Modeling of Artificial Beach Morphodynamics in the Koktebel Village Coastal Zone (Crimea) under the Storm Wave Impact
- Authors: Kharitonova L.V.1, Lazorenko D.I.1, Alekseev D.V.1, Fomin V.V.1
-
Affiliations:
- Marine Hydrophysical Institute of RAS
- Issue: No 3 (2024)
- Pages: 93-109
- Section: Статьи
- URL: https://medbiosci.ru/2413-5577/article/view/271408
- ID: 271408
Cite item
Abstract
Artificial beaches are one of the most effective methods of protecting shores and hydraulic structures under shortage of natural beach-forming material. This work investigates the influence of extreme storms on the erosion zone width of an artificial pebble beach located in front of a vertical concrete seawall in the village of Koktebel (Feodosia, Crimea). The storm power index in the central part of Koktebel Bay was calculated on the basis of wind wave reanalysis data for 1979–2020 obtained using the SWAN spectral model and ERA-Interim and ERA5 surface wind fields. We identified 146 storm situations with duration of at least 12 hours. Three most extreme storms were analyzed: in terms of power index (660 m2×h), the storm of 26–29 January 1988; in terms of mean significant wave height (3.6 m), the storm of 10–11 November 2007; and in terms of duration (95 h), the storm of 25–29 September 2017. The profile deformations of the artificial pebble beach attached to a vertical concrete seawall were calculated for the first and second storms using a one-dimensional version of the XBeach (eXtreme Beach behavior) numerical model. It was shown, that under the impact of storm waves, the coast steepness near the coastline changes gradually and material from the beach nearshore part slid down the underwater slope leading to a local depth decrease near the shore. It was found, that the underwater erosion zone width of the beach was three times greater than the surface one. The most significant deformations of the beach profile occurred during the first 6 hours of storm action, and then the rate of beach deformation decreased. It was obtained that the coastline in the area of interest could retreat up to 10 m under the impact of an extreme storm. The study revealed that ≥ 20 m wide pebble beaches (a mean particle size of 30 mm) would fully absorb the wave energy of extreme storms and provide adequate protection for the coastal zone of Koktebel Bay.
Keywords
Full Text
Introduction
Since ancient times, the economic activity of mankind has been inextricably linked with the development of the coasts of seas and oceans. In most cases, the Crimean coastline is used in an integrated manner for urban, port and resort construction [1]. Therefore, the requirements for coast protection are the following: coast protection structures should be effective and well integrated into natural processes. Both artificial free beaches and those with beach-retaining structures fulfil such requirements. According to [2], on the Black Sea coast, a wave-absorbing beach should have a width of about 25 m to dampen waves that may occur once in 25 years. Under shortage of beach material, effective and long-term operation of coast protection structures is mainly based on timely and sufficient beach nourishment. When the width of beaches is reduced, not only their wave-absorbing function, but also their recreational opportunities decrease. Thus, recreational beaches should be at least 35 m wide. An important factor for comfortable recreation on the beach is the material forming it. Artificial wave-absorbing pebble and crushed stone beaches have the greatest efficiency and creation and operation of such beaches is 2–3 times cheaper than the creation of sandy beaches from the economic point of view (less volumes of initial filling, abrasion and entrainment of beach-forming material) [2]. The optimum material size for recreational purposes is 30–40 mm.
Currently, a common problem for the Crimean coastline is the significant wear and damage of coast protection structures, the service life of which is close to the limit (50 years) [3]. A significant part of them is in an emergency condition as they were not properly maintained: no beach nourishment has been made, storm-damaged structures were not repaired. From 2014 to the present day, a significant number of coast protection complexes have been reconstructed in the Republic of Crimea under the Federal Target Program. No master plan for coast protection has been implemented in the region. In accordance with Point 5.8 of Regulations 277.1325800.2016 1), additional scientific research is required for its development. In this regard, it is an urgent task to study the dynamics of beaches of different areas of the peninsula under the influence of real extreme storm situations with the help of mathematical modeling methods.
One of the modern freely available models for the study of coastal zone reshaping by hydrodynamic processes is the two-dimensional XBeach (eXtreme Beach behavior) model 2) [4, 5]. Regional modeling studies of coastal zone dynamics
for the Black Sea coasts have been carried out for the Bulgarian [6, 7] and Western Crimea coasts [8–15]. The application of the model to the problems of design and construction of protective hydraulic structures is described in [15].
The purpose of this work is to study the influence of extreme storms on the erosion zone width of an artificial pebble beach located in front of a vertical concrete seawall in the village of Koktebel on the basis of numerical modeling.
Characteristics of area under study
The anthropogenic load varies for different parts of the Crimean coastline. Thus, the eastern coast has been affected by economic activity to the least extent [16]. However, the coastal zone has been transformed to a significant extent in local areas, such as the popular resort village of Koktebel.
The village is located on the Black Sea coast of Koktebel Bay bounded by Cape Planerny from the south-west and Cape Lagerny from the east (Fig. 1). The coastline of the bay is about 7 km long. The bay is shallow: depths of 5 m are noted at a distance of about 200-300 m from the coast and those of about 10–15 m – at the outer boundary of the bay. Winds coming from the land side (sector 0°–90°) are most frequent (~39 %), and the maximum frequency of strong winds (more than 15 m/s) corresponds to the northeastern direction. From the sea side, the most wave-prone sector for the study area is 90°–180°. More than 50 % of all storms enter the study area from the east (90°) and east-southeast (112.5°), with the highest storm waves with heights greater than 2.5 m entering the bay from the east-southeast direction. A study of the bay wind climate based on a reanalysis of wind waves for the present climate period 1979–2020 is given in [17]. The analysis of extreme wave characteristics showed that the duration of storms with significant wave heights greater than 1.57 m varied from 5.6 to 34.3 days, with their average value of 16.4 days. The duration of storms averaged by months varies from 0.6 to 9.8 days. The longest storms (more than 7 days) occur from November to March. The minimum duration of storms (less than 1 day) is observed in May–August.
A detailed description of the anthropogenic impact on the Koktebel Bay coastal zone over the last 100 years is given in [18]. Since the 1950s, the active transformation of the coast began. Industrial extraction of sand and gravel mixtures, construction of a complex of coast protection structures (their refinement and reconstruction) over a significant length of the area led to degradation of natural sand, gravel and pebble beaches which had been 20–30 m wide before that. Blocking of cliffs and regulation of watercourses have led to the fact that at present the natural supply of Koktebel Bay beaches is provided by the abrasion of undeveloped cliffs in the western and eastern parts of the bay and the intake of biogenic material from the underwater coastal slope. Since almost half of the coastal zone is occupied by man-made shores (about 3 km), beaches are largely composed of imported material [18].
Fig. 1. Location of the area under study (a); bathymetric map of Koktebel Bay (b) (reference point with depth of 11.5 m for SWAN-ERA statistical analysis; red line represents profile of the modeled coastal zone)
In [19], a study of the current granulometric composition of sediments
in the Koktebel coastal zone is presented. It is found that the granulometric composition of the sediment is quite varied: coarse-grained pebble and gravel material predominates in the nearshore zone with an admixture of coarse- and fine-grained sandy material (about 15 %); the central part of the beaches consists mainly of coarse gravel (27 %) and coarse sand (26 %) with inclusions of fine gravel (18 %) and medium sand (14 %); coarse gravel predominates (about 60 %) in the rear zone of the beaches.
Fig. 2. Modeling profiles at the width of the designed beach F10 = 10 m, F20 = 20 m, F30 = 30 m and F40 = 40 m in the central part of the embankment in the village of Koktebel. The inset shows the estimated dynamic equilibrium profile for a mean particle size of 30 mm
Reconstruction of the complex of coast protection structures of Koktebel settlement was last carried out in the late 1980s when embankments were built, an artificial beach was created and a reserve crushed stone filling was made on the westernmost section of the coast. This scheme of coast protection structures functioned effectively. However, the area of the reserve filling was developed at the beginning of the 21st century, which resulted in active degradation of beaches and made it necessary to reconstruct the complex of coast protection structures [18]. Reconstruction of the embankment and restoration of the Koktebel Bay beaches with a total length of 1850 m are currently in progress (the period of works is 2023 – end of 2024). The project takes into account the results of this work.
Materials and methods
Data from retrospective wind wave calculations for 1979–2020 from the model data array (hereinafter referred to as the SWAN-ERA array) were used to calculate storm deformations of the beach profile. The reanalysis was obtained using SWAN (Simulating Waves Nearshore) numerical spectral model [20] on an unstructured computational grid with densification in the Black Sea coastal zone [21]. Atmospheric forcing of the model was provided by data from ERA-Interim and ERA5 global atmospheric reanalyses 3).
A node of the calculation grid located in the centre of Koktebel Bay at an isobath of ~11.5 m was selected from the SWAN-ERA array (Fig. 1, b). Long-term series of parameters with a time discreteness of 1 h were formed for this point, including: wind speed and direction at a height of 10 m; significant wave height hs; mean wave period ; mean wave direction q; peak wave period tp. The calculated operational wave characteristics for Koktebel Bay are presented in [17]. For further calculations, storms were identified from the SWAN-ERA array and the SPI (storm power index) was calculated.
Condition [22] was used as a criterion to distinguish storms
, (1)
where hs is significant wave height at a fixed moment of time, m; = 0.61 m is long-term average of hs for this series; s = 0.48 m is standard deviation of the hs series. We obtain that the minimum threshold value of significant wave height is hst = 1.57 m. Thus, a storm is an event defined as a period of time during which hs exceeds the minimum threshold value of hst for a sufficiently long time.
The SPI was calculated with formula [22, p. 5]
, (2)
where hd is average value of hs for the storm period, m; Td is storm duration, h.
The coastal zone profile for modeling was selected to correspond to the central part of the Koktebel village embankment (Fig. 1, b). A profile of the coastal slope was constructed based on the survey data of the nearshore water area of the bay. In the beach area, the original profile was rearranged according to the parameters of the dynamic equilibrium profile of the pebble beach with a mean particle size of homogeneous pebble material D50 equal to 30 mm, which corresponds to the most comfortable beach recreation.
Based on the data on the wave regime in Koktebel Bay [17], the parameters of the transverse profile of the above-water and underwater parts of the beach were calculated according to the regulatory methodology set out in Regulations 277.13258000.2016 1) which define the procedure for the arrangement of coast protection structures on the seashore of the Russian Federation. The calculations were carried out for the third wave breaking, the wave height at the line of the first breaking of 1 % probability was 2.55 m and it was 1.45 m at 30 % probability. According to data from the Feodosia Marine Hydrometeorological Station, in the Baltic Sea System (BS), the sea level of 1% probability of the highest annual values is H1% = 0.28 m BS; mean sea level is H50% = −0.2 m BS. Fig. 2, а shows the obtained dynamic equilibrium profile of the beach.
On the coast, the model profile is bounded by a steep concrete embankment seawall which was given as a non-erodible object with a height mark of 4 m. Further, the initial profile was changed in the nearshore part: the width of the artificial pebble beach was assumed to be equal to 10 (F10), 20 (F20), 30 (F30) and 40 m (F40) in front of the embankment seawall (Fig. 2, b). Since the width of the estimated dynamic equilibrium profile is about 24 m, the beach profile was linearly extended at the 2.73 m height mark for a width of more than 20 m.
A one-dimensional version of the XBeach numerical model was used to simulate storm deformation of beach and underwater coastal slope profiles. The source code of the model is in the public domain 4). The model uses a local coordinate system in which axis x is orientated in the coastal direction perpendicular to the coastline.
The storm waves at the seaward boundary of the computational domain (x = 0) were given with JONSWAP 2) spectrum which is defined by angular wave dispersion index s = 10, significant wave height hs and peak wave period tp.
The spatial resolution in the XBeach model was 0.5 m and the computational domain length was ~550 m. The model time integration was performed with a step Δt = 0.025 s. During the time integration, the beach profiles z(x, t) were produced with a discreteness of 1 h. The beach profile deformation at time t was estimated as
, (4)
where z(x, 0) is beach profile at t = 0.
Discussion of results
SPI calculation for the Koktebel Bay central part made it possible to identify 146 storms with duration of at least 12 h from SWAN-ERA data for 1979–2020. The selected storms exhibit SPI values that range between 62 and 660 m²·h, with average duration of the active phase of storms T = 26 h. During the developed phase of the storm, significant wave height hs varies from 2.3 to 3.6 m, with an average value of 2.6 m. Table 1 presents the characteristics of 25 strongest storms according to storm power index ranked in descending order of its value.
Figs. 3–5 show significant wave height and mean wave direction for three different storms which are extreme by storm index, mean hs and active phase duration.
The first storm situation, designated as S1, commenced on 10 November 2007 and was constituted by a deep, rapidly moving autumn cyclone (Fig. 3). The active phase of the storm lasted 25 h. The prevailing winds were of southeastern and southern directions. The mean significant wave height (hs) for the active phase of the storm was 3.6 m (the maximum value for all identified storms); period (tp) was 9.6 s. At the same time, the SPI storm index was only 320 m2×h (Table 1).
The second (S2) (Fig. 4) and third (S3) (Fig. 5) storm situations commenced on 26 January 1988 and 25 September 2017, respectively. The storms in question were caused by the occurrence of intense prolonged low-moving anticyclonic anomalies characterised by winds originating from the east-southeast (112.5°). Storm S2, having the maximum value of the SPI power index equal to 660 m2×h, is characterised by the following parameter values for the active phase: hs = 2.9 m; tp = 9.4 s; T = 72 h. Storm S3 exhibited the longest active phase duration of all identified storms, spanning a total of 95 h, the power index was 625 m2×h, with a mean significant wave height of 2.6 m.
Table 1. Characteristics of intense storms in the central part of Koktebel Bay according to the SWAN-ERA wave reanalysis data for 1979–2020
Storm start date, | Storm | Average value, | Storm Power Index, m2×h |
1988.01.30 | 77 | 2.9 | 660 |
2017.09.25 | 95 | 2.6 | 625 |
1979.02.18 | 83 | 2.7 | 623 |
1993.11.22 | 87 | 2.7 | 615 |
2005.02.03 | 94 | 2.5 | 570 |
2012.01.25 | 67 | 2.9 | 560 |
2014.10.25 | 58 | 2.8 | 465 |
2012.02.06 | 40 | 3.4 | 460 |
1997.12.15 | 55 | 2.9 | 450 |
1983.09.19 | 56 | 2.7 | 398 |
1998.01.22 | 50 | 2.8 | 378 |
1988.03.01 | 53 | 2.6 | 360 |
1993.11.29 | 50 | 2.7 | 360 |
1981.02.28 | 44 | 2.8 | 338 |
2007.11.10 | 25 | 3.6 | 320 |
1987.10.27 | 44 | 2.7 | 312 |
1993.01.02 | 45 | 2.6 | 310 |
1994.10.21 | 38 | 2.9 | 308 |
2020.02.10 | 30 | 3.1 | 286 |
1979.12.25 | 39 | 2.7 | 274 |
2002.12.01 | 32 | 2.9 | 263 |
1993.11.10 | 38 | 2.6 | 256 |
1980.01.03 | 32 | 2.8 | 254 |
2008.11.22 | 28 | 3.0 | 252 |
2001.11.24 | 24 | 3.2 | 249 |
Fig. 3. Significant wave heights (a) and mean wave direction (b) in the central part of Koktebel Bay for storm (S1) which is extreme by significant wave height value (hs = 3.6 m, T = 25 h, SPI = 320 m2×h) according to SWAN-ERA data
Fig.4. Significant wave heights (a) and mean wave direction (b) in the central part of Koktebel Bay for storm (S2) which is extreme by storm index (SPI = 660 m2×h, hs = 2.9 m, T = 77 h) according to SWAN-ERA data
Fig. 5. Significant wave heights (a) and mean wave direction (b) in the central part of Koktebel Bay for storm (S3) which is extreme by duration (T = 95 hours, hs = 2.6 m, SPI = 625 m2×h) according to SWAN-ERA data
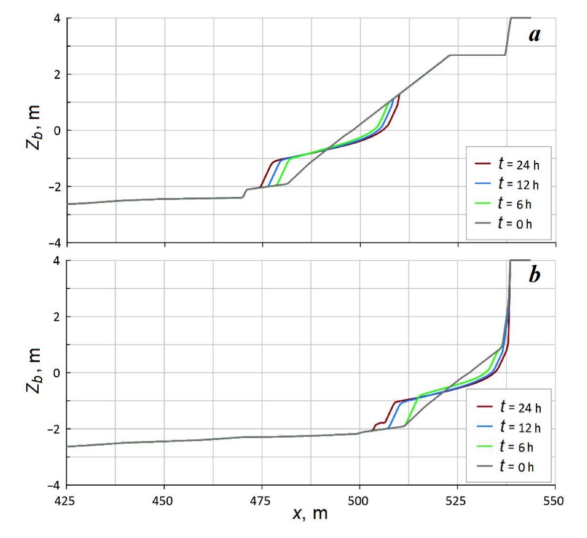
Figs. 6, 7 show the modeling results of the artificial pebble beach deformation profile for their four options during S1 and S2 storms having maximum values of height and power index.
A detailed examination of the graphical data allows us to make the following observations. Under the impact of storm waves, the coast steepness near the coastline changes gradually and pebble material from the beach nearshore part slides down the underwater slope leading to a local depth decrease near the shore. In the upper part of the beach profile, the process of erosion occurs, which results in the retreat of the coastline. The extent of the bottom deformation zone from the coastline is significantly greater than that of the erosion zone of the above-water part of the beach. The most significant deformations of the beach profile occur during the initial stages of the storm. Subsequently, the deformation rate declines due to the increase in wave energy dissipation on the underwater ledge formed by waves.
In order to quantify the extent of coastal zone deformations induced by storms, the following calculations were performed for each of four profile options: LC – erosion zone width of the coast; LS – extent of the bottom deformation zone from the coastline towards the sea. The starting point for determining the LC and LS parameters was the position of the coastline at the initial moment of time. The outer boundary of the bottom deformation zone was identified by locating the coordinate of the initial point out at sea, at which the bottom deformation reached a value of 0.1 m in absolute terms.
Fig. 6. Calculated beach profile F40 (a) and F10 (b) for four points of time during S1 storm
Tables 2, 3 present the results of the LC and LS parameter calculations. The data indicate that the most significant changes in LC and LS occur during the initial six hours of a storm. Therefore, the rate of shoreline retreat can reach 3.9–5.3 m even in a relatively brief storm. Following a period of storm activity lasting 24 hours, the LC values for the S1 storm were observed to range between 6.4 and 8.3 m, while those for the S2 storm ranged between 6.1 and 6.7 m. At the end of the S2 storm (t = 72 h), the LC values attained a maximum range of 9.1–10.0 m. The extent of the underwater erosion zones is three times greater than that of the erosion zones of the above-water part of the beach for all profile types.
The most critical situation occurs at the end of the S2 storm for a profile with a beach width of 10 m (F10): the value of LC = 10 m at t = 72 h. Storm waves erode the beach completely down to the base of the protection seawall, which can be clearly seen in Fig. 7, b. At the same time, the calculated bottom deformation zone also reaches maximum values, with LS = 26.5 m. This phenomenon can be attributed to the augmented backflow that occurs when waves reflect off a concrete seawall and pulls the material to greater depths. A profile with a beach width of 20 m (F20) will result in a shoreline retreat of 9.7 m at the end of the S2 storm, thus leaving an above-water beach width of 10.3 m.
Fig. 7. Calculated beach profile F40 (a) and F10 (b) for six points of time during S2 storm
Table 2. Erosion zone width of the above-water part of beach LС (m) at different durations of S1 and S2 storms
Beach profile | S1 | S2 | ||||||
Storm duration, h | ||||||||
6 | 12 | 24 | 6 | 12 | 24 | 48 | 72 | |
F40 | 5.3 | 6.5 | 7.6 | 4.0 | 5.5 | 6.7 | 8.2 | 9.1 |
F30 | 4.1 | 5.8 | 7.3 | 3.9 | 5.2 | 6.5 | 8.1 | 9.7 |
F20 | 5.0 | 6.9 | 8.3 | 4.0 | 5.5 | 7.2 | 8.8 | 9.7 |
F10 | 4.1 | 5.7 | 6.4 | 3.9 | 5.0 | 6.61 | 7.3 | 10.0 |
Averaged | 4.6 | 6.2 | 7.4 | 4.0 | 5.3 | 6.6 | 8.1 | 9.6 |
Table 3. Width of bottom deformation zone LS (m) from the coastline at different durations of S1 and S2 storms
Beach profile | S1 | S2 | ||||||
Storm duration, h | ||||||||
6 | 12 | 24 | 6 | 12 | 24 | 48 | 72 | |
F40 | 18.5 | 21.0 | 23.0 | 15.0 | 18.5 | 20.5 | 22.5 | 24.0 |
F30 | 16.5 | 19.0 | 23.0 | 14.0 | 17.5 | 20.5 | 23.5 | 25.5 |
F20 | 18.0 | 20.5 | 23.0 | 15.0 | 18.0 | 20.0 | 22.5 | 24.0 |
F10 | 15.5 | 20.0 | 24.0 | 14.5 | 17.5 | 20.0 | 23.0 | 26.5 |
Averaged | 17.1 | 20.1 | 23.3 | 14.6 | 17.9 | 20.3 | 22.9 | 25.0 |
In the more intense but less prolonged S1 storm, no erosion of the F10 profile to the foundation of the protection seawall is observed. After the storm, the beach width is ~3.5 m, and even a relatively minor swell will cause the embankment seawall to be bombarded with pebbles and to collapse as soon as possible.
The calculations conducted for the S2 storm demonstrated that the profile deformations remained insignificant even after 48 hours of storm impact. The results for a longer, weaker storm (S3) yielded comparable outcomes and are not included in the paper. Accordingly, calculations for a longer, weaker storm were not conducted.
Thus, the results of the numerical experiments suggest that at mean particle size of the beach-forming material D50 = 30 mm, the construction of artificial beach profiles with a width of 20 m or more can serve to mitigate the impact of storm surges, thereby providing an effective means of protection from extreme wave action.
Conclusion
The storm power index (SPI) was calculated for the central part of Koktebel Bay based on the wave reanalysis data for 1979–2020. A total of 146 storms with a minimum duration of 12 h were also identified. Three most extreme storms were analyzed. The storm of 10–11 November 2007 had the maximum value of significant wave height (hs = 3.6 m). The storm of 26–29 January 1988 was the most powerful (SPI = 660 m2×h) in the 41-year period under review. The storm situation of 25–29 September 2017 was also identified as the longest on record (T = 95 h).
For real extreme storms, the deformation profile of the artificial pebble beach located in front of the steep seawall of the embankment was calculated. The width of the beach was 10, 20, 30 and 40 m. It was shown that under the impact of storm waves, the coast steepness near the coastline changed gradually and material from the beach nearshore part slid down the underwater slope leading to a local depth decrease near the shore.
In the upper part of the beach profile, erosion occurs, resulting in the retreat of the coastline. The length of the erosion zone of the underwater coastal slope in the nearshore zone is three times the width of the above-water beach erosion. The most significant deformations of the beach profile occur during the first 6 hours of storms. Further, the beach deformation rate decreases due to the increase in wave energy dissipation on the underwater ledge formed by waves. The erosion of the above-water part of the beach can reach 10 m.
In light of the findings from the numerical experiments, it can be concluded that at mean particle size of the beach-forming material D50 = 30 mm, a beach 10 m wide or less in front of a cliff or breakwater cannot absorb the energy of storm waves. Even a brief storm would result in significant erosion of the beach and active erosion of the breakwater seawall by pebble bombardment. It is improbable that the beach at this location would be restored naturally, as the reflection of waves from the surface of the seawall would tend to pull beach-forming material down to depth and carry it away by the longshore flow.
The study revealed that ≥ 20 m wide pebble beaches would fully absorb the wave energy of extreme storms and provide adequate protection. Nevertheless, when designing a beach with recreational value, it is recommended that the width of the beach exceed 30 m.
1) JSC TsNIITS, 2016. Book of Rules СП 277.13258000.2016. Coastal protection constructions. Design rules. Moscow, 91 p. (in Russian).
2) Roelvink, D.J.A., van Dongeren, A., McCall, R.T., Hoonhout B., van Rooijen, A., van Geer, P., de Vet, L., Nederhoff, K. and Quataert, E., 2015. XBeach Technical Reference: Kingsday Release. Model Description and Reference Guide to Functionalities. Delft: Deltares, 141 p. doi:10.13140/RG.2.1.4025.6244
3) Available at: https://www.ecmwf.int/en/forecasts [Accessed: 20 August 2024].
4) Available at: http://oss.deltares.nl/web/xbeach [Accessed: 20 August 2024].
About the authors
L. V. Kharitonova
Marine Hydrophysical Institute of RAS
Author for correspondence.
Email: l.kharitonova@mhi-ras.ru
ORCID iD: 0000-0003-0705-0812
ResearcherId: Y-1780-2018
старший научный сотрудник, кандидат географических наук
Russian Federation, SevastopolD. I. Lazorenko
Marine Hydrophysical Institute of RAS
Email: d.lazorenko@mhi-ras.ru
ORCID iD: 0000-0001-7524-565X
ResearcherId: J-1925-2015
научный сотрудник, кандидат технических наук
Russian Federation, SevastopolD. V. Alekseev
Marine Hydrophysical Institute of RAS
Email: d.alekseev@mhi-ras.ru
ORCID iD: 0000-0003-4006-0967
ResearcherId: I-3548-2017
ученый секретарь, кандидат физико-математических наук
Russian Federation, SevastopolV. V. Fomin
Marine Hydrophysical Institute of RAS
Email: v.fomin@mhi-ras.ru
ORCID iD: 0000-0002-9070-4460
ResearcherId: H-8185-2015
главный научный сотрудник, доктор физико-математических наук
Russian Federation, SevastopolReferences
- Shuisky, Yu.D., 2022. Anthropogenous Relief of Coastal Zone of a Seas (the Black and Azov Seas for Example). Odessa: Fenix, 102 р. (in Russian).
- Shakhin, V.M., Ribka, V.G. and Yaroslavtsev, N.A., 2001. A Modern Condition of a Coastal Zone and Coastal-Protection Structures of the Black and Azov Seas within the Limits of Krasnodar Region. In: N. A. Aibulatov, ed., 2001. The Mankind and the Coastal Zone of the World Ocean in XXI Century. Moscow: GEOS, pp. 423–429 (in Russian).
- Goryachkin, Yu.N. and Markov, A.A., 2009. Effectless Analysis of Reconstruction of Crimean Coastal Protection Structures. The Hydrotechnika, (3), pp. 2–9. https://doi.org/10.55326/22278400_2023_3_2 (in Russian).
- Roelvink, D., Reniers, A., van Dongeren, A., van Thiel de Vries, J., McCall, R. and Lescinski, J., 2009. Modelling Storm Impacts on Beaches, Dunes and Barrier Islands. Coastal Engineering, 56(11–12), pp. 1133–1152. https://doi.org/10.1016/j.coastaleng.2009.08.006
- Bolle, A., Mercelis, P., Roelvink, D., Haerens, P. and Trouw, K., 2011. Application and Validation of Xbeach for Three Different Field Sites. Coastal Engineering Proceedings, 1(32), sediment 40. https://doi.org/10.9753/icce.v32.sediment.40
- Kuznetsova, O.A. and Saprykina, Ya.V., 2017. Intra-Annual Storm Deformations of Sandy Beach by an Example of Kamchia-Shkorpilovtsi Coast (Black Sea, Bulgaria). Processes in Geomedia, (1), pp. 435–444 (in Russian).
- Kuznetsova, O.A. and Saprykina, Ya.V., 2019. Modeling the Dynamics of a Sand Beach Governed by the Wave and Underwater Bar Interaction. Geomorfologiya, (3), pp. 57–67. https://doi.org/10.31857/S0435-42812019357-67 (in Russian).
- Kharitonova, L.V., Ivancha, E.V. and Alekseev, D.V., 2015. Effect of Storm Surges and Wind Waves on Morphodynamic Processes in the Bakalskaya Spit Region. Physical Oceanography, (1), pp. 73–84. https://doi.org/10.22449/1573-160X-2015-1-73-84
- Korzinin, D.V., 2015. Features of Formation Equilibrium Profile Underwater Coastal Slope (Accumulative Coast of the West Crimea As Example). Ecological Safety of Coastal and Shelf Zones of Sea, (1), pp. 29–33 (in Russian).
- Gurov, K.I., Fomin, V.V. and Lazorenko, D.I., 2016. Mathematical Modeling of the Redistribution of Sand Fractions According to a Underwater Coastal Slope Under the Influence of the Wind Waves. Ecological Safety of Coastal and Shelf Zones of Sea, (3), pp. 65–71 (in Russian).
- Fomin, V.V., Gurov, K.I., Udovik, V.F. and Konovalov, S.K., 2016. Dynamics of the Nearshore Zone of Kalamitskiy Gulf (Black Sea) under Influence of Wind Waves. In: International EMECS Center, 2016. Proceedings of XXVI International Coastal Conference «Managing Risks to Coastal Regions and Communities in a Changing world». St. Petersburg, August 22–27, 2016. Academus Publishing, 2016. P. 1–1. https://doi.org/10.31519/conferencearticle_5b1b948b20d587.32401065
- Gurov, K.I., Udovik, V.F. and Fomin, V.V., 2019. Modeling of the Coastal Zone Relief and Granulometric Composition Changes of Sediments in the Region of the Bogaily Lake Bay-Bar (the Western Crimea) during Storm. Physical Oceanography, 26(2), pp. 170–180. https://doi.org/10.22449/1573-160X-2019-2-170-180
- Gurov, K.I., Fomin, V.V., Alekseev, D.V. and Ivancha, E.V., 2019. Sediments Granulometric Composition Dynamics in the Kalamitsky Gulf. In: MEDCOAST, 2019. 14th MEDCOAST Congress on Coastal and Marine Sciences, Engineering, Management and Conservation, MEDCOAST 2019. Marmaris, 2019. Vol. 2, pp. 597–606.
- Gurov, K.I. and Fomin, V.V., 2021. Influence of Storm Conditions on Changes in the Granulometric Composition of Bottom Sediments in the Coastal Zone of the Western Crimea. Ecological Safety of Coastal and Shelf Zones of Sea, (2), pp. 30–46. https://doi.org/10.22449/2413-5577-2021-2-30-46 (in Russian).
- Fomin, V.V. and Goryachkin, Yu.N., 2022. Accounting for the Local Wave and Morphodynamic Processes in Coastal Hydraulic Engineering. Physical Oceanography, 29(3), pp. 271–290. doi: 10.22449/1573-160X-2022-3-271-290
- Goryachkin, Yu.N. and Efremova, T.V., 2022. Anthropogenic Impact on the Lithodynamics of the Black Sea Coastal Zone of the Crimean Peninsula. Ecological Safety of Coastal and Shelf Zones of Sea, (1), pp. 6–30. https://doi.org/10.22449/2413-5577-2022-1-6-30
- Kharitonova, L.V., Fomin, V.V. and Alekseev, D.V., 2024. Wave Climate of Koktebel Bay (Crimea) of the Black Sea. In: T. Chaplina, ed., 2024. Processes in GeoMedia—Volume VIII. Springer Geology. Springer, 12 p. https://doi.org/10.1007/978-981-97-6627-7_28
- Goryachkin, Yu.N., 2024. Anthropogenic Impact on the Coastal Zone of Koktebel Bay (Black Sea) over the Last 100 Years. Ecological Safety of Coastal and Shelf Zones of Sea, (2), pp. 6–22.
- Gurov, K.I., 2023. Granulometric Composition of Sediments in the Coastal Zone of Koktebel Bay (Crimea). Ecological Safety of Coastal and Shelf Zones of Sea, (4), pp. 34–45.
- Booij, N., Ris, R.C. and Holthuijsen, L.H., 1999. A Third-Generation Wave Model for Coastal Regions: 1. Model Description and Validation. Journal of Geophysical Research: Oceans, 104(C4), pp. 7649–7666. https://doi.org/10.1029/98JC02622
- Divinsky, B.V., Fomin, V.V., Kosyan, R.D. and Ratner, Y.D., 2020. Extreme Wind Waves in the Black Sea. Oceanologia, 62(1), pp. 23–30. https://doi.org/10.1016/j.oceano.2019.06.003
- Amarouche, K. and Akpınar, A., 2021. Increasing Trend on Storm Wave Intensity in the Western Mediterranean. Climate, 9(1), 11. https://doi.org/10.3390/cli9010011
Supplementary files










