Mathematical modeling of functionally graded porous geometrically nonlinear micro/nano cylindrical panels
- Authors: Krysko A.V.1, Kalutsky L.A.2, Zakharova A.A.3, Krysko V.A.2,4
-
Affiliations:
- Moscow State University of Technology “STANKIN”
- Lavrentiev Institute of Hydrodynamics, Siberian Branch of the Russian Academy of Sciences
- Trapeznikov Institute of Control Problems, Siberian Branch of the Russian Academy of Sciences
- Institute for Precision Mechanics and Control Problems of the Russian Academy of Sciences
- Issue: Vol 335, No 3 (2024)
- Pages: 216-229
- Section: Articles
- URL: https://medbiosci.ru/2500-1019/article/view/267429
- DOI: https://doi.org/10.18799/24131830/2024/3/4505
- ID: 267429
Cite item
Full Text
Abstract
Relevance. The study investigates the problem of stress-strain state and stability of porous functional-gradient size-dependent cylindrical panels. The composition and properties of alloys can differ and significantly affect the performance characteristics of products. Therefore, the research of material properties is relevant and contributes to the creation of new types of products demanded by the oil and gas industry.
Aim. Development of a new model and creation of accurate methods for analyzing the stress-strain state of porous functional-gradient size-dependent micro/nano cylindrical panels taking into account geometrical nonlinearity.
Methods. The method of variational iterations – the extended Kantorovich method is used to analyze the stress-strain state of cylindrical panels. The validity of the results is ensured by comparing the solutions obtained by the method of variational iterations in the first and second approximations with the solutions obtained by the authors, by the Bubnov–Galerkin method in higher approximations, by the finite difference method of the second order of accuracy, for which their convergence is investigated depending on a number of partitions of the integration area in the finite difference method and the number of series terms in the expansion of the basic functions in the Bubnov–Galerkin method. The results obtained by these methods are compared with the solutions obtained by other authors. It should be no-ted that the solutions obtained by the method of variational iterations for bending of functionally graded cylindrical panels under the action of transverse uniformly distributed load can be considered accurate.
Results and conclusions. The authors have constructed the model of porous functional-gradient size-dependent cylindrical panels. Its use will allow studying the properties of alloys for producing drill pipes. The influence of material porosity type, porosity index, functional-gradient index, boundary conditions, size-dependent parameter, curvature parameters on the stress-strain state of cylindrical panels was analyzed using the developed method of variational iterations.
Full Text
Введение
Ресурсозатратным при разведке и разработке нефтегазовых месторождений является процесс бурения скважин. Важной составной частью бурильной колонны являются бурильные трубы, которые обеспечивают механическую и гидравлическую связь между работающим на забое режущим инструментом и поверхностным бурильным оборудованием.
Бурильные трубы используются для транспортировки породоразрушающего инструмента по скважине, образования нужного вращения и крутящего момента с одновременной передачей осевой нагрузки, создания гидравлической энергии при использовании забойных устройств и выполнении других технологических операций. Для нефтегазодобычи в настоящее время преимущественно осуществляется глубокое бурение в экстремальных условиях (температура, давление, агрессивная среда), скважин с большим отклонением и горизонтальным окончанием, что предъявляет высокие требования к надежности изделий, их способности выдерживать напряженно-деформированное состояние (НДС) и преодолевать силы сопротивления в процессе проводки ствола скважины [1–3].
Одним из путей преодоления указанных проблем является использование бурильных труб, изготовленных из специальных алюминиевых сплавов. Физико-механические свойства таких изделий отличаются от свойств стальных изделий низким удельным весом, высокой удельной прочностью, коррозионной стойкостью, виброподавляющими и немагнитными свойствами [3–5].
Перспективным направлением развития бурильных труб является создание функционально-градиентных (ФГ) материалов, механические свойства и химический состав которых изменяется по толщине. В работе рассматривается конструкция, материал которой состоит из керамики и алюминия. Он превосходит свойства алюминия по прочности и вибропоглощению [2, 4].
Пористые и функционально-градиентные материалы благодаря своим физическим свойствам: хорошему поглощению энергии и звука, теплообмену, инфильтрационным свойствам и низкой плотности, находят широкое применение в различных отраслях техники и промышленности: нефтегазодобыче, металлургии, медицине, авиапромышленности, машиностроении и др. В данном обзоре рассматриваются работы, посвященные исследованию геометрически нелинейных ФГ цилиндрических панелей и оболочек с учётом нелинейности фон Кармана–Доннела.
Метод Бунова–Галеркина (Bubnov-Galerkin method – BGM) в первом приближении является одним из наиболее широко используемых методов для анализа ФГ цилиндрических панелей и оболочек. Данный метод использовался при анализе ФГ цилиндрической панели при осевом сжатии [6], при исследовании ФГ двоякоизогнутых несовершенных неглубоких оболочек из композита, армированного углеродными нанотрубками [7], при анализе тонких оболочек в задачах динамики с учетом демпфирования под действием механических нагрузок [8]. Данный метод также применялся в работе [9] при анализе нелинейного отклика ФГ цилиндрических панелей при равномерном боковом давлении с учетом температурных эффектов и в работе [10] для исследования нелинейных динамических характеристик и свободных колебаний ФГ пористой усечено-конической панели. Аналитические выражения с применением процедуры BGM для получения явных выражений и соотношений между нагрузкой и прогибом для ФГ плоских и цилиндрических панелей, подверженных термомеханическим нагрузкам, опирающихся на упругие основания, представлены в [11, 12]. Отметим, что в указанных работах BGM использовался в первом приближении, что является приближенным решением и содержит большие погрешности. Данный метод также использовался при изучении влияния косых ребер жесткости на нелинейное статическое и динамическое поведение цилиндрических панелей [13] и при анализе характеристики свободных колебаний и нелинейных откликов цилиндрических панелей [14].
Анализ изгибания ФГ цилиндрической панели конечной длины, подверженной боковому давлению в тепловой среде, проведен в работе [15]. Для определения нагрузок смятия используется метод возмущений.
Термомеханический анализ разрушения цилиндрических панелей, изготовленных из ФГ материалов с термоупругими свойствами, представлен в [16]. Полуаналитический метод на основе дифференциальных квадратур (Differential Quadratures – DQ) используется для прогнозирования критической нагрузки смятия. Анализируется влияние зависящих от температуры свойств материала, осевой нагрузки, геометрических параметров и граничных условий на термомеханическое поведение панели.
Анализ вышеприведённых исследований позволяет сделать ряд выводов: расчёты выполнены для ФГ цилиндрических и сферических квадратных панелей в плане оболочек, описываемых уравнениями Кармана–Донелла на основе кинематических моделей Киргофа–Лява. В качестве метода расчёта в большинстве работ используется BGM в первом приближении для одного типа краевых условий. Применение метода Бубнова–Галеркина позволяет получить аналитическое решение, но это решение приближенное. Для получения достоверных результатов при проведении анализа нелинейного поведения пористых функционально-градиентных материалов (Porous Functional-Gradient Materials – PFGM) цилиндрических панелей следует проводить в высших приближениях, добиваясь сходимости метода (совпадения не только основных функции, но их производных, хотя бы до второго порядка включительно в зависимости от номера приближения). В настоящей работе решения получены для уравнений фон Кармана–Донелла, описывающих гибкие замкнутые цилиндрические оболочки (цилиндры), а также их фрагменты – цилиндрические панели, изготовленные из PFGM для различных параметров кривизны, пористости, граничных условий, наноэффектов. Основные результаты получены методом вариационных итераций – расширенным методом Канторовича (Variational Iteration Method – VIM). Эти решения сопоставляются с решениями, полученными методом Бубнова–Галеркина (BGM) в высших приближениях и методом конечных разностей (Finite Difference Method – FDM), а также с результатами, полученными другими авторами [9, 17]. Точность и эффективность метода вариационных итераций показана в работах [18–23]. Доказательство сходимости метода VIM опубликовано в работах [19]. Показано, что метод вариационных итераций обладает высокой скоростью и сходимостью.
Постановка задачи: математическая модель геометрически нелинейных функционально градиентных пористых микро/наноцилиндрических панелей
Рассмотрим цилиндрическую панель – фрагмент замкнутой цилиндрической оболочки, как трёхмерное тело VÎ{0≤x≤a, 0≤y≤b, –h/2≤z≤h/2} постоянной толщины h, со сторонами a, b в плоскости x, y (рис. 1).
Рис. 1. Расчетная схема цилиндрической панели – фрагмента замкнутой цилиндрической оболочки
Fig. 1. Calculation diagram of a cylindrical panel – fragment of a closed cylindrical shell
Срединную поверхность при z=0 обозначим как R={x,y/(x,y)Î[0,a]´[0,b]}. W(x,y) – область изменения переменных x и y.
Для получения исходных уравнений приняты следующие гипотезы:
- Гипотеза Кирхгофа–Лява.
- Геометрическая нелинейность по теории Теодора фон Кармана.
- Наноэффекты введены согласно модифицированной моментной теории упругости [24], которая учитывает моменты высших порядков. Данная теория имеет то преимущество, что в ней используется только один параметр длины материала, что делает ее удобной для численной реализации.
- Материал панели упругий, и его механические свойства зависят от координаты z: E(z), v(z) согласно функционально-градиентной теории [25, 26]:
I. U-PFGM
(1)
II. X-PFGM
(2)
III. O-PFGM
(3)
IV. type 1
(4)
где Ec, Em, vc, vm – модули Юнга и коэффициенты Пуассона керамической и металлической фаз функционально-градиентного материала; p – функционально-градиентный материальный индекс. Коэффициент p определяет соотношения объёмных долей керамики и металла в материале. Г∈ [0;0, 4] – показатель пористости.
Пористость и градиентность материала панели определены с помощью степенных функций [25]: равномерная пористость (U-PFGM (I)), повышенная пористость от верхней и нижней поверхностей к центру (O-PFGM (II)), уменьшенная пористость от верхней и нижней поверхностей к центру (X-PFGM (III)) и тот же самый тип распределения пористости, в котором пористость и градиентность определены с помощью тригонометрических функций [26] (type 1 (IV)). Иллюстрация типов пористости маетриала приведена на рис. 2.
Рис. 2. Схемы пористого материала
Fig. 2. Schematics of porous material
Выражение упругой энергии имеет вид (5)
(5)
первые три слагаемые – это классическая теория, а подчёркнутые слагаемые – компоненты симметричного тензора градиента кривизны, определяются по модифицированной моментной теории упругости [24], внешняя работа распределенных сил q(x,y) принимает вид (6)
(6)
кинетическая энергия имеет вид (7)
(7)
где, – плотность материала панели.
Деформации произвольной точки панели, согласно гипотезе Кирхгофа–Лява и соотношениям фон Кармана, вычисляется по формулам (8):
(8)
Напряжения, входящие в выражение для упругой энергии, вызванные кинематическими параметрами, определены следующими уравнениями состояния (9):
(9)
здесь σxx, σyy, σxy – компоненты классического тензора напряжений; mxx, myy, mxy – моменты высшего порядка девиаторной части симметричного тензора; χxx, χyy, χxy – компоненты симметричного тензора кривизны.
Согласно принципу Остроградского–Гамильтона (10)
(10)
получим систему вариационных и дифференциальных нелинейных уравнений в частных производных с учетом гипотез, изложенных выше, для пористых функционально-градиентных размерно-зависимых цилиндрических панелей в смешанной форме относительно функций прогиба w(x,y) и функции напряжений F(x,y). Для статики нелинейные дифференциальные уравнения фон Кармана–Донелла в безразмерном виде имеют вид (11)
(11)
Уравнения (11) приведены к безразмерным параметрам согласно (12)
(12)
где E(z) – модуль упругости; v(z) – коэффициент Пуассона функционально градиентного материала, определяемого соотношениями (1)–(4); q(x,y) – поперечная нагрузка на цилиндрическую панель; – цилиндрическая жёсткость панели с учетом размерно-зависимого параметра . При модифицированная моментная теория упругости позволяет учитывать масштабные микро/наноэффекты. Нанопанелью является панель, толщина которой находится в нанодиапазоне h<1000 нм. В работе [27] и в настоящей работе величина размерно зависимого нанопараметра принята l=2,9 нм, значение параметра позволяет учитывать полноразмерные структуры. В уравнениях (11) и далее в работе черточки над безразмерными параметрами для простоты опущены.
Граничные условия:
I. Шарнирное опирание по контуру на гибкие несжимаемые (нерастяжимые) в касательной плоскости ребра
. (13)
II. Свободное опирание по контору
(14)
III. Защемление по контуру
. (15)
IV. Защемление по контуру на гибкие нерастяжимые (несжимаемы) касательные в плоскости ребра
(16)
где – нормаль к серединной поверхности. Визуализация граничных условий приведена в табл. 1.
Таблица 1. Визуализация граничных условий
Table 1. Visualization of boundary conditions
Граничные условия Boundary conditions | (I), (13) | |
(II), (14) | ||
(III),(15) | ||
(IV),(16) |
Методы анализа геометрически нелинейных функционально градиентных пористых микро/нанопанелей
Первоначально следует доказать, что решения, полученные с помощью метода вариационных итераций для анализа НДС пористых функционально-градиентных цилиндрических панелей, обладают высокой точностью. С этой целью в исследовании разработаны альтернативные методы – это BGM в высших приближениях и FDM, для которых исследуется сходимость методов.
Метод вариационных итераций основан на идее Фурье разделения переменных. Представляем функции w, F в виде суммы произведений функций (17)
(17)
Задаем функции произвольным образом (даже не удовлетворяя краевым условиям), функции являются искомыми. Применяя процедуру BGM для полноразмерной структуры по координате x, получим по координате y систему 2N обыкновенных нелинейных дифференциальных уравнений (ОДУ). Решая систему ОДУ методом конечных разностей второго порядка точности с соответствующими граничными условиями, находим функции . Первая итерация VIM является методом Канторовича–Власова (Kantorovich–Vlasov Method – KVM).
Полученные таким образом функции на втором шаге считаем аппроксимирующими, а функции – искомыми. Далее, применяя процедуру Бубнова–Галеркина, получили по другой координате y систему обыкновенных 2N уравнений по другой координате x. Продолжаем данный итерационный процесс до тех пор, пока решения на двух последовательных итерациях не совпадут в пределах принятой точности вычислений
где wi=w(0,5;0,5) – решение, полученное на i-й итерации. Доказательство сходимости метода вариационных итераций дано в работе [20].
Замечание: при решении KVM и BGM функции задаются исходя из удовлетворения краевым условиям, в то время как в методе вариационных итераций (VIM) этого не требуется, можно задавать функции, не удовлетворяя краевым условиям.
Метод Бубнова–Галеркина также основан на идее Фурье о разделении переменных. Представим функции w(x,y),F(x,y) в следующем виде:
(18)
причём каждая из выбранных функций φi(x), Ψj(y), ai(x), βj(y) в (18) должна точно удовлетворять соответствующим граничным условиям. При решении уравнения (11) для граничных условий (13) функции представляются в виде (19)
(19)
Применив BGM, получим систему 2N2 нелинейных алгебраических уравнений относительно неизвестных коэффициентов Ai,j, Bi,j. Полученную систему решаем методом Ньютона–Рафсона.
К системе нелинейных уравнений в частных производных фон Кармана–Донела (11), описывающих устойчивость гибких наноцилиндрических панелей по пространственным координатам W(x,y), применим метод конечных разностей второго порядка точности (FDM), заменив производные разностными соотношениями значений функции при делении области на n2 отрезков, получим систему 2N2 нелинейных алгебраических выражений. Полученную систему решаем методом Ньютона–Рафсона. Деление области W(x,y) на конечные разности проводилось до совпадения решения не только основных функций w(x,y),F(x,y), но и их производных, до второго порядка включительно.
Достоверность получаемых результатов
Для получения достоверных результатов сопоставим решения q[w(0,5;0,5)], полученные методами вариационных итераций в первом и втором приближении (VIM 1, VIM 2), Бубнова–Галеркина в высших приближениях N=7 (BGM), конечных разностей второго порядка точности (FDM) (область Ω разбита на 35‧35 отрезков), Канторовича–Власова в первом и втором приближении (KVM 1, KVM 2), которые сравниваются c решениями D. Duc [9], полученными методом Бубнова–Галеркина в форме П.Ф. Папковича в первом приближении при следующих значениях параметров: λ=1, l=0, p=1, Г=0,4, kx=0, ky=4 для ФГ полноразмерной цилиндрической панели из диоксида циркония Eс=151 ГПа, vс=0,3 и алюминия Eс=70 ГПа, vс=0,3 [9] (рис. 3).
Рис. 3. Зависимость q[w(0,5;0,5)] для l=1, l=0, Г=0, граничных условий (13), полученная методами (BGM, VIM 1, VIM 2, FDM), X. Zhao [17] и D. Duc [9]
Fig. 3. Dependence q[w(0,5;0,5)] for boundary conditions (13) obtained by methods (MBG, MVI 1, MVI 2, MKR) and X. Zhao [17] and D. Duc [9] for the l=1, l=0, Г=0
В табл. 2 указаны значения функций w(0,5;0,5), ¶2w(0,5;0,5)/¶x2 и погрешность относительно метода VIM 2. Погрешность определяется следующими соотношениями
где wvim2 – решение w(0,5;0,5), полученное методом VIM 2, wk – решение, полученное для соответствующего метода в табл. 2.
Таблица 2. Сопоставление решения системы (11), полученной методами (BGM, VIM 1, VIM 2, FDM), и решений X. Zhao [17] и D. Duc [9] при q=40
Table 2. Comparison of the solution of system (11) obtained by the methods (BGM, VIM 1, VIM 2, FDM) and the solutions X. Zhao [17] and D. Duc [9] at q=40
q=40, λ=1, l=0, kx=0, ky=4, p=1, Г=0 | |||||
Методы Methods | w(0,5;0,5) | R1, % |
| R2, % | Время расчёта, с Calculation time, s |
Zhao | 1,095 | 3,50 | – | – | – |
Duc | 1,092 | 3,21 | – | – | – |
BGM N=1 | 1,088 | 2,84 | –10,736 | –17,46 | 0,35 |
BGM N=5 | 1,062 | 0,38 | –9,626 | –5,32 | 62,5 |
FDM (n‧n=35‧35) | 1,057 | 0,09 | –9,287 | –1,61 | 1003 |
KVM 1 (n=49) | 1,073 | 1,42 | –9,321 | –1,98 | 0,45 |
VIM 1 (n=49) | 1,057 | 0,09 | –9,237 | –1,06 | 1,20 |
KVM 2 (n=49) | 1,058 | 0,01 | –9,307 | –1,83 | 4,22 |
VIM 2 (n=49) | 1,058 | 0,00 | –9,14 | 0,00 | 8,21 |
Результаты, полученные методами (BGM N=7, VIM 1, VIM 2, FDM), хорошо согласуются между собой, максимальное различие в прогибах не превышает 1 %, а также близки к решениям работ [9, 17]. Отметим, что решение, полученное в работе Duc [9] методом Бубнова–Галеркина в форме П.Ф. Папковича в первом приближении, является неточным и имеет большую погрешность для вторых производных функций прогиба ¶2w/¶x2. В связи с этим для получения достоверного решения методом BGM необходимо использовать высшие приближения.
Решения, приведённые на рис. 3 и в табл. 2, показывают, что разработанный метод VIM является наиболее эффективным, так как не требует построения системы аппроксимирующих функций, как в методе Бубнова–Галеркина. И результаты, полученные методом вариационных итераций во втором приближении VIM 2, можно считать точными, так как для этого метода имеется доказательство его сходимости [20] и решение удовлетворяет искомым дифференциальным уравнениям.
Затраты машинного времени для этого метода на шаге нагружения являются минимальными, для получения достоверного решения методом VIM 1 необходимо 3,6 секунды, VIM 2 – 16,2 секунды, а для метода конечных разностей FDM – более 1000 с. Расчёты проводились на компьютере с частотой процессора 2 ГГц.
Исследование напряжённо-деформированного состояния пористых функционально-градиентных цилиндрических панелей
В данной работе проведён анализ влияния типов пористости материалов, показателя пористости Г и функционально-градиентного материального индекса p для различных граничных условий для полноразмерной (l=0) и нанопанели (l=0,5) на НДС пористых ФГ цилиндрических панелей. В данном разделе расчеты проводились для ФГ из алюминия Em=70 ГПа, vm=0,33, ρ=2700 кг/м3 [25] и керамики диоксида циркония Eс=70 ГПа, vс=0,33, ρ=2400 кг/м3 [25].
Исследуем НДС пористых ФГ размерно-зависимых квадратных в плане l=1 цилиндрических панелей, описываемых системой нелинейных дифференциальных уравнений (11), при действии равномерно распределённой поперечной нагрузки q(x,y)=q, для четырех типов распределений пористости (type 1, U-PFGM, X-PFGM, O-PFGM), а также для сплошного металла и керамики. Сплошные линии решения получены для полноразмерных цилиндрических панелей l=0, пунктирные – для нанопанелей при l=0,5. Решения q[w(0,5;0,5)], приведенные на рис. 4, 5, получены методом вариационных итераций VIM 2. Отметим, что для полноразмерных цилиндрических панелей при ky=30 наблюдается потеря устойчивости, т. е. критические нагрузки qкр, стрелками на рис. 5 показаны направления перехода на устойчивую ветвь равновесия. Для наноструктур при l=0,5 при тех же параметрах kx, ky потеря устойчивости не наблюдается.
Рис. 4. Зависимость q[w(0,5;0,5)] при p=1, Г=0,4, kx=0, ky=10, λ=1 для (U-PFGM, X-PFGM, O-PFGM, type1, металл, керамика). Граничные условия: a) (13); б) (14)
Fig. 4. Dependence q[w(0,5;0,5)] at p=1, Г=0,4, kx=0, ky=10, λ=1 for (U-PFGM, X-PFGM, O-PFGM, type1, metal, ceramic). Boundary conditions: a) (13); b) (14)
Рис. 5. Зависимость q[w(0,5;0,5)] при p=1, Г=0, kx=0, ky=30, λ=1 для (U-PFGM, X-PFGM, O-PFGM, type1, металл, керамика). Граничные условия: a) (13); б) (14); в) (15); г) (16)
Fig. 5. Dependence q[w(0,5;0,5)] at p=1, Г=0, kx=0, ky=30, λ=1 for (U-PFGM, X-PFGM, O-PFGM, type1, metal, ceramic). Boundary conditions: a) (13); b) (14); c) (15); d) (16)
Результаты, представленные на рис. 4, 5, показывают, что увеличение показателя кривизны ky приводит к качественному изменению характера изгибания цилиндрических панелей. При этом для малых значений параметров кривизны ky≤10 график нагрузка-прогиб q[w(0,5;0,5)] близка к зависимости q[w(0,5;0,5)] для пластин. При увеличении параметра ky при ky=30 для полноразмерных пористых ФГ панелей наблюдется явление потери устойчивости для граничных условий (13), (14), в то время как для нанопанелей при l=0,5 данного явления не наблюдается. Кривые для цилиндрических панелей из PFGM занимают промежуточные положения на графиках q[w(0,5;0,5)] – между цилиндрическими панелями из металла и керамики без пористости. Таким образом, даже при наличии пористости при Г=0,4 добавление керамики в сплав позволяет увеличить несущую способность структур по сравнению с металлом без пористости. Учет размерно-зависимого параметра l=0,5 приводи к увеличению несущей способности цилиндрических панелей для всех рассматриваемых типов материала и граничных условий.
Из четырех рассмотренных типов пористости материалов наибольшей несущей способностью, как для полноразмерной, так и для наноцилиндрической панели, обладают type1 и X-PFGM. Данные типы пористости являются аппроксимацией случая, когда максимальный объём пор распределён в центре панели. Различия в прогибах между данными типами пор составляют менее 3 %. Из рассматриваемых типов пористости наименьшей несущей способностью обладают панели с распределением пор U-PFGM.
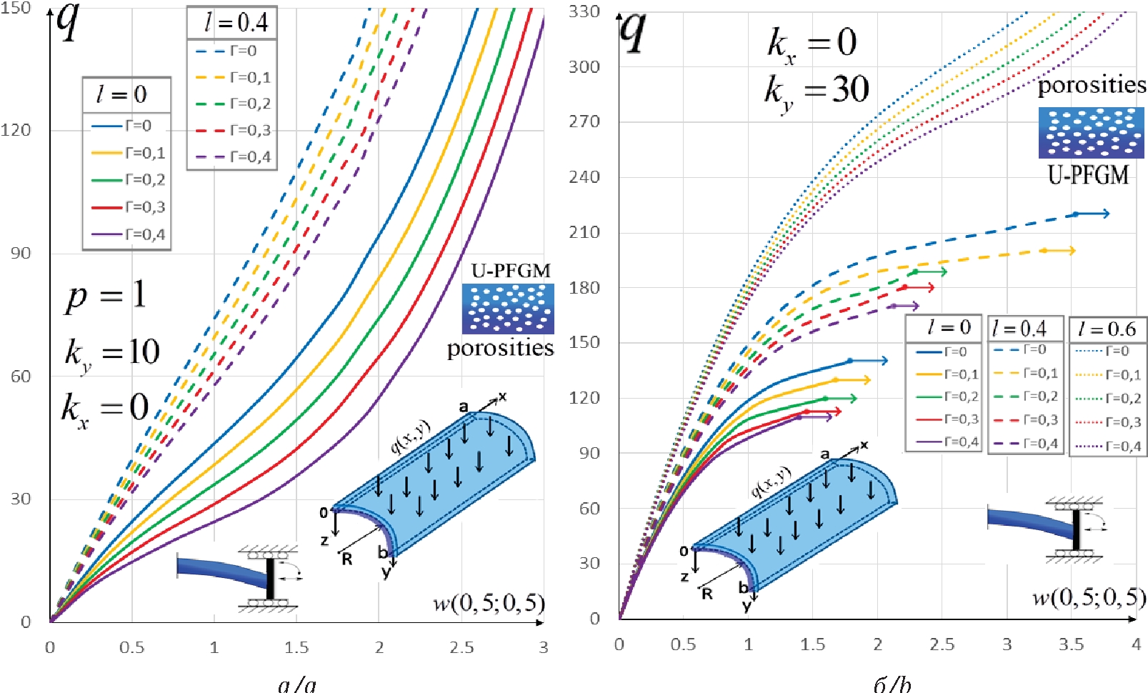
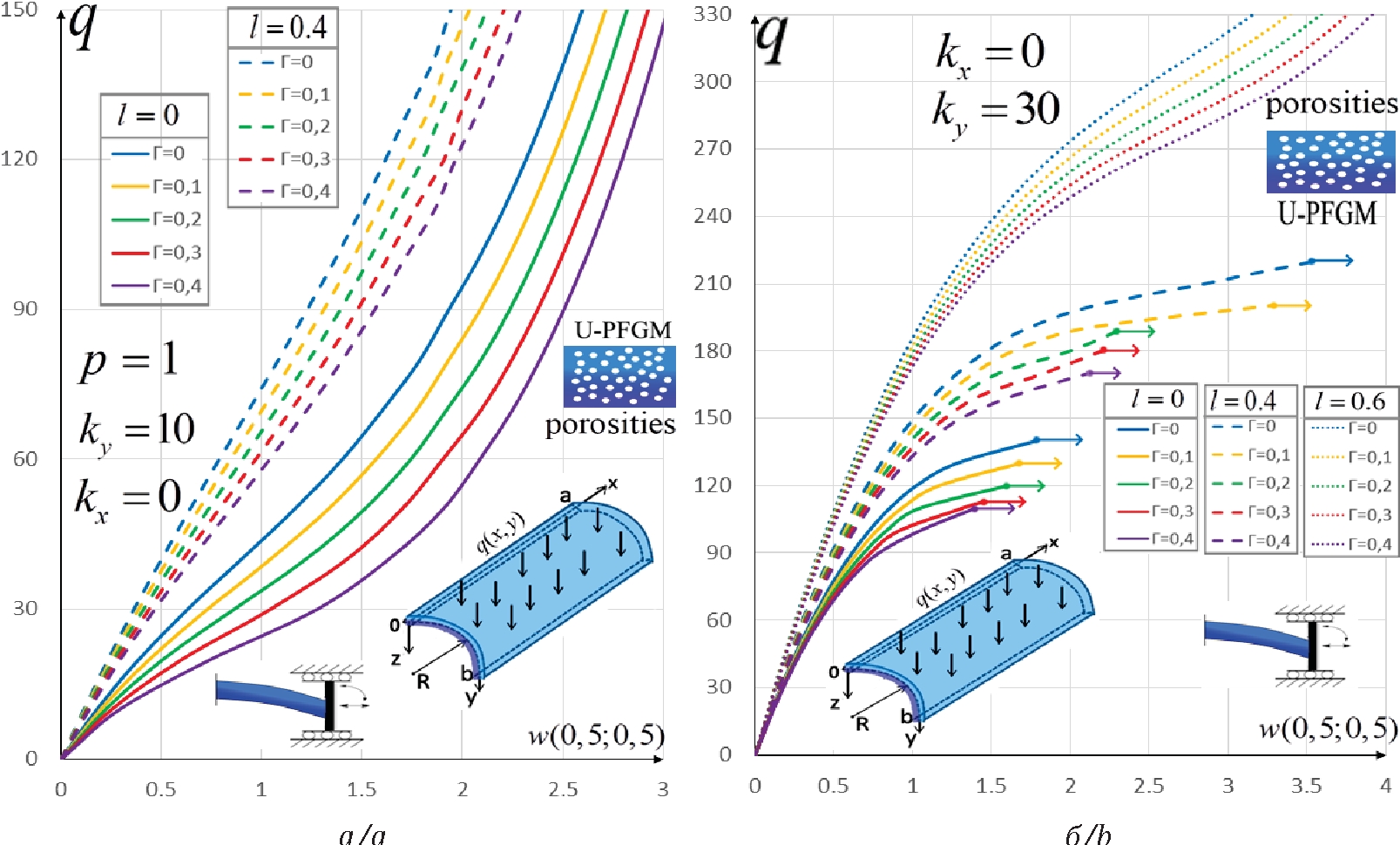
Проведём анализ влияния показателя пористости Г на изгибание пористой ФГ размерно-зависимой панели U-PFGM при действии равномерной нагрузки. Зависимости q[w(0,5;0,5)] для различных значений показателя пористости Г приведены на рис. 6 для граничных условий (13). Расчёты для ФГ материала из алюминия Em=70, vm=0,33 и керамики Ec=210, vm=0,3 для следующих параметров p=1, λ=1. Стрелками показаны критические нагрузки, в которых происходит потеря устойчивости. В табл. 3 показаны величины критической нагрузки панели kx=0, ky=30 при действии поперечной равномерно-распределенной нагрузки.
Таблица 3. Критические нагрузки для цилиндрической панели kx=0, ky=30 с пористостью U-PFGM, p=1
Table 3. Critical loads for a cylindrical panel kx=0, ky=30 with U-PFGM porosity, when subjected to a transverse uniformly distributed load
Г | qкрит – граничные условия/boundary conditions | |||
| ||||
l | ||||
0 | 0,4 | 0 | ≥0,4 | |
0 | 140 | 220 | 120 | Критические нагрузки отсутствуют No critical loads |
0,1 | 130 | 200 | 100 | |
0,2 | 120 | 190 | 80 | |
0,3 | 115 | 180 | 75 | |
0,4 | 110 | 170 | 70 | |
Анализ результатов, представленных на рис. 6 и в табл. 3, показывает, что величина показателя пористости Г существенно влияет на несущую способность пористых полноразмерных и наноцилиндрических панелей. Увеличение показателя пористости Г от 0 до 0,4 приводит к уменьшению функции прогиба как для полноразмерных (l=0), так и для наноцилиндрических (l=0,4) панелей. Учет параметра l для наноцилиндрических панелей существенно увеличивает несущую способность, практически в два раза, по сравнению с полноразмерными структурами.
Рис. 6. Зависимость q[w(0,5;0,5)] для U-PFGM при p=1, λ=1 для граничных условий (13) для а) kx=0, ky=10; б) kx=0, ky=30
Fig. 6. Dependence q[w(0,5;0,5)] for U-PFGM under p=1, λ=1, boundary conditions (13) for a) kx=0, ky=10; b) kx=0, ky=30
Увеличение параметра кривизны приводит к качественному изменению зависимости q[w(0,5;0,5)] и при ky=30 для цилиндрических панелей происходит потеря устойчивости. При этом при увеличении размерно-зависимого параметра до l=0,6 потери устойчивости не наблюдается. Увеличение показателя пористости Г и размерно-зависимого параметра l приводит к возрастанию величины критической нагрузки при потере устойчивости.
Проведем анализ влияния функционально-градиентного индекса p на НДС пористой ФГ размерно-зависимой панели U-PFGM при действии равномерной нагрузки. На рис. 7 приведены зависимости q[w(0,5;0,5)] для граничных условий (13) при ky=10 (рис. 7, а) и ky=30 (рис. 7, б) для Г=0,4, l=1 в зависимости от параметра p. Критические нагрузки, в которых происходит потеря устойчивости, показаны стрелками на рис. 7.
Рис. 7. Зависимость q[w(0,5;0,5)] для U-PFGM при Г=0,4, λ=1 для граничных условий (13) для: а) kx=0, ky=10; б) kx=0, ky=30
Fig. 7. Dependence q[w(0,5;0,5)] for U-PFGM under Г=0,4, λ=1 boundary conditions (13) for: a) kx=0, ky=10; b) kx=0, ky=30
Функционально-градиентный индекс p отвечает за соотношение алюминия и керамики диоксида циркония [25] в панели. Изменение параметра p от 0,25 до 4 увеличивает объёмную долю металла в композите и приводит к уменьшению несущей способности как для полноразмерных, так и наноцилиндрических панелей. При увеличении параметра ky при ky³30 происходит потеря устойчивости панели. При этом при увеличении функционально градиентного индекса p величина критической нагрузки уменьшается.
Таким образом, использование функционально-градиентных материалов позволяет увеличить прочность изготавливаемых конструкций. Легкосплавные бурильные трубы изготавливаются методом горячего прессования из дюралюминия Д16Т [28]. В результате термообработки полученный сплав имеет следующие механические свойства: модуль Юнга E=72,1 ГПа, плотность ρ=2781 кг/м3. Полученный в данной работе функционально-градиентный материал обладает большей прочностью (модуль Юнга 112≤Е≤140) и меньшей плотностью 2035≤ρ≤2545 кг/м3 (что позволяет уменьшить вес конструкции) для пористого материала X‑PFGM 0≤Г≤0,4 при p=1.
Заключение
- В работе проведено математическое моделирование конструкции из функционально-градиентных материалов в виде цилиндрических панелей, которые применяются для производства бурильных труб. Исследованы параметры, определяющие свойства указанных материалов, что позволяет выполнять анализ напряженно-деформированного состояния лекгосплавной трубы.
- На напряжённо-деформированное состояние при исследовании гибких пористых функционально-градиентных нано- и полноразмерных цилиндрических панелей существенное влияние оказывают следующие физико-геометрические параметры: показатель пористости Г, функционально-градиентный индекс p, размерно-зависимый параметр l, геометрический параметр ky, тип пористости материала. При увеличении параметра 0≤ky<30 явления потери устойчивости не наблюдается, а при ky³30 происходит потеря устойчивости панелей при шарнирном опирании по контуру. Из рассмотренных четырёх типов пористости панели с типами распределения пор type 1 и X-PFGM имеют наибольшую несущую способность. Изменение нанопараметра l от 0 до 0,4 приводит к повышению несущей способности пористых цилиндрических панелей и уменьшает прогиб w(0,5;0,5) панели на 40 % при ky=10. Увеличение показателя пористости Г приводит к уменьшению несущей способности цилиндрических панелей. При изменении показателя Г от 0 до 0,4 при ky=10 прогиб панели w(0,5;0,5) увеличивается на 30 %. Изменение параметра p от 0,2 до 4 приводит к увеличению величины w(0,5;0,5) более чем на 50 %.
- Построенные математические модели панелей из PFGM дают обоснование для широкого использования этого типа материалов при изготовлении бурильных труб в нефтегазодобывающей отрасли. Такого типа трубы обладают малым весом, высокой удельной прочностью, коррозионной стойкостью, виброподавляющими и немагнитные свойствами.
- Метод вариационных итераций во втором приближении (VIM 2) является наиболее эффективным методом исследования устойчивости и анализа НДС размерно-зависимых и наноцилиндрических панелей из PFGM по сравнению с методом Бубнова–Галекркина в высших приближениях (BGM) и конечных разностей второго порядка точности FDM, как по точности, так и по времени расчета. Для VIM доказана его сходимость [20], что является необходимым условием получения достоверных результатов.
About the authors
Anton V. Krysko
Moscow State University of Technology “STANKIN”
Author for correspondence.
Email: anton.krysko@gmail.com
ORCID iD: 0000-0002-9389-5602
Dr. Sc., Chief Researcher
Russian Federation, 1, Vadkovsky lane, Moscow, 127055Leonid A. Kalutsky
Lavrentiev Institute of Hydrodynamics, Siberian Branch of the Russian Academy of Sciences
Email: leon199703@gmail.com
ORCID iD: 0000-0003-3335-4975
Junior Researcher
Russian Federation, 15, Akademik Lavrentiev avenue, Novosibirsk, 630090Alyona A. Zakharova
Trapeznikov Institute of Control Problems, Siberian Branch of the Russian Academy of Sciences
Email: zaawmail@gmail.com
ORCID iD: 0000-0003-4221-7710
Dr. Sc., Chief Researcher
Russian Federation, 65, Profsoyuznaya street, Moscow, 117997Vadim A. Krysko
Lavrentiev Institute of Hydrodynamics, Siberian Branch of the Russian Academy of Sciences; Institute for Precision Mechanics and Control Problems of the Russian Academy of Sciences
Email: tak@san.ru
ORCID iD: 0000-0002-4914-764X
Dr. Sc., Chief Researcher, Lavrentiev Institute of Hydrodynamics, Siberian Branch of the Russian Academy of Sciences; Chief Researcher, Institute for Precision Mechanics and Control Problems of the Russian Academy of Sciences
Russian Federation, 15, Akademik Lavrentiev avenue, Novosibirsk, 630090; 24, Rabochaya street, Saratov, 410028References
- Saruev L.A., Shadrina A.V., Saruev A.L., Vasenin S.S., Pakharev I.O. Prospects of development of technology and technique of horizontal directional drilling of pilot wells for trenchless pipeline installation. Bulletin of the Tomsk Polytechnic University. Geo Assets Engineering, 2019, vol. 330, no. 4, pp. 89–97. (In Russ.) doi: 10.18799/24131830/2019/4/232.
- Sapunzhi V.V. Express poll. Without a good pipe, the oil industry is a pipe. Drilling and Oil, 2020, no. 5, pp. 20–31. (In Russ.) Available at: https://burneft.ru/archive/issues/2020-05/20. (accessed 17 December 2023).
- Sapunzhi V.V. Efficiency of aluminum drill pipe application in drilling for oil and gas. Drilling and Petroleum, 2012, no. 6–7, pp. 48–52. (In Russ.)
- Mukhametov F.H., Levinson L.M. Application of steel and light-alloy drill pipes as a part of the combined drill string when drilling horizontal wells of long length. Oil and Gas Business, 2020, vol. 18, no. 1, С. 22–31. (In Russ.) doi: 10.17122/ngdelo-2020-1-22-31.
- Safraider A.I., Ismakov R.A., Agliullin A.H., Tseneva S.N., Tsenev N.K. To the question of fracture of light-alloy drill pipes. Oil and Gas Business, 2019, vol. 17, no. 2, pp. 42–49. (In Russ.) doi: 10.17122/ngdelo-2019-2-42-49.
- Duc N.D., Van Tung H. Nonlinear analysis of stability for functionally graded cylindrical panels under axial compression. Computational Materials Science, 2010, vol. 49, no. 4, pp. 313–316. DOI: https://doi.org/10.1016/j.commatsci.2009.12.030.
- Shahmohammadi M.A., Abdollahi P., Salehipour H. Geometrically nonlinear analysis of doubly curved imperfect shallow shells made of functionally graded carbon nanotube reinforced composite (FG_CNTRC). Mechanics Based Design of Structures and Machines, 2022, vol. 50, no. 11, pp. 3796–3820. DOI: https://doi.org/10.1080/15397734.2020.1822182.
- Bich D.H., Van Dung D., Nam V.H. Nonlinear dynamic analysis of eccentrically stiffened imperfect functionally graded doubly curved thin shallow shells. Composite Structures, 2013, vol. 96, pp. 384–395. DOI: https://doi.org/10.1016/j.compstruct.2012.10.009.
- Duc N.D., Van Tung H. Nonlinear response of pressure-loaded functionally graded cylindrical panels with temperature effects. Composite Structures, 2010, vol. 92, no. 7, pp. 1664–1672. DOI: https://doi.org/10.1016/j.compstruct.2009.11.033.
- Van Thanh N., Khoa N.D., Duc N.D. Nonlinear dynamic analysis of piezoelectric functionally graded porous truncated conical panel in thermal environments. Thin-Walled Structures, 2020, vol. 154, pp. 106–137. DOI: https://doi.org/10.1016/j.tws.2020.106837.
- Van Tung H. Postbuckling behavior of functionally graded cylindrical panels with tangential edge constraints and resting on elastic foundations. Composite Structures, 2013, vol. 100, pp. 532–541. DOI: https://doi.org/10.1016/j.compstruct.2012.12.051.
- Quan T.Q., Kim S.E., Duc N.D. Nonlinear dynamic response and vibration of shear deformable piezoelectric functionally graded truncated conical panel in thermal environments. European Journal of Mechanics-A/Solids, 2019, vol. 77, 103795. DOI: https://doi.org/10.1016/j.euromechsol.2019.103795.
- Duc N.D., Kim S.E., Manh D.T., Nguyen P.D. Effect of eccentrically oblique stiffeners and temperature on the nonlinear static and dynamic response of S-FGM cylindrical panels. Thin-Walled Structures, 2020, vol. 146, 106438. DOI: https://doi.org/10.1016/j.tws.2019.106438.
- Bich D.H., Van Dung D., Nam V.H. Nonlinear dynamical analysis of eccentrically stiffened functionally graded cylindrical panels. Composite Structures, 2012, vol. 94, no. 8, pp. 2465–2473. DOI: https://doi.org/10.1016/j.compstruct.2012.03.012.
- Shen H.S., Leung A.Y. Postbuckling of pressure-loaded functionally graded cylindrical panels in thermal environments. Journal of Engineering Mechanics, 2003, vol. 129, no. 4, pp. 414–425. DOI: https://doi.org/10.1061/(ASCE)0733-9399(2003)129:4(414).
- Yang J., Liew K.M., Wu Y.F., Kitipornchai S. Thermo-mechanical post-buckling of FGM cylindrical panels with temperature-dependent properties. International Journal of Solids and Structures, 2006, vol. 43 (2), pp. 307–324. DOI: https://doi.org/10.1016/j.ijsolstr.2005.04.001.
- Zhao X., Liew K.M. Geometrically nonlinear analysis of functionally graded shells. International Journal of Mechanical Sciences, 2009, vol. 51, no. 2, pp. 131–144. DOI: https://doi.org/10.1016/j.ijmecsci.2008.12.004.
- Awrejcewicz J., Krysko Jr V.A., Kalutsky L.A., Krysko V.A. Computing static behavior of flexible rectangular von Karman plates in fast and reliable way. International Journal of Non-Linear Mechanics, 2022, vol. 146, pp. 104–162. DOI: https://doi.org/10.1016/j.ijnonlinmec.2022.104162.
- Krysko Jr V.A., Awrejcewicz J., Kalutsky L.A., Krysko V.A. Quantification of various reduced order modelling computational methods to study deflection of size-dependent plates. Computers & Mathematics with Applications, 2023, vol. 133, pp. 61–84. DOI: https://doi.org/10.1016/j.camwa.2023.01.004.
- Awrejcewicz J., Krysko Jr V.A., Kalutsky L.A., Zhigalov M.V., Krysko V.A. Review of the methods of transition from partial to ordinary differential equations: from macro to nano-structural dynamics. Archives of Computational Methods in Engineering, 2021, vol. 28, pp. 1–33. DOI: https://doi.org/10.1016/j.camwa.2023.01.004
- Tebyakin A.D., Kalutsky L.A., Yakovleva T.V., Krysko A.V. Application of variational iterations method for studying physically and geometrically nonlinear Kirchhoff nanoplates: a mathematical justification. Axioms, 2023, vol. 12, no. 4, pp. 1–21. DOI: https://doi.org/10.3390/axioms12040355.
- Awrejcewicz J., Krysko A.V., Smirnov A., Kalutsky L.A., Zhigalov M.V., Krysko V.A. Mathematical modeling and methods of analysis of generalized functionally gradient porous nanobeams and nanoplates subjected to temperature field. Meccanica, 2022, vol. 57, no. 7, pp. 1–26. DOI: https://doi.org/10.1007/s11012-022-01515-7.
- Krysko A.V., Kalutsky L.A., Zakharova A.A., Krysko V.A. Mathematical modeling of porous geometrically nonlinear metal nano-plates taking into account moisture. Bulletin of the Tomsk Polytechnic University. Geo Assets Engineering, 2023, vol. 334, no. 9, pp. 36–48. (In Russ.) DOI: https://doi.org/10.18799/24131830/2023/9/4210.
- Yang F., Chong A.C.M., Lam D.C.C., Tong P. Couple stress-based strain gradient theory for elasticity, Int. J. Solids Struct, 2002, vol. 39, no. 10, pp. 2731–2743. DOI: https://doi.org/10.1016/S0020-7683(02)00152-X.
- Fan F., Xu Y., Sahmani S., Safaei B. Modified couple stress-based geometrically nonlinear oscillations of porous functionally graded microplates using NURBS-based isogeometric approach. Computer Methods in Applied Mechanics and Engineering, 2020, vol. 372, pp. 113–140. DOI: https://doi.org/10.1016/j.cma.2020.113400.
- Ghobadi A., Beni Y.T., Żur K.K. Porosity distribution effect on stress, electric field and nonlinear vibration of functionally graded nanostructures with direct and inverse flexoelectric phenomenon. Composite Structures, 2021, vol. 259, pp. 113–220. DOI: https://doi.org/10.1016/j.compstruct.2020.113220.
- Malikan M. Electro-mechanical shear buckling of piezoelectric nanoplate using modified couple stress theory based on simplified first order shear deformation theory. Applied Mathematical Modelling, 2017, vol. 48, pp. 196–207. DOI: https://doi.org/10.1016/j.apm.2017.03.065
- Safraider A.I., Ismakov R.A., Agliullin A.H., Tseneva S.N., Tsenev N.К. To the issue of fracture of light-alloy drill pipes. Neftegazovoye delo, 2019, vol. 17, no. 9, pp. 42–49. (In Russ.) doi: 10.17122/ngdelo-2019-2-42-49
- ells for trenchless pipeline installation. Bulletin of the Tomsk Polytechnic University. Geo Assets Engineering, 2019, vol. 330, no. 4, pp. 89–97. (In Russ.) doi: 10.18799/24131830/201
Supplementary files














