Impact of the air exchange system on temperature conditions of the local working area of a large-sized premise during the gas infrared heater operation
- Authors: Borisov B.V.1, Vyatkin A.V.1, Kuznetsov G.V.1, Maksimov V.I.1, Nagornova T.A.1
-
Affiliations:
- National Research Tomsk Polytechnic University
- Issue: Vol 336, No 2 (2025)
- Pages: 172-189
- Section: Articles
- URL: https://medbiosci.ru/2500-1019/article/view/284968
- DOI: https://doi.org/10.18799/24131830/2025/2/4914
- ID: 284968
Cite item
Full Text
Abstract
Relevance. The problem of energy saving and energy efficiency is becoming more and more urgent every year for a variety of reasons. Traditional convective heating systems are no longer effective in many cases (especially in case of large-sized partially loaded with industrial equipment). Gas infrared emitters are promising sources for heating local working areas. However, their use is not very widespread due to a number of unresolved problems with radiant heating technologies for local workplaces. One of these problems is the air exchange systems operation, the effect of which on the local working areas thermal conditions has not been studied yet.
Aim. Determining the impact of air exchange systems on the thermal characteristics in the local working area of a production facility heated by a gas infrared heater. Objects. Working area with ventilation and heated by gas infrared heaters.
Methods. Experimental and theoretical studies.
Results. The authors have registered the temperature fields, heat flows and air velocities and carried out the mathematical modeling in the gas infrared heaters effect zone. It was found that supply of relatively cold air (at low flow rates) from the air exchange system slightly affects the thermal conditions of the local working area. The air coming from the air exchange system flows around the gas infrared emitter heated up to high temperatures (800℃). As a result, air comes to the local working area already sufficiently heated. It was concluded that the radiant heating systems of local working areas can provide scheduled thermal conditions in these areas with the intensity of air exchange typical for real industrial premises.
Full Text
ВВЕДЕНИЕ
Общая проблема энергосбережения [1–6], а точнее энергоэффективности, становится в последнее время особенно важной при формировании регламентных тепловых режимов в крупногабаритных промышленных помещениях [7–10] с частично загруженными производственными площадями. При этом строительство и промышленное производство являются основными потребителями теплоты и электрической энергий с выбросом в атмосферу огромного количества углекислого газа [1, 11]. Некоторые европейские правительства добиваются цели довести все выбросы СО2 до нуля к 2050 г. [12]. Одним из способов достижения этой цели может быть повышение энергоэффективности самого промышленного производства [13–17]. Другим подходом к повышению энергоэффективности предприятия является разумное использования тепловых источников для создания комфортных условий жизнедеятельности. На обеспечение комфортности среды жизнеобеспечения системами отопления, вентиляции и кондиционирования (ОВиК) расходуется основная часть энергопотребления здания, поэтому регламентный микроклимат в помещении при минимизации затраченной теплоты может быть достигнут путем применения рационального подхода к выбору методов распределения ее в рабочих зонах [18, 19]. Так, применение водяных калориферов для отопления больших промышленных зданий [20–23] приводит к тому, что значительное количество теплоты, переданное от этих тепловых приборов воздуху, теряется им при теплообмене в ограждающих конструкциях и аккумулируется вблизи потолочного перекрытия [14, 24], а работники предприятия испытывают температурный дискомфорт. Находящаяся вне регламентного диапазона (слишком высокая или слишком низкая) температура в помещении в конце концов сказывается на здоровье и, соответственно, на производительности труда работающих [25, 26]. По результатам многочисленных исследований, например, [27–30], установлено, что тепловой комфорт во многих случаях достигается с меньшими энергозатратами при использовании систем лучистого нагрева (по сравнению с конвективной системой) [31–36].
Однако для создания таких эффективных систем управления тепловыми режимами локальных рабочих мест в крупногабаритных производственных помещениях (например, [30–33]) и их широкого практического использования требуется понимание процессов их формирования в отдельных локальных зонах. Очень важно определить, на сколько эффективно используются тепловые потоки, вырабатываемые газовыми инфракрасными излучателями (ГИИ). Частично эта проблема решена при анализе процессов переноса теплоты от ГИИ без учета работы системы воздухообмена [37] в режиме естественной конвекции.
ЭКСПЕРИМЕНТАЛЬНЫЕ ИССЛЕДОВАНИЯ
Условия проведения представленных экспериментальных исследований процессов теплопереноса выбирались на основе анализа примеров регламентных тепловых режимов локальных рабочих зон крупногабаритных помещений [30, 38–42].
Учитывалось [40, 41], что анализ тепловых потоков и температур по большим площадям в условиях работы нескольких (3–4) ГИИ можно заменить анализом ряда одинаковых локальных участков, каждый из которых нагревается одним излучателем. По ранее экспериментально определенным зависимостям плотности тепловых потоков, поступающих в рабочую зону от ГИИ различной мощности (от 5 до 30 кВт), и их расположению относительно обогреваемой поверхности [30, 40] сделан вывод о применимости ГИИ малой мощности для подвода теплоты к локальной рабочей области. В связи с установленными в [30] закономерностями при проведении экспериментов использовался один ГИИ средней мощности (5 кВт), расположенный на относительно малой высоте (3 м) от поверхности пола экспериментального бокса.
Экспериментальные исследования проводились в зимнее время при температуре наружного воздуха Тe от –12 до –30 °С (ниже приведены типичные результаты экспериментов при Тe= –22 °С). Начальные температуры воздуха в экспериментальном боксе устанавливалась от +2 до +15 °С. Такие температуры характерны для производственных помещений с двухсменным режимом работы. При этом, как было установлено ранее [24], снижение температуры воздуха в помещении до отрицательных температур в подавляющем большинстве практически значимых вариантов нецелесообразно по целому ряду объективных (производственных) причин. Поэтому основные эксперименты проводились при начальной температуре +7 °С в помещении.
На рис. 1 представлено схематическое изображение лабораторного стенда для проведения экспериментальных исследований.
Рис. 1. Схематическое изображение области проведения экспериментов и расположения термопар: 1 – ГИИ, 2 – выносная горизонтальная панель, 3 – канал притока воздуха, 4 – канал выхода воздуха, 5 – компьютер, 6 – аналого-цифровой преобразователь и системы сбора и передачи данных, 7 – запорно-регулирующая арматура системы газоснабжения
Fig. 1. Schematic representation of the experimental area and the thermocouples location: 1 – gas infrared heater (GIH), 2 – horizontal panel, 3 – inlet air channel, 4 – outlet air channel, 5 – personal computer (PC), 6 – analog-to-digital converter (ADC) and data collection and transmission system, 7 – shut-off and control valves of the gas supply system
Эксперименты с регистрацией основных характеристик процессов теплопереноса проведены в условиях реального объекта теплоснабжения – типичного и достаточно большого по размерам закрытого помещения (рис. 1), соответствующего объекту, использованному для исследований, описанных в работах [31, 32, 39].
На практике локальные рабочие зоны в крупногабаритных помещениях выделяются по ряду технологических условий, как правило, вблизи стен. Поэтому эксперименты проводились в зоне, включающей в качестве основного элемента и несущую стену. Исследования [31, 32, 39] показали, что стены существенным образом участвуют в процессе регулирования движения воздуха в локальных рабочих зонах.
Устройство экспериментального стенда и оборудования принято аналогично описанному в работе [43]. В табл. 1 указаны координаты расположения датчиков температуры в рабочей области.
Также для обоснования выводов об условиях создания регламентных тепловых режимов при работе ГИИ проведен анализ распределений температур воздуха в вертикальном сечении (0£Y£2,0 м) на расстоянии 0,2 м слева (X=0,8 м) и справа (X=2,4 м) от панели (рис. 1). Предполагалось, что в этой зоне должен находиться работающий.
Обработка результатов измерений проводилась персональной ЭВМ. Типичные примеры распределения температур во времени в двенадцати точках области анализа (осциллограммы) приведены на рис. 2–5. Для обеспечения возможности оценки случайных ошибок измерений все эксперименты при постоянных условиях проводились не менее трех раз. После этого рассчитывались среднеквадратические отклонения и соответствующие коэффициенты вариации. В ходе всех экспериментов значения коэффициентов вариации не превышали 4 %. Статистическая обработка результатов измерений была необходима из-за потенциального влияния на показания измерительных приборов небольших отклонений от нормированных значений факторов второго и третьего уровней значимости, таких как влажность воздуха, давление и изменения температуры окружающей среды в ходе длительных экспериментов. Хотя влияние этих факторов является незначительным, согласно основным принципам теории ошибок в экспериментальных исследованиях, их следует учитывать при оценке достоверности полученных результатов.
На рис. 2 приведены распределения полных тепловых потоков по высоте в центре симметрии зоны влияния ГИИ при наличии элемента оборудования (панель) в условиях естественной и смешанной конвекции.
Таблица 1. Координаты расположения термопар и датчиков теплового потока в области измерений
Table 1. Location coordinates of thermocouples and heat flow sensors in the measurement area
Измерение температур воздуха/Air temperature measurement | ||||||||||||||||
Номера термопар Thermocouple numbers | 0’ | 1’ | 2’ | 3’ | 4’ | 5’ | 6’ | 7’ | 8’ | 9’ | ||||||
X, м/m | 0 | 0 | 0 | 0 | 0 | 0 | 0 | 0 | 0 | 0 | ||||||
Z, м/m | 0 | 0 | 0 | 0 | 0 | 0 | 0 | 0 | 0 | 0 | ||||||
Y, м/m | 0,05 | 0,4 | 0,7 | 0,755 | 1,0 | 1,2 | 1,4 | 1,6 | 1,8 | 2,0 | ||||||
Измерение температур пола/Floor temperature measurement | ||||||||||||||||
Номера термопар Thermocouple numbers | 0 | 1 | 2 | 3 | 4 | 5 | ||||||||||
X, м/m | 0 | –0,2 | –0,4 | –0,6 | –0,8 | -1 | ||||||||||
Z, м/m | 0 | 0 | 0 | 0 | 0 | 0 | ||||||||||
Y, м/m | 0 | 0 | 0 | 0 | 0 | 0 | ||||||||||
Измерение температуры поверхности панели в зоне влияния ГИИ Measuring the panel surface temperature in the GIH impact zone | ||||||||||||||||
Номера термопар Thermocouple numbers | 1p | 2p | 3p | 4p | 5p | |||||||||||
X, м/m | 0 | –0,3 | 0,3 | 0 | 0,6 | |||||||||||
Z, м/m | 0 | 0 | 0 | 0,28 | 0,28 | |||||||||||
Y, м/m | 0,755 | 0,755 | 0,755 | 0,755 | 0,755 | |||||||||||
Измерение тепловых потоков в воздухе на оси Measuring the heat flow in the air on the symmetry axis | ||||||||||||||||
Номера датчиков Sensor numbers | 1q | 2q | 3q | 4q | 5q | |||||||||||
X, м/m | 0 | 0 | 0 | 0 | 0 | |||||||||||
Z, м/m | 0 | 0 | 0 | 0 | 0 | |||||||||||
Y, м/m | 0,78 | 1,0 | 1,2 | 1,8 | 2,0 | |||||||||||
Рис. 2. Изменения с ростом времени полных тепловых потоков в режиме естественной (сплошные линии) и смешанной (пунктирные линии) конвекции при наличии панели в помещении
Fig. 2. Changes of total heat fluxes under natural (solid lines) and mixed (dashed lines) convection conditions in the premise with a panel in it with increasing time
Результаты экспериментов показывают, что в двух рассматриваемых режимах конвекции по мере приближения датчиков к излучателю величина теплового потока (q) значительно увеличивается. При этом влияние смешанной конвекции на интенсивность теплового потока также возрастает с уменьшением расстояния до ГИИ. Например, если при высоте Н=1,2 м от пола значение теплового потока составляет около 100 Вт/м², то при Н=1,8 м (на 60 см выше) q=270 Вт/м² (рост в 2,7 раза). На расстояниях от пола до 1,2 м (датчики 1q-3q) смешанная конвекция практически не влияет на величину теплового потока. Для датчиков 1q и 2q значения теплового потока идентичны, для датчика 3q, находящегося на высоте 1,2 м от пола, разница в данных составляет менее 0,5 Вт/м² (0,5 %). По мере приближения к ГИИ влияние притока воздуха из системы воздухообмена становится значительным, тепловой поток в этом случае уменьшается, и на высоте 1,8 м q уже меньше на 25 Вт/м² (5,5 %). Это обусловлено интенсификацией движения масс воздуха и, соответственно, конвективного теплообмена в этой области за счет работы приточно-вытяжной системы воздухообмена.
На рис. 3 приведены установленные экспериментально зависимости скорости воздуха и значения температур по высоте помещения на оси симметрии зоны влияния ГИИ от времени.
Около пола под горизонтальной панелью (Y=0,01 м) скорость воздуха при работе системы воздухообмена возрастает по сравнению с режимом естественной конвекции в 2 раза (с 0,06 до 0,12 м/с), а на высоте 2 м – в 2,7 раза. Приточно-вытяжная вентиляция интенсифицирует движение воздуха в верхней области зоны влияния ГИИ. В центре области (над панелью) образуется своеобразная застойная зона, скорость воздуха в которой составляет 0,003 м/с (линия 0,755 м, рис. 3, а).
На рис. 4 представлены результаты, характеризующие изменение температур воздуха с ростом времени в точках расположения термопар на оси симметрии зоны влияния ГИИ при двух режимах конвекции (свободной и смешанной) для свободного помещения и с расположенной в нем панелью.
Рис. 3. Изменения с течением времени значений скорости воздуха на разных высотах (а) и распределения температур воздуха по координате Y и поверхности панели (Y=0,755 м) на оси симметрии зоны влияния ГИИ (б) в режиме естественной (сплошные линии) и смешанной (пунктирные линия) конвекции
Fig. 3. Changes over time the values of air velocity at different heights (a) and the air temperatures distributions along the Y coordinate and the panel surface (Y=0.755 m) on the GIH symmetry axis (b) under natural (solid lines) and mixed (dashed line) convection conditions
Рис. 4. Изменение температур воздуха с ростом времени в точках расположения термопар на оси симметрии зоны влияния ГИИ в режиме естественной (сплошные линии) и смешанной конвекции (пунктирные линии): а) помещение без оборудования, б) панель расположена на высоте 755 мм от пола
Fig. 4. Air temperatures change with increasing time at GIH symmetry axis for natural (solid lines) and mixed (dashed line) convection conditions in premise: a) without a panel, b) premise with a panel located at a height of 0.755 m from the floor
Результаты экспериментов показывают, что смешанная конвекция, обусловленная работой систем воздухообмена, приводит к перемешиванию воздушных масс и более интенсивному охлаждению поверхности горизонтальной панели (температура снижается на 7,5 °С, рис. 3, б), а также воздуха (температура снижается на 4–5 ℃, рис. 4) по сравнению с режимом естественной конвекции.
При этом разница в значениях температуры воздуха для различных условий его движения уменьшается по мере удаления от ГИИ и на высоте 0,4 м от пола составляет уже 3 °С в свободном помещении (рис. 4, а) и 1,7 °С в помещении с панелью (рис. 4, б).
Приведенные на рис. 5 результаты иллюстрируют неоднородность температурного поля в рабочих зонах на расстоянии 20 см слева и справа от панели. Перепад t по высоте (от 0,2 до 2 м) составляет до 3,5 градусов Цельсия. В этих сечениях (где предположительно должен находиться работающий) влияние работы системы воздухообмена на температуру воздуха уже не так существенно (разница температур не более 1,1 °С). При этом в отличие от температур воздуха над панелью на оси симметрии зоны влияния ГИИ, где заметно их снижение в результате работы системы вентиляции, значения температур воздуха становятся выше.
Установленный (достаточно неочевидный) эффект обусловлен, скорее всего, тем, что приточный относительно холодный воздух вовлекает в процесс формирования теплового режима локальной рабочей зоны воздух, находящийся непосредственно вблизи излучателя и вследствие теплопроводности нагретый до очень высоких (более 600 ℃) температур. Ранее установлено [5], что в режиме естественной конвекции эта теплота отводится через перекрытие во внешнюю среду и почти не влияет на тепловой режим локальной рабочей зоны.
Рис. 5. Изменение температур воздуха на различных высотах в сечениях 200 мм от панели слева (а) и справа (б) в режиме естественной (сплошные линии) и смешанной (пунктирные линии) конвекции
Fig. 5. Air temperatures changes at different heights in sections of 0.2 m from the panel to the left (a) and to the right (b) in the natural (solid lines) and mixed (dashed lines) convection conditions
ЧИСЛЕННЫЕ ИССЛЕДОВАНИЯ
Математическое моделирование осуществлялось в рамках двумерного подхода. Рассматривалась прямоугольная область размерами Lx=10×Ly=4,4 м, ограниченная ограждающими конструкциями толщиной 0,1 м (рис. 6) и двумя горизонтальными конструктивными элементами. Также в рассматриваемой зоне расположены области, соответствующие излучателю ГИИ (размеры LxGIE=0,4 м, LyGIE=0,05 м), и панели (размеры Lxtb=0,6 м, Lytb=0,04 м). Позиционирование источника лучистой энергии (ГИИ) и горизонтальной панели в этой области было определено в соответствии с наиболее распространенными вариантами их установки в реальных помещениях, что иллюстрируется на рис. 1.
Рис. 6. Область решения задачи: 1 – ГИИ, 2 – Панель, 3 – Зона притока воздуха, 4 – Зона оттока воздуха
Fig. 6. Solution area: 1 – GIH, 2 – Horizontal panel, 3 – Air inlet zone, 4 – Air outlet zone
Координаты (XTb, YTb) центра верхней границы поверхности горизонтальной выносной панели, характеризующей оборудование, которое может быть расположено в рабочей зоне, варьировались по направлениям x и y. Давление воздуха принято известной величиной Pair=0,1 МПа и не изменялось во всей области решения со временем. При моделировании теплопереноса излучением воздух считался диатермичной средой, а все поверхности (стен, пола, потолка, ГИИ и оборудования) – непрозрачными серыми. Для решения поставленной задачи используется математическая модель, идентичная описанной в работах [43, 44].
Перед началом математического моделирования тепломассопереноса была проведена проверка физической адекватности задачи. Это осуществлялось через сопоставление результатов численного моделирования с данными, полученными в ходе экспериментальных исследований. Достигнутое хорошее соответствие между физическим и математическим моделированием дало возможность применять выбранную модель для анализа воздействия воздухообмена на температуры в локальной рабочей зоне, находящейся под влиянием ГИИ.
На рис. 7, 8 представлены полученные при численном решении выше сформулированной задачи поля температур и скоростей воздуха для помещения, свободного от оборудования и при его наличии. Результаты представлены для момента времени τ=60 мин, как и в случае экспериментальных исследований. Приток воздуха с расходом 2×10⁻⁴ кг/(с×м³) соответствовал условиям проведенных экспериментов.
На рис. 7, а и 8, а хорошо заметно, что прогрев слоев воздуха вблизи нижней ограждающей конструкции осуществляется за счет передачи тепла от нагревающегося излучением ГИИ пола. Температура на границе раздела сред «нижняя ограждающая конструкция – воздух» повышается к 60 минуте работы ГИИ до 9 ℃ (рис. 7, а). Для варианта с наличием панели в помещении температурный режим (рис. 8, а) и структура течения воздуха (рис. 8, б) меняются. В рассматриваемом случае панель располагалась на высоте YTb=755 мм с центром на проекции оси симметрии ГИИ (XTb=6415 мм).
Рис. 7. Температурное поле (а) и линии тока (б) в свободном помещении в режиме смешанной конвекции при расходе воздуха 2×10⁻⁴ кг/(с×м³)
Fig. 7. Temperature field (a) and streamlines (b) in a free premise in the mixed convection condition with air flow rate of 2∙10⁻⁴ kg/(s∙m³)
Рис. 8. Температурное поле (а) и линии тока (б) в помещении с панелью, расположенной на высоте 755 мм от пола в режиме смешанной конвекции при расходе воздуха 2×10⁻⁴ кг/(с×м³)
Fig. 8. Temperature field (a) and streamlines (b) in a premise with a panel located at a height of 0.755 m from the floor in mixed convection condition with air flow rate of 2∙10⁻⁴ kg/(s∙m³)
Наличие даже небольших (размер по координате Х составляет 60 см) элементов оборудования вносит изменение в температурные поля и структуру движения воздуха (рис. 8). Также нагреваясь под действием теплового излучения от ГИИ, горизонтальная панель приводит к повышению температуры на 2,5 ℃ в верхней (Y от 755 до 2000 мм) области локальной рабочей зоны. Горизонтальная панель выполняет роль экрана по отношению к полу, основной тепловой поток приходится на её поверхность, в результате происходит прогрев поверхности панели до 14,5 ℃ (рис. 9, б). Над панелью формируется зона нагретого до 9,2 ℃ воздуха (рис. 8, а), который достаточно интенсивно (со скоростью 25 мм/с) поднимается вверх (рис. 8, б).
Область под панелью практически не испытывает нагрева (рис. 8, а), поскольку тепловое излучение от ГИИ не достигает поверхности пола. Температура в этой зоне увеличивается благодаря притоку нагретых масс из соседних областей (справа и слева), что происходит за счет образовавшихся циркуляционных течений с низкой интенсивностью.
На рис. 9 представлены распределения температур по высоте помещения на оси симметрии зоны влияния ГИИ при наличии панели и без неё, установленные экспериментально и в результате математического моделирования.
Отклонение значений температур, полученных при моделировании и в экспериментах (рис. 11), не превышают 2 ℃, что позволяет сделать вывод о применимости созданной математической модели для дальнейших исследований и оценки влияния различных параметров работы системы воздухообмена и месторасположения оборудования на структуру перемещения воздуха и тепловых потоков в помещении.
Рис. 9. Распределение экспериментальных (1) и теоретических (2) значений температуры воздуха по координате Y на оси симметрии зоны влияния ГИИ (τ=60 минут): a) свободное помещение, б) панель (оборудование) расположена на высоте 755 мм от пола
Fig. 9. Distribution of experimental (1) and theoretical (2) air temperature values along the Y coordinate on the GIH symmetry axis (τ=60 minutes): a) premise without a panel, b) premise with a panel (equipment) located at a height of 0.755 m from the floor
РЕЗУЛЬТАТЫ ЧИСЛЕННОГО МОДЕЛИРОВАНИЯ
Исходя из требований практики необходим анализ влияния интенсивности притока воздуха из системы воздухообмена на температурные поля и поля скоростей.
Анализ результатов численного моделирования показывает, что к 60-ой минуте со времени начала работы ГИИ в помещении устанавливается квазистационарный режим, который характеризуется медленным изменением температур и скоростей потока воздуха во всей области решения. Момент времени выхода на такой режим и был выбран для всех иллюстраций. Поскольку к основным характеристикам при оценке микроклимата, как в локальной рабочей зоне, так и во всем помещении, относятся температуры и скорости перемещения воздуха [7–10], проводился анализ температурных полей и полей скоростей.
На рис. 10–15 представлены типичные результаты математического моделирования процесса теплопереноса в помещении при работе ГИИ для двух вариантов: работы системы воздухообмена (смешанная конвекция) и в условиях естественной конвекции. Температурные поля и поля скоростей движения воздуха в условиях смешанной конвекции (притока относительно холодного воздуха) показаны при условии расположения в помещении панели на высоте 755 мм от пола (более практически значимый вариант), но при разных расходах воздуха из системы воздухообмена.
Исходные данные для основных вариантов представлены в табл. 2. При наличии в расчетах горизонтальной панели последняя располагалась строго под ГИИ с совпадением осей симметрии. При проведении численного моделирования использовались следующие значения характерных температур: начальная температура в помещении – 7 ℃; температура излучающей поверхности ГИИ – 800 ℃; температура на входе приточной вентиляции – 7 ℃;
Таблица 2. Варианты расчетов при наличии (отсутствии) горизонтальной панели в рассматриваемой области и величин массовых расходов воздуха
Table 2. Calculation options with (without) a horizontal panel in the considered area and the values of air mass flow rates
Наличие панели Availability of the panel | Расход воздуха, кг/(с×м³) Air flow, kg/(s×m3) | Номер рисунка Figure number |
Панель отсутствует No panel | 2×10⁻⁴ | 7, 9 |
Панель присутствует Panel available | 8, 9 | |
0 | 10 | |
1×10⁻⁴ | 11, 16–20 | |
2×10⁻⁴ | 12, 16–20 | |
11×10⁻⁴ | 13, 16–20 | |
22×10⁻⁴ | 14, 16–20 | |
33×10⁻⁴ | 15–20 |
Рис. 10, 11 характеризуют процесс теплопереноса в помещении при работе ГИИ для двух вариантов: работы системы воздухообмена (смешанная конвекция, рис. 11) и в условиях естественной конвекции (рис. 10). Для оценки влияния термогравитационной и вынужденной конвекции использовано число Ричардсона Ri=Gr/Re2 [10]. Есть определенная проблема в данном случае при выборе масштабных величин для вычисления значений чисел Грасгоффа (Gr) и Рейнольдса (Re). Их анализ проводился с использованием следующих параметров: максимальное значение температурного напора над горизонтальной панелью, ширина помещения и средне-расходная скорость притока воздуха в помещении из системы воздухообмена. Установлено, что при формировании направлений и интенсивности движения воздушных масс при Ri>>1 существенное значение оказывают термогравитационные потоки.
Рис. 10. Поле температур (а) и линии тока (б) для области с панелью при высоте её расположения YTb=755 мм в режиме естественной конвекции
Fig. 10. Temperature field (a) and streamlines (b) for the area with a panel at the height of its location YTb=0.755 m under natural convection conditions
Рис. 11. Поле температур (а) и линии тока (б) для области с панелью (координаты XTb=1600 мм и YTb=755 мм) в режиме смешанной конвекции при расходе воздуха 1×10⁻⁴ кг/(с×м³)
Fig. 11. Temperature field (a) and streamlines (b) for the area with a panel at the height of its location YTb=0,755 m under mixed convection conditions with air flow rate of 1∙10⁻⁴ kg/(s∙m³)
Анализ результатов рис. 10, 11 показывает, что работа системы воздухообмена существенно изменяет температурное поле и направления потоков воздуха. Относительно холодный воздух внешней среды значительно (в среднем на 10 ℃) понижает температуру воздуха в верхней зоне помещения (на уровне Y=4 м, рис. 10, а и 11, а). Но в областях на уровне роста работающего влияние системы воздухообмена незначительно (например, в сечении Х=1 м на высоте Y=2 м значения температур составляют 13,1 и 12,5 ℃). Приток относительно холодного воздуха из системы воздухообмена усиливает циркуляцию воздуха во всем помещении и локальной зоне вблизи панели (рис. 10, б и 11, б).
При малой интенсивности воздухообмена (расход до 2×10⁻⁴ кг/с×м³) более холодный воздух из системы воздухообмена первые 1,5–2,0 м движется с уклоном вниз (рис. 11, 12), постепенно прогреваясь от восходящих потоков. Значительно более сильное влияние термогравитационного воздействия на гидродинамическую картину, чем вынужденной конвекции (потока холодного воздуха), подтверждает оценка числа Ричардсона (Ri=755), определяемого по средне-расходной скорости втекания, максимального перегрева воздуха в районе панели и поперечного характерного размера.
В этом режиме теплообмена при относительно малых расходах (1×10⁻⁴ и 2×10⁻⁴ кг/с×м³) нагретые над ГИИ массы газа удаляются через систему вентиляции, что существенно понижает среднюю температуру помещения, улучшает воздухообмен, но не оказывает заметного влияния на температурный режим локальной рабочей зоны.
На рис. 13 представлены результаты, полученные для расхода воздуха 11×10⁻⁴ кг/(с×м³). Формируется обширный циркуляционный вихрь по всей области исследования (рис. 13). Нагретый воздух из верхних слоев помещения перемещается непосредственно в рабочую зону вблизи панели. В результате температура в сечении Х=1 м при Y=2 м достигает уже 18,9 ℃ (рис. 13, а), что выше основного рассматриваемого в эксперименте варианта (рис. 12, а) на 7,1 ℃.
Рис. 12. Поле температур (а) и линии тока (б) для области с панелью (координаты XTb=1600 мм и YTb=755 мм) в режиме смешанной конвекции при расходе воздуха 2×10⁻⁴ кг/(с×м³)
Fig. 12. Temperature field (a) and streamlines (b) for the area with the panel at the height of its location YTb=0.755 m under mixed convection conditions with air flow rate of 2∙10⁻⁴ kg/(s∙m³)
Рис. 13. Поле температур (а) и линии тока (б) для области с панелью (координаты XTb=1600 мм и YTb=755 мм) в режиме смешанной конвекции при расходе воздуха 11×10⁻⁴ кг/(с×м³)
Fig. 13. Temperature field (a) and streamlines (b) for the area with the panel at the height of its location YTb=0.755 m under mixed convection conditions with air flow rate of 11∙10⁻⁴ kg/(s∙m³)
При расходе 11×10⁻⁴ кг/(с×м³), что соответствует Ri≈7,5, влияние вынужденной конвекции становится превалирующим (рис. 13). Поток относительно холодного воздуха внешней среды формирует развитое циркуляционное течение (рис. 13, б) и понижает общую температуру воздуха, во многом подавляя термогравитационную конвекцию от слабопрогревающихся стен и пола, но увеличивает среднюю температуру в локальной рабочей зоне (рис. 13, а). В этом случае температура над поверхностью оборудования увеличивается до 31 ℃. В рабочей зоне (20 см) слева и справа от панели значения температур также увеличиваются (рис. 13, а), что способствует формированию более комфортных условий работы (микроклимата).
Дальнейшее увеличение расхода воздуха (22×10⁻⁴, 33×10⁻⁴ кг/(с×м³)) не приводит к масштабным изменениям циркуляционных течений в исследуемой области (рис. 14, 15).
Движение в режиме смешанной конвекции воздушных масс, которое главным образом является причиной формирования температурного поля в локальной рабочей области, характеризуется восходящими потоками нагретого воздуха от поверхностей, на которые приходится основная доля лучистых потоков теплоты, и нисходящими потоками менее нагретого воздуха. Кроме того, на эти потоки влияет приток относительно холодного воздуха, который движется по инерции вправо, но под действием гравитации (имея более низкую температуру) и вниз. Этот поток существенно изменяет рециркуляционное движение в области между ГИИ и горизонтальной панелью.
Влияние интенсивности притока воздуха на распределения температуры поверхности горизонтальной панели и температуры воздуха по высоте на оси симметрии ГИИ иллюстрирует рис. 14.
Рис. 14. Поле температур (а) и линии тока (б) для области с панелью (координаты XTb=1600 мм и YTb=755 мм) в режиме смешанной конвекции при расходе воздуха 22×10⁻⁴ кг/(с×м³)
Fig. 14. Temperature field (a) and streamlines (b) for the area with the panel at the height of its location YTb=0.755 m under mixed convection condition with air flow rate of 22∙10⁻⁴ kg/(s∙m³)
Рис. 15. Поле температур (а) и линии тока (б) для области с панелью (координаты XTb=1600 мм и YTb=755 мм) в режиме смешанной конвекции при расходе воздуха 33⸳10⁻⁴ кг/(с×м³)
Fig. 15. Temperature field (a) and streamlines (b) for the area with the panel at the height of its location YTb=0.755 m under mixed convection condition with air flow rate of 33∙10⁻⁴ kg/(s∙m³)
Рис. 16. Распределение температур по координате Y на оси симметрии ГИИ (а) и поверхности панели (б) при YTb=755 мм в режиме естественной (1) и смешанной конвекции при различных расходах воздуха, кг/(с×м³): 2) 1×10⁻⁴, 3) 6×10⁻⁴, 4) 11×10⁻⁴, 5) 22×10⁻⁴, 6) 33×10⁻⁴
Fig. 16. Temperature distribution along the Y coordinate on the GIH symmetry axis (a) and the panel surface (b) at YTb=0.755 m under natural (1) and mixed convection conditions at various air flow rates, kg/(s∙m³): 2) 1×10⁻⁴, 3) 6×10⁻⁴, 4) 11×10⁻⁴, 5) 22×10⁻⁴, 6) 33×10⁻⁴
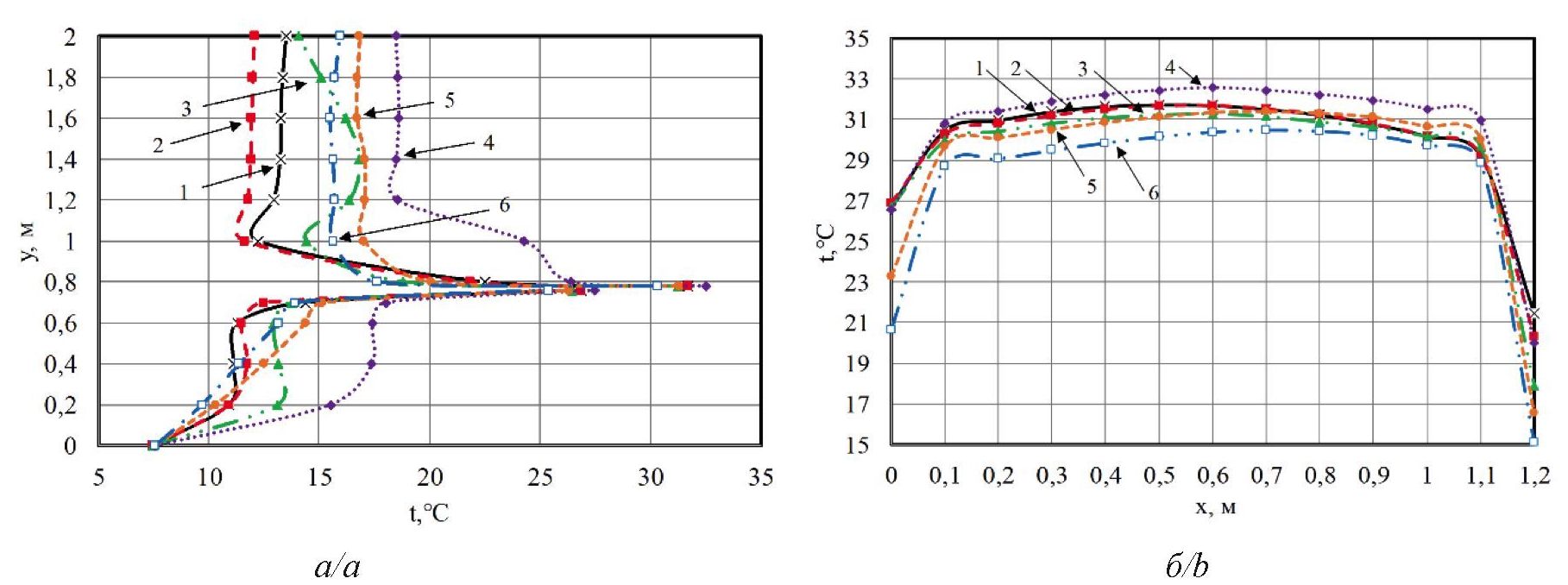
Рис. 17. Распределения температур по координате Y на расстояниях 200 мм от панели слева (а) и справа(б) при YTb=755 мм в режиме естественной (1) и смешанной конвекции при различных расходах воздуха кг/(с×м³): 2) 1×10⁻⁴, 3) 6×10⁻⁴, 4) 11×10⁻⁴, 5) 22×10⁻⁴, 6) 33×10⁻⁴
Fig. 17. Temperature distributions along the Y coordinate at distances of 0.2 m from the panel on the left (a) and right (b) at YTb=0.755 m under natural (1) and mixed convection conditions at various air flow rates, kg/(s∙m³): 2) 1×10⁻⁴, 3) 6×10⁻⁴, 4) 11×10⁻⁴, 5) 22×10⁻⁴, 6) 33×10⁻⁴
Изменение режима конвекции оказывает влияние и на теплообмен с горизонтальной панелью, что сопровождается, соответственно, изменением распределения температур над ее поверхностью (рис. 16, б). Анализ результатов, представленных на рис. 14, дает основание для вывода, что до расхода воздуха через приточную вентиляцию в 2×10⁻⁴ кг/(с×м³) охлаждение поверхности панели осуществляется в основном за счет термогравитационной конвекции, которая формирует распределение температур.
При расходах воздуха до 6×10⁻⁴ кг/(с×м³) из системы воздухообмена перепад температуры воздуха по высоте локальной зоны составляет не более 3 ℃ (рис. 17). При увеличении расхода циркуляционного воздуха перепад температур по высоте характеризуется значительным максимумом при Y=1 м, что связано с притоком нагретых масс воздуха в эту область (рис. 13–15), перепад температуры по высоте увеличивается до 11 ℃. В результате поступления нагретого воздуха в локальную зону вблизи панели увеличивается средняя температура воздуха в ней (рис. 18). Скорость движения воздушных масс в локальных областях также увеличивается с ростом расхода воздуха из системы воздухообмена (рис. 19).
Анализ результатов, представленных на рис. 20, а, позволяет сделать вывод о закономерностях изменения средней температуры воздуха в локальных рабочих зонах слева и справа от горизонтальной панели в зависимости от расхода воздуха в системе воздухообмена.
Рис. 18. Изменение средней температуры воздуха в локальных зонах (0<Y<2 м) на расстоянии 40 см от панели слева (а) и справа (б) во времени при различных расходах воздуха, кг/(с×м³): 1) 0; 2) 1×10⁻⁴, 3) 6×10⁻⁴, 4) 11×10⁻⁴, 5) 17×10⁻⁴, 6) 22×10⁻⁴, 7) 27×10⁻⁴, 8) 33×10⁻⁴
Fig. 18. Average air temperature in local working air change (0<Y<2 m) at a distance of 0.4 m from the panel on the left (a) and right (b) in time at different air flow rates, kg/(s∙m³): 1) 0, 1) 0; 2) 1×10⁻⁴, 3) 6×10⁻⁴, 4) 11×10⁻⁴, 5) 17×10⁻⁴, 6) 22×10⁻⁴, 7) 27×10⁻⁴, 8) 33×10⁻⁴
Рис. 19. Изменение средней скорости воздуха в локальных зонах (0<Y<2 м) на расстоянии 40 см от панели слева (а) и справа (б) во времени, при различных расходах воздуха, кг/(с×м³): 1) 0; 2) 1×10⁻⁴, 3) 6×10⁻⁴, 4) 11×10⁻⁴, 5) 17×10⁻⁴, 6) 22×10⁻⁴, 7) 27×10⁻⁴, 8) 33×10⁻⁴
Fig. 19. Average air velocity in local working air change (0<Y<2 m) at a distance of 0.4 m from the panel on the left (a) and right (b) in time at different air flow rates, kg/(s∙m³): 1) 0; 2) 1×10⁻⁴, 3) 6×10⁻⁴, 4) 11×10⁻⁴, 5) 17×10⁻⁴, 6) 22×10⁻⁴, 7) 27×10⁻⁴, 8) 33×10⁻⁴
Рис. 20. Зависимость средней температуры (а) и скорости (б) воздуха в локальных зонах (0<Y<2 м) на расстоянии 40 см от панели слева (1) и справа (2) в момент времени 60 мин от расхода воздуха
Fig. 20. Dependence of the average temperature (a) and velocity (b) of air on the air flow in local working area (0<Y<2 m) at a distance of 0.4 m from the panel on the left (1) and right (2) at a time of 60 min
При повышении расхода воздуха системы воздухообмена увеличивается средняя температура воздуха в локальных рабочих зонах слева и справа от панели. Это связано с тем, что средняя скорость воздуха в исследуемой области увеличивается (рис. 20, б), интенсифицируются циркуляционные течения и нагретый ГИИ в верхней части помещения воздух перемещается вниз, перемешиваясь при этом с менее нагретым, перепад температуры по высоте уменьшается, а средняя температура воздуха в локальной рабочей зоне увеличивается (рис. 20, а). При расходе воздуха через систему вентиляции около 22×10⁻⁴ кг/(с×м³) устанавливается максимально достижимая средняя температура в локальной рабочей зоне (рис. 20, а). В этом случае воздух, нагретый от ГИИ за счет его уноса основным холодным потоком воздуха, выходящего из приточного канала воздухообменной системы, находящийся в верхней части помещения, перемещается непосредственно в рассматриваемую локальную зону (рис. 14). Дальнейшее повышение расхода в системе воздухообмена приводит (рис. 20, а) к уменьшению температуры воздуха в помещении вследствие увеличения притока масс холодного (наружного) воздуха из системы воздухообмена.
Стоит отметить, что скорости движения воздушных масс в области расположения работающего находятся в пределах, установленных EN-16798. На основании анализа результатов (рис. 20) можно сделать обоснованный вывод о возможности влияния на микроклимат локальных рабочих зон путем регулирования расхода системы воздухообмена.
Заключение
По результатам экспериментального и теоретического изучения процессов переноса тепла в локальных рабочих зонах помещения при совместной работе газового инфракрасного излучателя и системы воздухообмена установлено, что режим конвективного теплообмена (естественный, смешанный), возникающего в помещении, оказывает существенное влияние на структуру течений и температурный режим воздушных масс в помещении. Работа системы воздухообмена с расположением в верхней части исследуемой области зон ввода и вывода воздушных масс увеличивает скорость воздуха в помещении, интенсифицируя процесс перемешивания нагретого и холодного воздуха, при этом уменьшая перепад его температуры по высоте помещения.
Приток в зону влияния газового инфракрасного излучателя холодного воздуха при малых и умеренных (до 2·10⁻⁴кг/с×м³) расходах последнего изменяет характер течения воздуха в локальной рабочей зоне. Например, при скорости воздуха 0,08 м/c средняя температура воздуха повышается на 5 градусов (с 12 до 17 ℃) в зоне влияния газового инфракрасного излучателя. При определенном расходе воздуха (22·10⁻⁴кг/с×м³) системы воздухообмена возможно установление максимально достижимой средней температуры воздуха (17 ℃) в локальных зонах, в которых может находится работающий. Такой режим работы системы воздухообмена повышает энергоэффективность использования систем газового инфракрасного излучения в крупногабаритных помещениях для обеспечения регламентного температурного режима в локальной рабочей зоне.
Полученные данные о распределении температур и скоростей воздуха дают возможность оценки влияния интенсивности смешанной конвекции на эффективность функционирования ГИИ при обеспечении нормативных условий микроклимата в рабочей зоне.
***
Благодарности: Работа выполнена при финансовой поддержке Российского Научного Фонда (проект № 20-19-00226).
Acknowledgements: This work was supported by the Russian Science Foundation (grant number 20-19-00226).
About the authors
Boris V. Borisov
National Research Tomsk Polytechnic University
Author for correspondence.
Email: bvborisov@tpu.ru
ORCID iD: 0000-0002-1172-1431
Dr. Sc., Professor
Russian Federation, 30, Lenin avenue, Tomsk, 634050Alexander V. Vyatkin
National Research Tomsk Polytechnic University
Email: avv47@tpu.ru
ORCID iD: 0000-0003-2238-7974
Postgraduate Student
Russian Federation, 30, Lenin avenue, Tomsk, 634050Geniy V. Kuznetsov
National Research Tomsk Polytechnic University
Email: kuznetsovgv@tpu.ru
ORCID iD: 0000-0002-8244-2894
Dr. Sc., Professor, National Research Tomsk Polytechnic University
Russian Federation, 30, Lenin avenue, Tomsk, 634050Vyacheslav I. Maksimov
National Research Tomsk Polytechnic University
Email: elf@tpu.ru
ORCID iD: 0000-0002-0908-8358
Cand. Sc., Associate Professor
Russian Federation, 30, Lenin avenue, Tomsk, 634050Tatiana A. Nagornova
National Research Tomsk Polytechnic University
Email: tania@tpu.ru
ORCID iD: 0000-0003-1863-4872
Cand. Sc., Associate Professor
Russian Federation, 30, Lenin avenue, Tomsk, 634050References
- Meha D., Dragusha B., Thakur J., Novosel T., Duić N. A novel spatial based approach for estimation of space heating demand saving potential and CO₂ emissions reduction in urban areas. Energy, 2021, vol. 225. doi: 10.1016/j.energy.2021.120251.
- Connolly D. Heat roadmap Europe: combining district heating with heat savings to decarbonise the EU energy system. Energy Policy, 2014, vol. 65, pp. 475–489. doi: 10.1016/j.enpol.2013.10.035.
- Liu X., Zhang T., Liu X., Li L., Lin L., Jiang Y. Energy saving potential for space heating in Chinese airport terminals: the impact of air infiltration. Energy, 2021, vol. 215. doi: 10.1016/j.energy.2020.119175.
- Kobelev N., Emelyanov S., Kretova V., Morzhavin A., Amelin V., Kobelev V. Energy-saving solution in the heating system of buildings. Procedia Engineering, 2015, vol. 117, pp. 186–190. doi: 10.1016/j.proeng.2015.08.139.
- Shen P., Wang Z., Ji Y. Exploring potential for residential energy saving in New York using developed lightweight prototypical building models based on survey data in the past decades. Sustainable Cities and Society, 2021, vol. 66. doi: 10.1016/j.scs.2020.102659.
- Nielsen S., Möller B. GIS based analysis of future district heating potential in Denmark. Energy, 2013, vol. 57, pp. 458–468. doi: 10.1016/j.energy.2013.05.041.
- ASHRAE, Standard 55-2017. Thermal Environmental Conditions for Human Occupancy. Atlanta, USA, ASHRAE, 2017. 60 p.
- ISO 7730, Moderate thermal environment – determination of the PMV and PPD indices and specification of the conditions for thermal comfort. Geneva, Switzerland, International Organization for Standardization, 2005. 50 p.
- De Dear R.J., Brager G.S. Thermal comfort in naturally ventilated buildings: revisions to ASHRAE Standard 55. Energy and Buildings, 2002, vol. 34, pp. 549–561. doi: 10.1016/S0378-7788(02)00005-1.
- Olesen B.W., Parsons K.C. Introduction to thermal comfort standards and to the proposed new version of EN ISO 7730. Energy and Buildings, 2002, vol. 34, pp. 537–548. doi: 10.1016/S0378-7788(02)00004-X.
- Li C.Z. Advances in the research of building energy saving. Energy and Buildings, 2022, vol. 254. doi: 10.1016/j.enbuild.2021.111556.
- Yan C., Wang S., Shan K., Lu Y. A simplified analytical model to evaluate the impact of radiant heat on building cooling load. Applied Thermal Engineering, 2015, vol. 77, pp. 30–41. doi: 10.1016/j.applthermaleng.2014.12.017.
- Wang D. Experimental study on the thermal performance of an enhanced-convection overhead radiant floor heating system. Energy Build., 2017, vol. 135, pp. 233–243. doi: 10.1016/j.enbuild.2016.11.017.
- Yu T. Experimental investigation of cooling performance of a novel HVAC system combining natural ventilation with diffuse ceiling inlet and TABS. Energy and Buildings, 2015, vol. 105, pp. 165–177. doi: 10.1016/j.enbuild.2015.07.039.
- Song W. Thermal comfort and energy performance of personal comfort systems (PCS): a systematic review and meta-analysis. Energy and Buildings, 2022, vol. 256. doi: 10.1016/j.enbuild.2021.111747.
- Lin B. Evaluation and comparison of thermal comfort of convective and radiant heating terminals in office buildings. Building and Environment, 2016, vol. 106, pp. 91–102. doi: 10.1016/j.buildenv.2016.06.015.
- Karmann C., Schiavon S., Bauman F. Thermal comfort in buildings using radiant vs. all-air systems: a critical literature review. Building and Environment, 2017, vol. 111, pp. 123–131. doi: 10.1016/j.buildenv.2016.10.020.
- Fallah M., Medghalchi Z. Proposal of a new approach for avoiding Anti-Insulation in residential buildings by considering occupant’s comfort condition. Thermal Science and Engineering Progress, 2020, vol. 20. doi: 10.1016/j.tsep.2020.100721.
- Sun H. Thermal performance investigation of a novel heating terminal integrated with flat heat pipe and heat transfer enhancement. Energy, 2021, vol. 236. doi: 10.1016/j.energy.2021.121411.
- Oravec J. A comparative study on the applicability of six radiant floor, wall, and ceiling heating systems based on thermal performance analysis. Journal of Building Engineering, 2021, vol. 36. doi: 10.1016/j.jobe.2020.102133.
- Jiang S. Numerical investigation of the energy efficiency of a serial pipe-embedded external wall system considering water temperature changes in the pipeline. Journal of Building Engineering, 2020, vol. 31. doi: 10.1016/j.jobe.2020.101435.
- Zhang C. A review of integrated radiant heating/cooling with ventilation systems – thermal comfort and indoor air quality. Energy and Buildings, 2020, vol. 223. doi: 10.1016/j.enbuild.2020.110094.
- Peng P. Field study and numerical investigation on heating performance of air carrying energy radiant air-conditioning system in an office. Energy and Buildings, 2020, vol. 209. doi: 10.1016/j.enbuild.2019.109712.
- Võsa K., Ferrantelli A., Kurnitskia J. A combined analytical model for increasing the accuracy of heat emission predictions in rooms heated by radiators. Journal of Building Engineering, 2019, vol. 23, pp. 291–300. doi: 10.1016/j.jobe.2019.02.009.
- Cardemil J.M. Thermal analysis of a water source heat pump for space heating using an outdoor pool as a heat source. Journal of Building Engineering, 2019, vol. 3. doi: 10.1016/j.jobe.2020.101581.
- Gourlis G., Kovacic I. Building Information Modelling for analysis of energy efficient industrial buildings – a case study. Renewable and Sustainable Energy Reviews, 2017, vol. 68, pp. 953–963. doi: 10.1016/j.rser.2016.02.009.
- Liu G. A temperature and time-sharing dynamic control approach for space heating of buildings in district heating system. Energy, 2021, vol. 221. doi: 10.1016/j.energy.2021.119835.
- Moutinho V. The driving forces of change in energy-related CO₂ emissions in Eastern, Western, Northern and Southern Europe: the LMDI approach to decomposition analysis. Renewable and Sustainable Energy Reviews, 2015, vol. 50, pp. 1485–1499. doi: 10.1016/j.rser.2015.05.072.
- Yang L., Yan H., Lam J.C. Thermal comfort and building energy consumption implications – a review, Applied Energy, 2014, vol. 115, pp. 164–173. doi: 10.1016/j.apenergy.2013.10.062.
- Kurilenko N.I. New approach to microclimate parameter selection for the production area with heat supply systems based on gas infrared radiators. EPJ Web of Conferences, 2016, vol. 110. doi: 10.1051/epjconf/201611001033.
- Kuznetsov G.V. Experimental and numerical study of heat transfer in production area heated by gas infrared source. International Journal of Thermal Sciences, 2020, vol. 154. doi: 10.1016/j.ijthermalsci.2020.106396.
- Kuznetsov G.V. Prognostic potential of free convection models for analysis of thermal conditions of heat supply objects. Thermal Science, 2018, vol. 22, pp. 545–556. doi: 10.2298/TSCI150625104K.
- Wang H. Experimental comparison of local direct heating to improve thermal comfort of workers. Building and Environment, 2020, vol. 177. doi: 10.1016/j.buildenv.2020.106884.
- Rhee K.-N., Kim K.W. A 50 year review of basic and applied research in radiant heating and cooling systems for the built environment. Building and Environment, 2015, vol. 91, pp. 166–190. doi: 10.1016/j.buildenv.2015.03.040.
- Lee E.H. A review on applications of infrared heating for food processing in comparison to other industries. Innovative Food Processing Technologies, 2021, pp. 431–455. doi: 10.1016/B978-0-08-100596-5.22670-X.
- Wang H. A nano-photonic filter for near infrared radiative heater. Applied Thermal Engineering, 2019, vol. 153, pp. 221–224. doi: 10.1016/j.applthermaleng.2019.03.001.
- Maznoy A. Development of a new infrared heater based on an annular cylindrical radiant burner for direct heating applications. Energy, 2020, vol. 204. doi: 10.1016/j.energy.2020.117965.
- Maksimov V.I. Advantage analysis of systems for ensuring local working zones thermal conditions based on gas infrared emitters in comparison with traditional convective heating systems. Bulletin of the Tomsk Polytechnic University. Geo Assets Engineering, 2021, vol. 332, no. 9, pp. 128–141. (In Russ.) doi: 10.18799/24131830/2021/9/3363.
- Dudkiewicz E., Szałański P. Overview of exhaust gas heat recovery technologies for radiant heating systems in large halls. Thermal Science and Engineering Progress, 2020, vol. 18. doi: 10.1016/j.tsep.2020.100522.
- Kurilenko N.I. Temperature patterns in the gas infrared radiator heating area. EPJ Web of Conferences, 2015, vol. 82. doi: 10.1051/epjconf/20158201006.
- Kuznetsov G.V. Experimental determination of the worker's clothing surface temperature during the ceramic gas heater operation. Thermal Science and Engineering Progress, 2021, vol. 22. doi: 10.1016/j.tsep.2021.100851.
- Hesaraki A., Huda N. A comparative review on the application of radiant low-temperature heating and high-temperature cooling for energy, thermal comfort, indoor air quality, design and control. Sustainable Energy Technologies and Assessments, 2022, vol. 49. doi: 10.1016/j.seta.2021.101661.
- Borisov B.V. Analysis of the influence of the gas infrared heater and equipment element relative positions on industrial premises thermal conditions. Energies, 2022, vol. 15. doi: 10.3390/en15228749.
- Borisov B.V. Mathematical modeling of heat transfer in a room with a gas infrared emitter, an air exchange system, and a local fence of the working area. Journal of Applied and Industrial Mathematics, 2023, vol. 17, pp. 15–24.
Supplementary files






















