results
Cd enters the Sea of Azov from both natural and anthropogenic sources, such as atmospheric precipitation, river runoff, coastal abrasion with the influx of terrigenous material, intensification of shipping, construction of new and reconstruction of existing ports, wastewater from settlements located on the coast, dumping of contaminated bottom sediments of port waters and approach channels, discharge of drilling fluids and sludge during drilling of oil and gas wells. Cd is contained in fuel oil and diesel fuel (and is released when the fuel is burned), it is used as an additive to alloys, in the application of galvanic coatings (Cd plating of base metals), to obtain Cd pigments needed in the production of varnishes, enamels and ceramics, as a stabilizer for plastics (for example, polyvinyl chloride) in electric batteries, etc. As a result, Cd is emitted in these industries into the atmosphere and wastewater discharges as part of compounds and can enter the marine ecosystem.
Large industrial enterprises, which can be potential sources of Cd entering the sea due to their production cycles, are located on the coast of the Sea of Azov. These include: Taganrog Metallurgical Plant (TAGMET JSC), Taganrog Boiler-Making Plant
(Krasny Kotelshchik TKZ PJSC), Taganrog Commercial Sea Port JSC, Yeisk Sea Port OJSC, Azov Shipyard JSC (Town of Azov), Azovstal Iron and Steel Works (City of Mariupol), Azovmash PJSC (City of Mariupol), Ilyich Iron and Steel Works LLC (City of Mariupol), Temryuk Shipyard LLC (Town of Temryuk), Gazprom Neft OJSC (Town of Primorsko-Akhtarsk), Kerch Sea Port. It should also be noted that 14 soil dumps are located in the waters of the Sea of Azov, 9 of which – in Taganrog Bay. Therefore, they can be a source of Cd pollution.
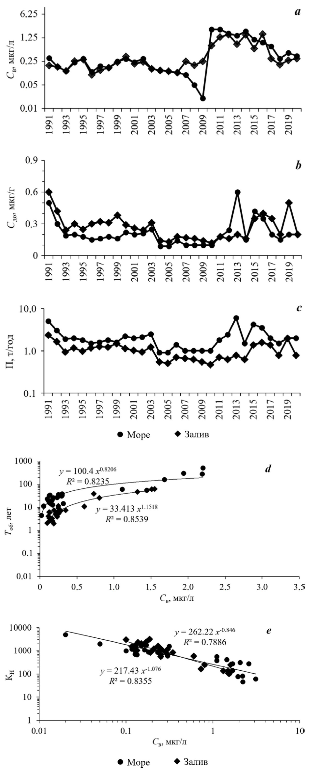
Based on the results of consideration of the characteristics of the distribution of Cd concentration in the water (Cw) of the open Sea of Azov, two phases of water pollution were recorded (Fig. 2, a): from 1991 to 2009, period of their low pollution, up to 5% of the MPC level, and from 2010 – a relatively higher level, although the Сw value of Cd did not exceed the MPC in all cases. The highest concentrations over the entire observation period were recorded in the summer of 2010 in the Kerch Strait (8.2 μg/L), in the summer of 2012 in the central part of the sea (7.1–9.2 μg/L) and in the spring of 2014 in the area of the Dolgaya Spit (up to 9.7 μg/L). In 2019–2020, Cd levels in water in all sea areas were low and ranged from 0.1 to 3.1 μg/L. Materials on changes in the Cd distribution characteristics in Taganrog Bay showed that its concentration in the water was minimal (up to 5% of the MPC) from 1991 to 2009, then an increase was noted (up to 30% of the MPC) from 2010 to 2014 and a decrease after 2017.
One of the most significant factors determining the ability of bottom sediments to concentrate and retain microelements is their granulometric composition. Metals are accumulated well in the finely dispersed fraction of sediments with a particle size of less than 0.05 mm. Clay and silt sediments dominate in the Sea of Azov (fraction 0.01 mm makes up over 70%). They are distributed mainly in the central sea and also accumulated locally in the depressions of estuaries and bays, in elongated troughs among banks. A characteristic narrow area of silts lines the bottom of the Taganrog Bay axial trough at a depth of 5–10 m. All silt sediments are highly organic. The Sea of Azov is characterized by such a sedimentogenesis phenomenon as mixed type of bottom sediments. Their distinctive feature is a mixture in close proportions (from 25 to 40%) of silt, siltstone and sand fractions, including detritus. Areas of mixed sediments tend to be located on the coastal shelf, at the foot of all significant banks of the open sea, and also at the center of the bottom depression in large bays. The sand zone (fraction 1.0–0.1 mm – more than 50%) extends on the Azov shelf as a narrow trail in the coastal area at a depth of up to 2–6 m, as well as on the underwater coastal slope of the spits. Sand and shell deposits form underwater banks at depths of 1–9 m, as well as narrow gentle sandy banks and ridges. In many places where banks are located the deposits are represented by shell rock filled with sand and silt [27, p. 90–91].
The Cd average concentration in the bottom sediments (CBS) of the open sea varied from 20 to 85% of the permissible concentration according to the Dutch List (Fig. 2, b). Nevertheless, the Cd permissible concentration was recorded in some samples every year, mainly in summer. Thus, the permissible concentration in the area of Port Kavkaz in 2011 was 0.8 μg/g and in 2012 – 1.1 μg/g, in the area of the Tuzla Spit in 2018 – 3.1 μg/g, in 2019 – 0.9 μg/g, in 2013 in the area of the Dolgaya Spit (Zhelezinskaya Gully) – 1.1 μg/g, in the Kuban-Akhtarsky district – up to 1.5 μg/g. In the Taganrog Bay bottom sediments, the Cd concentration varied from 0.05 to 1.10 μg/g over the entire observation period. The maximum values exceeding the permissible concentration were recorded in the silt sediments of the central bay in 2016 (1.3 μg/g) and in 2019 (the Mius Estuary – 0.9 μg/g), in 2017 and 2019 in the eastern bay (0.9 and 1.0 μg/g, respectively), in 2019 in the Taganrog port area (1.1 μg/g). If the Cd content in the bottom sediments of the Sea of Azov is evaluated by its clarke, then a widespread excess of the clarke value of this metal is observed throughout the period under study.
Increased concentrations of Cd in some bottom sediment samples can be explained by both anthropogenic influence and changes in the physicochemical environment and dynamics of water masses. As is known, the mobility of metals changes as a result of such physicochemical processes as adsorption, sedimentation and filtration, formation of geochemical (complexation and sedimentation) and biological barriers. Studies of many contaminated natural systems have shown that adsorption/desorption is one of the most significant geochemical processes influencing the migration of inorganic pollutants. Cd sorption depends largely on the composition of the solution in the equilibrium water – rock. When studying the factors influencing the process of Cd distribution in the system water – rock, special attention is paid to the pH, the values of which in the Sea of Azov were in the range of 6.5–9.3 during the observation period. The pH is one of the determining parameters of Cd adsorption, which is about to double with each increase in pH by 0.5 units in the pH range from 4 to 7 [28]. Conversely, Cd associated with suspended matter or bottom sediments can be extracted and pass back to water with a decrease in pH [18]. Studies show that as a result of sedimentation of finely dispersed suspensions, the removal of adsorbing substances from water occurs at a significantly higher rate compared to their chemical destruction.
The behavior of Cd can also be influenced by the amount of O2 and the oxidation-reduction potential (Eh). If only about 2% of Cd can pass from bottom sediments into the pore solution under anaerobic conditions (Eh = −150 mV) and about 20% under moderately reducing conditions (Eh = +50 mV), then about 64% of this metal passes into the pore solution under oxidizing conditions (Eh = +500 mV) [29]. Thus, in the same sea area, when anaerobic conditions of bottom sediments change to aerobic ones, the Cd concentrations in water and bottom sediments can change significantly. Under the conditions of water saturation with oxygen due to photosynthesis and active aeration of waters, Cd is removed as part of iron and manganese oxides and hydroxides with high sorption properties, which are deposited on the surface of bottom sediments in a slightly alkaline environment (pH> 8), thus increasing the Cd content [18].
Expression [30] was used to evaluate the fluxes (Fl) of the Cd annual deposition into the bottom sediments
Fl = Сbs·S·vsed, (1)
where Сbs is metal concentration in the surface layer of bottom sediments, μg/g; S is square of the water area under consideration, km2; vsed is specific sedimentation rate, g/m2/year.
Fig. 2, c shows the results of calculations of the inflow of Cd fluxes into the bottom sediments of Taganrog Bay, the sea itself according to formula (1). The Cd elimination from the waters of the open Sea of Azov was within 0.9–6.0 tons/year, its deposition in the bottom sediments of Taganrog Bay was from 0.5 to 2.4 tons/year. These estimates of Cd deposition fluxes into the bottom sediments can characterize the sedimentation self-purification of waters from this metal.
Fig. 2. Characteristics of cadmium distribution in the open sea and Taganrog Bay: concentration in water, µg/L, (a) and in the surface layer of bottom sediments, µg/g dry weight (b); cadmium deposition flux in the bottom sediment column, t/year (c); sedimentation turnover period of cadmium in water, years (d); dependence of the coefficient of cadmium accumulation by bottom sediments on its concentration in water (e)
The period of heavy metal sedimentation turnover in the aquatic environment (Т, years) equal to the ratio of its pool in water to the flux of deposition into the bottom sediments reflects the time scale of the processes of sedimentation self-purification of waters [20]:
Т = Сw×S×have/Fl or Т = Сw×V/Fl, (2)
where S, V, have and Cw, respectively, are square, km2, volume, km3, average depth, m, and heavy metal concentration, μg/L, in the analyzed water area.
Calculated according to formula (2), the average period of Cd sedimentation turnover in the open sea and in Taganrog Bay at various concentrations in water during the period under study was 70 and 13.7 years, respectively (Fig. 2, d). In general, the process of sedimentation turnover is complex and diverse: before passing into bottom sediments, some chemical elements and their compounds pass from one form to another up to 30–40 times [31].
Study of the trend of change in the Cd accumulation coefficient value by bottom sediments (Coacc = Сbs/Сw) depending on its concentration in water showed that this dependence with a high degree of statistical reliability (determination coefficient R2 is 0.83 in Taganrog Bay and 0.78 in the sea itself) lay on a straight line on a graph with logarithmic scales along the ordinate axes (Fig. 2, e).
Fig. 2, e shows that the increased intensity of sedimentation self-purification of waters at low concentrations of Cd in the water was ensured by sufficiently high (at Coacc > n × 103 units) concentrating capacity of bottom sediments. With an increase in the degree of water pollution by Cd, the value of Coacc decreased and, accordingly, the contribution of sedimentation processes to the self-purification of water decreased.
The obtained materials make it possible to estimate the assimilation capacity of the bottom sediments in relation to Cd. Using the calculation method presented in [31], we found that the assimilation capacity of the bottom sediments in relation to Cd in the open Sea of Azov is 3.8 tons/year and in Taganrog Bay – 0.7 tons/year.
Conclusions
During the period under study, the Cd concentration in the water of the open Sea of Azov and Taganrog Bay did not exceed the MPC. Average annual values of Cd in the bottom sediments of the open sea varied within the range from 20 to 85% of the permissible concentration according to the Dutch List. In in some years, excesses of the permissible concentration were recorded in central and eastern Taganrog Bay. If the Cd content in the bottom sediments of the Sea of Azov is estimated by its clarke, then an excess of concentration is observed throughout the period under study.
Estimates of the annual deposition fluxes of Cd into the bottom sediments showed that the elimination of Cd from the waters of the open Sea of Azov was within 0.9–6.0 tons/year, its deposition in the bottom sediments of Taganrog Bay was from 0.5 to 2.4 tons/year. These estimates of Cd fluxes into the bottom sediments can characterize the sedimentation self-purification of waters from this metal.
The period of Cd sedimentation turnover in the open sea and in Taganrog Bay at various concentrations in water during the period under study averaged 70 and 13.7 years, respectively.
The study of the trend of changes in the Cd accumulation coefficient by the bottom sediments depending on its concentration in water showed that the increased intensity of sedimentation self-purification of water at low concentrations of Cd in water was ensured by high (at Coacc > n·103 units) concentrating capacity of bottom sediments. With an increase in the degree of water pollution by Cd, the value of Coacc decreased and, accordingly, the contribution of sedimentation processes to the self-purification of water decreased.
The assimilation capacity of the bottom sediments in relation to Cd is 3.8 tons/year in the open Sea of Azov and 0.7 tons/year in Taganrog Bay. The observed differences in the periods of Cd sedimentation turnover in the Sea of Azov and in Taganrog Bay, as well as in the magnitude of the assimilation capacity of the bottom sediments in relation to Cd are determined mainly by the area and volume of the water areas under study.
1) Ministry of Agriculture of Russia, 2016. On the Approval of Water Quality Standards for Water Bodies of Commercial Fishing Importance, Including Standards for Maximum Permissible Concentrations of Harmful Substances in the Waters of Water Bodies of Commercial Fishing Importance: Order of the Ministry of Agriculture of Russia dated December 13, 2016, No. 552. Moscow: Ministry of Agriculture of Russia (in Russian).
2) Ministerie van Volkshuisvesting, Ruimtelijke Ordening en Milieubeheer, 2000. Dutch Target and Intervention Values (2000) (the New Dutch List) : Circular on Target Values and Intervention Values for Soil Remediation. Annexes A: Target Values, Soil Remediation Intervention Values and Indicative Levels for Serious Contamination. P. 8. Available at: https://www.yumpu.com/en/document/read/44815398/dutchtarget-and-intervention-values-2000-esdat/13 [Accessed: 20 May 2024].
3) Sorokina, V.V., 2006. [Peculiarities of Terrigenous Sedimentation in the Sea of Azov in the Second Half of the 21st Century]. Ph.D. Thesis. Rostov-on-Don, 216 p. (in Russian).
About the authors
Marina V. Bufetova
Sergo Ordzhonikidze Russian State Geological Exploration University (MGRI)
Author for correspondence.
Email: mbufetova@mail.ru
ORCID iD: 0000-0002-6247-1698
SPIN-code: 9133-4070
Associate Professor of the Department of Ecology and Nature Management, Faculty of Ecology
Russian Federation, MoscowReferences
- Matishov, G.G., ed., 2002. [Ecosystem Studies of the Sea of Azov and its Coastline]. Apatity: Izd-vo KNTS RAN, Vol. IV, 447 p. (in Russian).
- Moiseenko, T.I., Gashkina, T.I. and Dinu, M.I., 2021. Distribution of Metal Species and the Assessment Their Bioavailability in the Surface Waters of the Arctic: Proposals for the Water Quality Standards. Geochemistry International, 59(7), pp. 683–698. https://doi.org/10.1134/S0016702921070053
- Sharov, A.N., Berezina, N.A., Kuprijanov, I., Sladkova, S.V., Kamardin, N.N., Shigaeva, T.D., Kudryavtseva, V.A. and Kholodkevich, S.V., 2022. Cadmium in the Eastern Gulf of Finland: Concentrations and Effects on the Mollusk Limecola balthica. Geochemistry International, 60(7), pp. 702–710. https://doi.org/10.1134/S0016702922060076
- Petrova, A. and Stefunko, M., 2016. Mining and Processing Facilities as Sources of Cadmium Contamination of the Environment. Mine Surveying and Subsurface Use, (1), pp. 52–55 (in Russian).
- Izrael, Yu.A. and Tsyban, A.V., 2009. Anthropogenic Ecology of Ocean. Moscow: Flinta; Nauka, 529 p. (in Russian).
- Efremova, M.A., Sladkova, N.A. and Vyalshina, A.S., 2013. The Dynamics of Cadmium and Potassium Accumulation in Wheat on Soddy-Podzolic and Lowland Peat Soils. Agrohimiâ, (11), pp. 86–96 (in Russian).
- Moiseenko, T.I., 2019. Bioavailability and Ecotoxicity of Metals in Aquatic Systems: Critical Contamination Levels. Geochemistry International, 57(7), pp. 737–750. https://doi.org/10.1134/S0016702919070085
- Bespalova, L.A., 2006. [Ecological Diagnostics and Sustainability Assessment of the Azov Sea Landscape Structure]. Rostov-on-Don: Izd-vo Rostovskogo un-ta, 271 p. (in Russian).
- Klenkin, A.A., Korpakova, I.G., Pavlenko, L.F. and Temerdashev, Z.A., 2007. [Ecosystem of the Sea of Azov: Anthropogenic Pollution]. Krasnodar: OOO “Prosveshcheniye-Yug”, 324 p. (in Russian).
- Fedorov, Yu.A., Mikhailenko, A.V. and Dotsenko, I.V., 2012. Biogeochemical Conditions and Their Role in Mass Transfer of Heavy Metals in Aquatic Landscapes. In: MSU, 2012. Landscape Geochemistry and Soil Geography. Moscow: APR, pp. 332–334 (in Russian).
- Fedorov, Yu.A., Dotsenko, I.V. and Mikhailenko A.V., 2015. The Behaviour of Heavy Metals in Water of the Sea of Azov During a Wind-Driven Activity. Bulletin of Higher Education Institutes North Caucasus Region Natural Sciences, (3), pp. 108–112 (in Russian).
- Mikhailenko, A.V., Fedorov, Yu.A. and Dotsenko, I.V., 2018. [Heavy Metals in Landscape Components of the Sea of Azov]. Rostov-on-Don; Taganrog: Izd-vo Yuzhnogo Federalnogo Universiteta, 214 p. (in Russian).
- Dovlatyan, I.V. and Korolev, A.N., 2002. [Results of the Study of Heavy Metal Pollution in the Taganrog Bay]. Izvestiya SFedU. Engineering Sciences, (1), pp. 255–257 (in Russian).
- Vishnevetskiy, V.Yu. and Ledyaeva, V.S., 2014. Ecological Forecasting of Water Pollution Heavy Metal. Engineering Journal of Don, 4(2), 15 (in Russian).
- Korpakova, I., Larin, A., Korablina, I., Malkhasyan, E. and Temerdashev, Z., 2014. The Content of Heavy Metals in the Water and Bottom Sediments of the Licensed Site of LLC "NK "Priazovneft" in the Sea of Azov in 2013. Environmental Protection in Oil and Gas Complex, (11), pp. 25–29 (in Russian).
- Berdnikov, S.V., Sorokina, V.V., Povazhnyy, V.V., Tkachenko, A.N. and Tkachenko, O.V., 2015. Seasonal and Spatial Dynamics of Total Suspended Matter, Nutrients and Heavy Metals Concentrations in the Don Delta in 2012–2014. In: Federal Service for Hydrometeorology and Environmental Monitoring, 2015. [Modern Problems of Hydrochemistry and Surface Water Quality Monitoring : Proceedings of the Scientific Conference with International Participation. Part 1]. Rostov-on-Don, pp. 141–145 (in Russian).
- Korablina, I.V., Sevostyanova, M.V., Barabashin, T. O., Gevorgyan, J.V., Katalevsky, N.I. and Evseeva, A.I., 2018. Heavy Metals in the Ecosystem of the Azov Sea. Problems of Fisheries, 19(4), pp. 509–521 (in Russian).
- Fedorov, Yu.A., Gar’kusha, D.N., Chepurnaya, V.I., Dotsenko, I.V. and Kostenko, D.F., 2021. Cadmium in Water along the Continuum ‘the Mius Estuary – the Taganrog Bay of the Azov. Geographical Bulletin, 3(58), pp. 115–129. https://doi.org/10.17072/2079-7877-2021-3-115-129
- Moiseenko, T.I. and Gashkina, N.A., 2018. Biogeochemistry of Cadmium: Anthropogenic Dispersion, Bioaccumulation, and Ecotoxicity. Geochemistry International, 56, pp. 798–811. https://doi.org/10.1134/S0016702918080062
- Egorov, V.N., 2019. Theory of Radioisotope and Chemical Homeostasis of Marine Ecosystems. Sevastopol: IBSS, 356 p. https://doi.org/10.21072/978-5-6042938-5-0 (in Russian).
- Pospelova, N.V., Egorov, V.N., Proskurnin, V.Yu. and Priymak, A.S., 2022. Suspended Particulate Matter as a Biochemical Barrier to Heavy Metals in Marine Farm Areas (Sevastopol, The Black Sea. Marine Biological Journal, 7(4), pp. 55–69. https://doi.org/10.21072/mbj.2022.07.4.05 (in Russian).
- Matishov, G.G., Bufetova, M.V. and Egorov, V.N., 2017. The Regulation of Flows of Heavy Metals into the Sea of Azov According to the Intensity of Sedimentation of Water Self-Purification. Nauka Yuga Rossii, 13(1), pp. 44–58. https://doi.org/10.23885/2500-0640-2017-13-1-44-58 (in Russian).
- Bufetova, M.V., 2015. Pollution of Sea of Azov with Heavy Metals. South of Russia: Ecology, Development, 10(3), pp. 112–120. https://doi.org/10.18470/1992-1098-2015-3-112-120) (in Russian).
- Kasimov, N.S., Vlasov, D.V., 2015. Clarkes of Chemical Elements as Comparison Standards in Ecogeochemistry. Moscow University Bulletin. Series 5, Geography, (2), pp. 7–17 (in Russian).
- Rudnick, R.L. and Gao, S., 2003. Composition of the Continental Crust. In: H. D. Holland, K. K. Turekian , 2003. Treatise on Geochemistry, Vol. 3: The Crust. Pergamon, pp. 1–64. https://doi.org/10.1016/B0-08-043751-6/03016-4
- Goptarev, N.P., Simonov, A.I., Zatuchnaya, B.M. and Gershanovich, D.E., eds., 1991. [Hydrometeorology and Hydrochemistry of Seas of the USSR. Vol. 5. The Sea of Azov]. St. Petersburg: Gidrometeoizdat, 236 p. (in Russian).
- Arkhipova, O.E., Bulysheva, N.I., Gargopa, Yu.M., Golubeva, N.I., Inzhebeikin, Yu.I., Kovaleva, G.V., Kondakov, A.A., Krasnorutskaya K.V.1, Lebedeva N.V. [et al.], 2011. Ecological Atlas of the Sea of Azov. Rostov-on-Don: SSC RAS, 328 p. (in Russian).
- Putilina, V.S., Galitskaya, I.V. and Yuganova, T.I., 2012. Sorption when Groundwater Contaminating by Heavy Metals and Radioactive Elements. Cadmium. Novosibirsk, 110 p. (in Russian).
- Papina, T.S., 2001. Transport and Peculiarities of Heavy Metals Distribution in the Row: Water – Suspended Substance – River Ecosystems Sludge. Novosibirsk, 58 p. (in Russian).
- Polikarpov, G.G. and Egorov, V.N., 1986. [Marine Dynamic Radiochemoecology]. Moscow: Energoatomizdat, 176 p. (in Russian).
- Khrustalev, Yu.P., 1999. The Fundamental Problems of the Sedimentogenesis Geochemistry in the Azov Sea. Apatity: Publishing house of the KSC RAS, 247 p. (in Russian).
- Bufetova, M.V. and Egorov, V.N., 2023. Lead Contamination of Water and Sediments of Taganrog Bay and the Open Part of the Sea of Azov in 1991–2020. Ecological Safety of Coastal and Shelf Zones of Sea, (2), pp. 105–119. doi: 10.29039/2413-5577-2023-2-105-119
Supplementary files





