Distribution of productivity elements in different morphotypes of pea plants
- Autores: Likhacheva L.I.1, Moskalev A.V.1, Likhacheva N.V.1
-
Afiliações:
- Ural Federal Agrarian Scientific Research Centre, Ural Branch of the Russian Academy of Sciences
- Edição: Nº 2 (2024)
- Páginas: 17-23
- Seção: Crop production, plant protection and biotechnology
- URL: https://medbiosci.ru/2500-2627/article/view/260361
- DOI: https://doi.org/10.31857/S2500262724020046
- EDN: https://elibrary.ru/GTWHGW
- ID: 260361
Citar
Texto integral
Resumo
The research was carried out in 2021–2023 in order to identify patterns in the formation of quantitative indicators of the main elements of productivity in seeded peas of various morphotypes to increase the efficiency of breeding. The experiments were carried out in the forest-steppe zone in the south–west of the Sverdlovsk region on gray forest soils according to the predecessor – wheat in a ten-field crop rotation. The material for the study was 24 varieties of baleen, leafy morphotype and «chameleons». The standard in the group of whiskered was Krasnoufimskyj 11, leafy – Marafon, chameleons – Spartak. The repetition is threefold. As a result of studying the pea collection, it was found that the studied groups of varieties had the highest productivity in whiskered forms of peas, thanks to such varieties as Ybilyar (282.2 g/ m2), Ryzhik (277.2 g/m2), KM 11 BK 22 (262.3 g/m2) and Tomas (261.3 g/m2). The largest number of beans on the plant were leafy forms of peas: Holik – 5.3 pcs.; Krasnoufimskyj 70–3.7 pcs.; 54 % of cultivars (13 pcs.) have the number of beans on the plant 2.7–3.3 pcs. According to the largest number of seeds in a bean, the leading position is occupied by cultivars of the whiskered morphotype and «chameleons» (14 varieties each – 3.4–4.3 pcs.). The leafy varieties have only 8 varieties with the maximum number of seeds in a bean (3.6–3.9 pcs.). There is a more uniform spread in this indicator among the whiskered cultivars. The weight of 1000 seeds in the studied cultivars of the whiskered morphotype and «chameleons» (220–250 g) was lower than in leafy varieties (250–300 g). Seeds of medium size (171–220 g) were found in 17 whiskered (71 %), 16 leafy (67 %) and 8 «chameleons» (33 %). The largest mass of seeds from one plant in the leafy morphotype is in the Tyumenskij kormovoj variety (3.0 g). In Chameleons, 58 % of cultivars (14 pcs.) have a plant productivity of 2.0 to 2.5 g. For effective breeding, it is necessary to use varieties of various morphotypes with the best biometric indicators in crosses and to focus on the selection of offspring for the morphotype of «mustachioed» peas with the best technological cultivation in the region.
Palavras-chave
Texto integral
Горох посевной как основную зернобобовую культуру широко возделывают в нашей стране в регионах с различными почвенно-климатическими условиями. Его продукция обладает набором важных качеств при использовании на продовольственные цели, а посевы культуры вносят вклад в азотный баланс наземных экосистем и агроценозов. В связи с этим площади, занимаемые горохом посевным в России, в 2023 г. достигли 1899,6 тыс. га (1,7 % от всех посевных площадей). За год они увеличились на 17,6 % (на 283,7 тыс. га), за десять лет ‒ на 95,3 % (на 643,1 тыс. га) [1].
Изначально в селекции гороха преобладали листочковые геноитпы, но в современных условиях происходит переориентация на сорта таких морфотипов, как «усатые» (безлисточковые) с сильно развитыми усами, образующими при сцеплении крепкий стеблестой, что создает условия для решения проблем полегаемости и осыпаемости (технологичности возделывания), и «хамелеоны», имеющие на стебле как усы, так и листочки [2, 3, 4]. Это вносит разнообразие в источники генетического материала для селекции и требует сравнительного изучения этих морфотипов по продуктивности и её наиболее важным элементам. Поэтому для эффективного ведения и получения высоких результатов селекционной работы необходимо не только правильно подбирать исходный материал (чем он разнообразнее, тем быстрее можно достичь результата), но и иметь его подробную характеристику по продолжительности вегетационного периода, продуктивности, элементам структуры урожая, особенностям развития вегетативных и генеративных органов [5, 6]. На семенную продуктивность гороха влияют различные признаки, среди которых можно назвать число продуктивных узлов, число бобов и семян на растении, масса семян с растения. При этом их проявление зависит от морфотипа и условий года, что усложняет выявление ценных генотипов [3, 5].
Цель исследования – выявить закономерности в количественных показателях основных элементов продуктивности гороха посевного различного морфотипа для повышения эффективности селекции.
Методика. Работу проводили в 2021–2023 гг. в Красноуфимском селекционном центре Уральского федерального аграрного научно-исследовательского центра УрО РАН (юго-запад Свердловской области в зоне лесостепи). Посевы гороха размещали в десятипольном севообороте на делянках коллекционного питомника. Предшественник – пшеница. Почва – серая лесная со следующими агрохимическими показателями: рНKCL (ГОСТ 26483-85) – 5,36 ед., гидролитическая кислотность (ГОСТ 26212-2021) – 3,83 мг-экв./100г почвы, содержание гумуса (ГОСТ 26213-2021) – 4,4 %, легкогидролизуемого азота (по Корнфилду) – 140,1 мг/кг почвы, подвижного калия и фосфора (ГОСТ 54650-2011) – 131,5 и 162,5 мг/кг почвы соответственно.
Посев проводили сеялкой ССФК-7, учетная площадь делянки 3 м², повторность – трехкратная, норма высева – 130 шт. всхожих семян на 1 м². Уборку осуществляли комбайном «Hege-125». Учет урожая выполняли путем взвешивания семян со всей делянки. Для снопового анализа отбирали по 25 растений с каждой делянки.
В качестве материала для исследований были выбраны по 24 сортообразца различных морфотипов – усатые, листочковые, «хамелеоны». Изучаемая выборка на 27,8 % состояла из генотипов зарубежной селекции и 72,2 % российской селекции, из них 9,7 % сортов собственной селекции. Стандартом в группе усатых сортов выступал Красноуфимский 11, листочковых – Марафон, «хамелеонов» – Спартак.
Измерения проводили согласно методике изучения коллекции [7]. Математическую обработку данных осуществляли с использованием программы Excel и надстройки AgStat методом дисперсионного анализа по Б. А. Доспехову [8]. Индекс среды (Ij) определяли по S. A. Eberhart и W. A. Russell [9].
Рис. 1. Метеоданные за период вегетации гороха.
Погодные условия за период изучения коллекции гороха варьировали от засушливых (2021, 2023 гг.) до оптимальных (2022 г.). В 2021 г. отмечали критическую недостачу влаги, ГТК варьировал от 0,4 до 1,4 (рис. 1), что негативно отразилось на общей продуктивности гороха (Ij = –115,56). В 2022 г. начало вегетации характеризовалось избытком влаги и теплой погодой в период цветение–созревание, что вызвало увеличение продолжительности периода вегетации, но позволило растениям сформировать хороший урожай (Ij = +117,58). В 2023 г. в начале вегетации гороха наблюдали засуху, осадки выпали в период цветение–созревание и растения смогли сформировать урожай (Ij = –2,02).
Результаты и обсуждение. Продуктивность растений гороха складывается из нескольких показателей. К основным ее элементам относят массу 1000 семян, количество бобов на растении, количество семян в бобе и на растении. Немаловажное значение имеет такой сортовой и технологический показатель, как высота растения. Эти элементы могут значительно различаться в зависимости, как от сорта, так и от условий среды [10].
Табл. 1. Результаты биометрического анализа изучаемых сортообразцов коллекции гороха усатого морфотипа (среднее за 2021–2023 гг.)
Сортообразец | Общая высота, см | Число бобов на растении, шт. | Число семян в бобе, шт. | Число семян на растении, шт. | Масса семян с 1 растения, г | Масса 1000 семян, г | Продуктивность, г/м² |
Красноуфимский 11, st. | 45,4 | 3,1 | 3,1 | 9,8 | 1,9 | 195,1 | 239,8 |
09-383 | 77,7 | 2,8 | 3,5 | 9,8 | 2,0 | 212,7 | 235,4 |
10-90 | 40,6 | 3,6 | 3,8 | 13,7 | 2,4 | 171,0 | 234,4 |
225ф/95 | 49,9 | 3,1 | 3,4 | 11,1 | 2,1 | 203,9 | 236,3 |
Ariane | 48,9 | 3,1 | 3,8 | 11,6 | 2,4 | 214,5 | 235,9 |
Аксайский усатый 55 | 50,8 | 2,8 | 4,1 | 11,6 | 2,1 | 195,3 | 237,4 |
Альянс | 60,1 | 3,0 | 3,8 | 11,0 | 2,0 | 201,0 | 245,7 |
Багу | 47,2 | 3,1 | 4,0 | 12,2 | 2,5 | 206,0 | 234,9 |
Батрак | 57,7 | 2,8 | 3,7 | 10,3 | 2,3 | 231,7 | 236,7 |
Бельмондо | 45,3 | 3,1 | 3,2 | 9,8 | 2,2 | 236,1 | 257,3 |
КМ 11 БК 22 | 39,6 | 2,5 | 3,8 | 9,3 | 2,1 | 234,6 | 262,3 |
Кумир | 41,5 | 2,8 | 3,1 | 8,9 | 1,9 | 253,0 | 237,0 |
Лумп | 44,5 | 2,9 | 3,8 | 11,0 | 2,2 | 207,3 | 237,7 |
Немчиновский 46 | 43,9 | 2,4 | 3,3 | 8,1 | 1,9 | 231,3 | 242,0 |
Омский 9 | 57,6 | 2,5 | 3,7 | 9,6 | 2,0 | 214,7 | 243,0 |
Оптимус | 46,1 | 2,5 | 3,7 | 9,1 | 1,8 | 209,1 | 249,9 |
Остинато | 38,1 | 2,7 | 3,9 | 10,3 | 2,1 | 205,0 | 246,3 |
Петра | 45,9 | 2,4 | 3,6 | 8,5 | 1,8 | 213,1 | 234,4 |
Рыжик | 39,9 | 2,6 | 3,3 | 8,6 | 2,0 | 228,3 | 277,2 |
Томас | 44,5 | 2,8 | 3,4 | 9,6 | 2,0 | 231,9 | 261,3 |
Тренди | 45,2 | 2,7 | 4,2 | 11,3 | 2,4 | 217,6 | 248,0 |
Триумф Сибири | 39,6 | 2,8 | 3,5 | 9,7 | 1,7 | 192,3 | 236,6 |
Шрек | 76,5 | 3,2 | 4,2 | 12,9 | 2,0 | 198,6 | 254,8 |
Юбиляр | 56,6 | 3,3 | 4,2 | 13,9 | 2,5 | 174,5 | 282,2 |
НСР05 | 8,6 | 0,9 | 0,5 | 3,5 | 18,2 | 0,8 | 72,2 |
Высота растений «усатого» морфотипа в наших исследованиях (табл. 1) варьировала в пределах 38,1…77,7 см (V=31 %), у наибольшего числа сортов (13 шт.) она составляла 38…46 см (рис. 2а). Самый длинный стебель отмечен у сорта Шрек (76,5 см) и линии 09–383 (77,7 см). Высота растений гороха листочкового морфотипа варьировала от 33,6 см до 69,8 см (V=38 %), больше всего было сортов (16 шт.) высотой 55,3…69,8 см (табл. 2). Максимальная в опыте высота растений этой группы отмечена у сортов Тюменский кормовой (69,8 см), Красноуфимский 70 (69,3 см) и Холик (64,0 см).
Табл. 2. Результаты биометрического анализа изучаемых сортообразцов коллекции гороха листочкового морфотипа (среднее за 2021–2023 гг.)
Сортообразец | Общая высота, см | Число бобов на растении, шт. | Число семян в бобе, шт. | Число семян на растении, шт. | Масса семян с 1 растения, г | Масса 1000 семян, г | Продуктивность, г/м² |
Марафон, st. | 56,8 | 2,7 | 3,5 | 9,6 | 1,8 | 191,0 | 230,9 |
13-24 | 51,1 | 3,1 | 3,9 | 11,9 | 2,5 | 210,9 | 270,6 |
Alam | 35,5 | 2,0 | 3,1 | 6,7 | 1,7 | 304,1 | 209,1 |
Erbi | 34,3 | 2,9 | 3,2 | 9,3 | 1,9 | 210,7 | 212,7 |
Lasma | 58,4 | 2,9 | 3,4 | 10,1 | 2,3 | 215,5 | 225,8 |
Mellort AC | 33,6 | 2,8 | 3,8 | 10,6 | 2,1 | 194,0 | 211,9 |
Zaiga | 56,1 | 3,2 | 3,4 | 11,1 | 2,1 | 198,3 | 250,0 |
Аванс | 56,5 | 3,2 | 3,4 | 11,2 | 2,0 | 184,5 | 219,0 |
АМЗК-99 | 63,7 | 3,6 | 3,7 | 13,0 | 2,5 | 195,3 | 219,6 |
Благодатный | 47,9 | 2,3 | 3,6 | 8,6 | 2,1 | 243,0 | 218,3 |
Венец | 58,5 | 2,8 | 3,3 | 9,4 | 1,7 | 191,7 | 231,0 |
Веселик | 36,4 | 3,0 | 3,0 | 9,3 | 2,2 | 232,7 | 209,9 |
Винэцъ-3 | 50,2 | 2,1 | 3,5 | 7,4 | 1,7 | 264,4 | 224,1 |
Красноградский 9 | 62,8 | 2,3 | 3,8 | 7,0 | 2,3 | 259,7 | 224,1 |
Красноуфимский 70 | 69,3 | 3,7 | 3,8 | 13,5 | 1,9 | 184,4 | 216,7 |
Надёжный | 59,2 | 2,3 | 3,4 | 7,8 | 2,0 | 252,9 | 215,8 |
Нарымский 14 | 61,3 | 2,9 | 3,5 | 10,0 | 2,0 | 203,9 | 248,8 |
Титан | 63,5 | 3,2 | 3,6 | 11,9 | 2,2 | 194,7 | 262,6 |
Тюменский кормовой | 69,8 | 3,5 | 3,9 | 13,9 | 3,0 | 233,1 | 236,8 |
Харьковский 85 | 57,1 | 3,5 | 3,8 | 13,5 | 2,5 | 188,3 | 227,6 |
Холик | 64,0 | 5,3 | 2,6 | 13,1 | 2,1 | 191,3 | 246,6 |
Черноземец | 58,1 | 3,0 | 3,3 | 9,8 | 2,0 | 209,3 | 216,9 |
Чишминский 229 | 63,0 | 3,4 | 3,2 | 10,9 | 2,4 | 238,7 | 238,3 |
Эдем | 39,0 | 3,0 | 3,9 | 11,5 | 1,9 | 171,3 | 222,4 |
НСР05 | 10,8 | 0,9 | 0,7 | 3,8 | 26,4 | 0,8 | 69,9 |
Все «хамелеоны» (табл. 3) представлены сортообразцами с высотой растений в пределах 32,0…46,1 см (V=31 %). Корреляционная зависимость между высотой и продуктивностью растения у «усатых» и «хамелеонов» была несущественной (r = 0,044 и 0,113 соответственно). У листочковых сортов наблюдали среднее влияние (r = 0,428) длины стебля на продуктивность растения (табл. 4). Согласно результатам дисперсионного анализа, доля влияния факторов среды на высоту растения гороха «усатого» морфотипа составляет 57,7 %, листочкового – 65,4 %, «хамелеонов» – 82,0 % (табл. 5). Наибольшую зависимость высоты растения от сортовых особенностей гороха наблюдали у «усатых» (36,2 %) и листочковых (27,9 %) сортов, наименьшей она была у «хамелеонов» – 9,6 %.
Табл. 3. Результаты биометрического анализа изучаемых сортообразцов коллекции гороха морфотипа «хамелеон» (среднее за 2021–2023 гг.)
Сортообразец | Общая высота, см | Число бобов на растении, шт. | Число семян в бобе, шт. | Число семян на растении, шт. | Масса семян с 1 растения, г | Масса 1000 семян, г | Продуктивность, г/м² |
Спартак, st. | 40,7 | 3,4 | 3,4 | 11,6 | 2,5 | 225,6 | 228,6 |
Аз-1061 | 36,6 | 2,8 | 3,0 | 8,5 | 1,9 | 233,6 | 219,2 |
Аз-129 | 39,1 | 2,9 | 3,2 | 9,3 | 1,8 | 205,3 | 174,4 |
Аз-130 | 35,6 | 2,8 | 3,2 | 8,9 | 1,9 | 228,3 | 179,3 |
Аз-131 | 40,4 | 2,9 | 3,1 | 9,0 | 1,9 | 201,7 | 209,7 |
Аз-136 | 39,3 | 3,1 | 3,8 | 11,7 | 2,5 | 232,0 | 243,9 |
Аз-1397 | 35,3 | 2,8 | 3,6 | 10,1 | 2,4 | 250,6 | 225,7 |
Аз-318 | 39,4 | 2,8 | 3,0 | 8,3 | 1,8 | 228,3 | 214,2 |
Аз-331 | 44,2 | 2,9 | 3,4 | 10,1 | 2,0 | 204,0 | 223,8 |
Аз-35 | 38,9 | 2,7 | 3,4 | 9,3 | 2,0 | 227,8 | 210,7 |
Аз-93-1347 | 43,5 | 3,2 | 4,1 | 12,9 | 1,8 | 176,0 | 212,1 |
Аз-93-1964 | 39,7 | 2,7 | 4,0 | 10,9 | 2,5 | 230,3 | 203,6 |
Аз-93-1995 | 46,1 | 2,4 | 4,3 | 10,2 | 2,1 | 226,7 | 240,4 |
Аз-95-464 | 36,4 | 2,9 | 3,1 | 8,9 | 2,0 | 237,1 | 193,8 |
Аз-95-614 | 44,1 | 2,4 | 4,1 | 9,7 | 1,8 | 197,7 | 197,8 |
Аз-95-645 | 41,1 | 3,0 | 3,4 | 10,0 | 1,9 | 200,3 | 145,4 |
Аз-96-610 | 40,5 | 2,6 | 4,0 | 10,6 | 2,1 | 209,7 | 221,8 |
Аз-96-637 | 32,0 | 2,5 | 2,8 | 7,1 | 1,7 | 231,0 | 179,4 |
Аз-96-718 | 43,5 | 2,8 | 3,1 | 9,0 | 2,2 | 244,0 | 172,7 |
Аз-97-775 | 35,3 | 2,6 | 3,7 | 9,7 | 2,2 | 240,3 | 212,8 |
Аз-99-4т | 34,4 | 2,8 | 3,4 | 9,6 | 2,2 | 243,7 | 234,1 |
Камелот | 40,3 | 3,0 | 3,5 | 10,5 | 1,8 | 236,0 | 221,9 |
Меценат | 34,7 | 2,3 | 3,5 | 8,0 | 1,5 | 194,6 | 113,2 |
Орёл | 33,4 | 2,6 | 3,2 | 8,2 | 1,9 | 246,2 | 204,8 |
НСР05 | 7,1 | 0,7 | 0,5 | 3,2 | 15,5 | 0,8 | 60,3 |
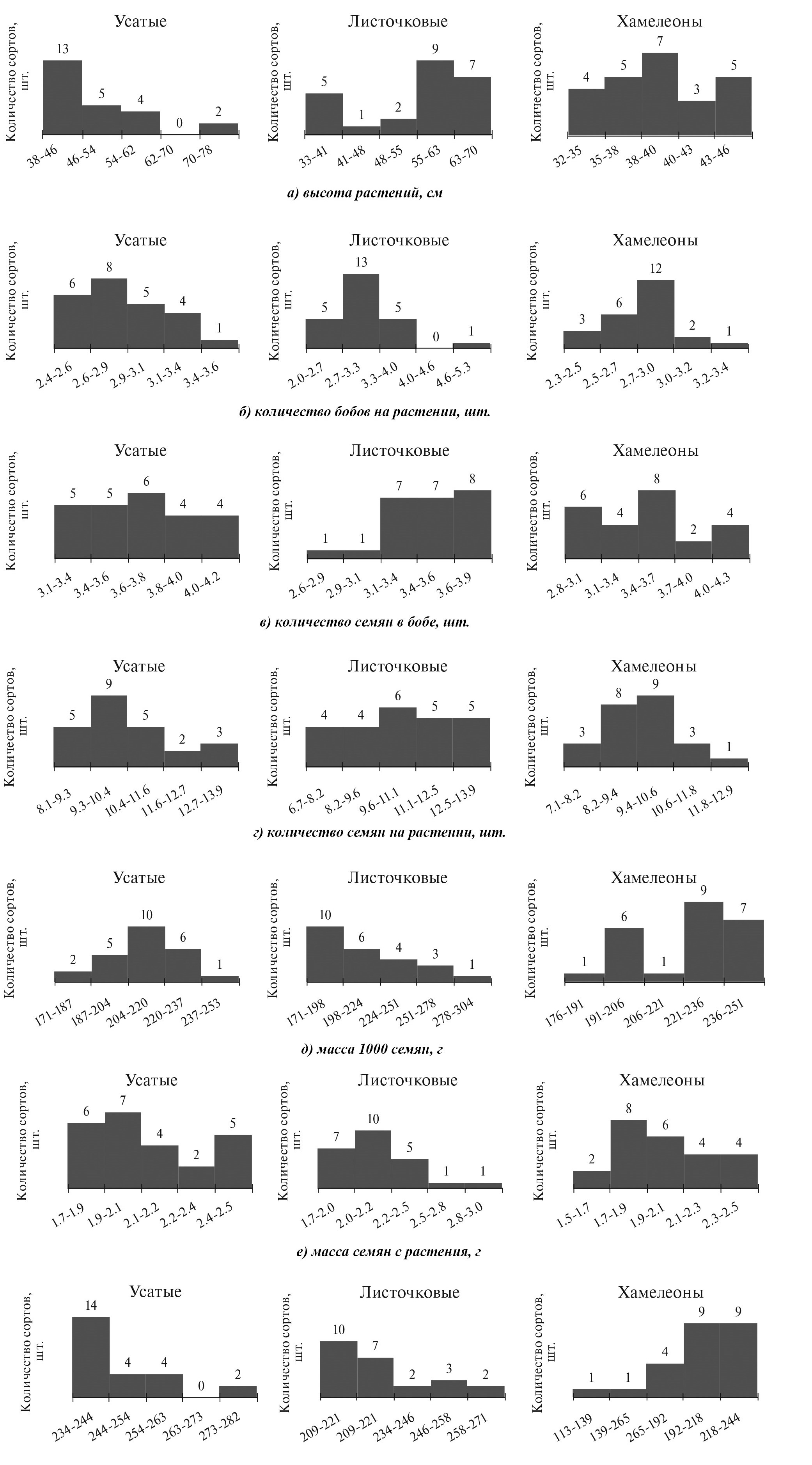
Рис. 2. Распределение количества сортов по степени проявления изучаемых признаков элементов продуктивности гороха от минимального к максимальному (с шагом 20 %). а) высота растений, см; б) количество бобов на растении, шт.; в) количество семян в бобе, шт.; д) масса 1000 семян, г; е) масса семян с растения, г; ж) продуктивность, г/м²
Число бобов на растении усатого морфотипа в нашем опыте варьировало от 2,4 шт. (Немчиновский 46, Петра) до 3,6 шт. (линия 10–90), при величине этого показателя у стандарта – 3,1 шт. У 8 сортообразцов (третья часть от количества исследуемых) число бобов на растении было ниже среднего (2,6…2,9 шт.) (см. рис. 2б). В группе листочковых сортообразцов величина этого показателя варьировала от 2,0 шт. (Alam) до 5,3 шт. (Холик), при числе бобов на растении у стандарта – 2,7 шт. У 13 сортообразцов (54 %) оно было ниже среднего (2,7…3,3 шт.). В группе «хамелеонов» наименьшее число бобов на растении отмечено у сортообразца Меценат (2,3 шт.), наибольшее (3,4 шт.) – у стандарта Спартак. У 12 сортообразцов (50 %) величина этого показателя была средней (2,7…3,0 шт.). Корреляция признака число бобов на растении с продуктивностью растения у «усатого» гороха составила r=0,572, у листочковых форм и «хамелеонов» она была несущественной – соответственно r=0,374 и r=0,381 (см. табл. 4). На число бобов на растении большое воздействие оказывают факторы среды: у «усатых» сортов – 52,6 %, листочковых – 52,5 %, «хамелеонов» – 42,9 %. На долю сортовых особенностей приходится соответственно 15,6 %, 15,3 % и 21,1 % (см. табл. 5).
Табл. 4. Корреляционные связи между биометрическими показателями морфотипов и продуктивностью одного растения
Статистический критерий | Высота растений | Число бобов на растении | Число семян в бобе | Число семян на растении | Масса 1000 семян |
Усатый морфотип | |||||
Коэффициент корреляции (r) | 0,044 | 0,572 | 0,534 | 0,758 | -0,270 |
Ошибка r | 0,213 | 0,175 | 0,180 | 0,139 | 0,205 |
tфакт. | 0,205 | 3,269 | 2,960 | 5,456 | -1,314 |
tтабл. | 2,100 | 2,100 | 2,100 | 2,100 | 2,100 |
Листочковый морфотип | |||||
Коэффициент корреляции (r) | 0,428 | 0,374 | 0,336 | 0,568 | -0,025 |
Ошибка r | 0,193 | 0,198 | 0,201 | 0,175 | 0,213 |
tфакт. | 2,222 | 1,893 | 1,675 | 3,237 | -0,117 |
tтабл. | 2,100 | 2,100 | 2,100 | 2,100 | 2,100 |
Морфотип «хамелеон» | |||||
Коэффициент корреляции (r) | 0,113 | 0,381 | 0,302 | 0,545 | 0,494 |
Ошибка r | 0,212 | 0,197 | 0,203 | 0,179 | 0,185 |
tфакт. | 0,534 | 1,933 | 1,488 | 3,046 | 2,664 |
tтабл. | 2,100 | 2,100 | 2,100 | 2,100 | 2,100 |
Число семян в бобе или выполненность, озернённость боба – наиболее стабильный признак, который мало изменяется по годам [3]. Самая низкая озернённость среди сортообразцов усатого морфотипа отмечена у стандарта Красноуфимский 11 и сорта Кумир (3,1 шт.), наибольшая (4,2 шт.) – у сортообразцов Тренди, Шрек, Юбиляр; у 6 сортообразцов (25 %) отмечено среднее количество семян в бобе (3,6…3,8 шт.) (см. рис. 2в). Среди образцов листочкового морфотипа самая низкая величина этого показателя (2,6 шт.) зафиксирована у сорта Холик, высокая (3,9 шт.) – у сортов Тюменский кормовой, Эдем и селекционной линии 13–24 (у стандарта – 3,5 шт.); 33 % сортообразцов формировали небольшое число семян в бобе (3,6…3,9 шт.). У растений морфотипа «хамелеон» самой низкой была величина этого показателя у Аз-96–637 (2,8 шт.); максимальной в опыте – у сортообразца Аз-93–1995 (4,3 шт.), при числе семян в бобе у стандарта – 3,4 шт.; средняя величина этого показатели (3,4…3,7 шт.) отмечена у 8 сортообразцов. Корреляция рассматриваемого признака с продуктивностью растения у «усатого» гороха составила r=0,534, у листочковых и «хамелеонов» она была несущественной – соответственно r=0,336 и r=0,302 (см. табл. 4). Наибольшая степень влияния среды на число семян в бобе составила 26,2 % у листочковых сортов, у «усатых» и «хамелеонов» его доля находилась на уровне 16,5 и 14,1 % соответственно. У «хамелеонов» и «усатых» сортов число семян в бобе в большей степени зависит от сортовых особенностей (61,2 и 50,7 % соответственно), у листочковых на их долю приходится 31,4 % (см. табл. 5).
Табл. 5. Влияние факторов генотипа и среды на основные элементы продуктивности (2021–2023 гг.), %
Фактор | Высота растений | Число бобов на растении | Число семян в бобе | Число семян на растении | Масса 1000 семян | Масса семян на растения | Продуктивность |
Усатый морфотип | |||||||
Среда, % | 57,8* | 52,6 | 16,4* | 46,5 | 29,4* | 60,3 | 86,6 |
Сорт, % | 36,2* | 15,6 | 50,7* | 24,1 | 57,9* | 10,5 | 1,6 |
Взаимодействие генотип×сорт, % | 6,0 | 31,8 | 32,9 | 29,4 | 12,7 | 29,2 | 11,9 |
Fфакт. | 12,0 | 1,0 | 3,1 | 1,6 | 9,1 | 0,7 | 0,3 |
Fтабл05 | 1,8 | 1,9 | 1,8 | 1,8 | 1,8 | 1,9 | 1,9 |
Точность опыта | 6,2 | 10,8 | 5,2 | 11,7 | 3,1 | 13,2 | 10,4 |
Листочковый морфотип | |||||||
Среда, % | 65,4* | 52,5* | 26,2 | 52,1* | 16,1* | 66,0 | 87,6 |
Сорт, % | 27,9* | 32,2* | 31,4 | 26,1* | 71,7* | 13,4 | 2,3 |
Взаимодействие генотип×сорт, % | 6,7 | 15,3 | 42,4 | 21,8 | 12,2 | 20,6 | 10,1 |
Fфакт. | 8,3 | 4,2 | 1,5 | 2,4 | 11,7 | 1,3 | 0,5 |
Fтабл05 | 1,8 | 1,8 | 1,8 | 1,8 | 1,8 | 1,8 | 1,9 |
Точность опыта | 7,1 | 10,6 | 7,4 | 13,0 | 4,4 | 12,6 | 10,9 |
Морфотип «хамелеон» | |||||||
Среда, % | 82,0* | 42,9 | 14,1* | 27,9 | 54,4* | 44,8 | 81,8* |
Сорт, % | 9,6* | 21,1 | 61,2* | 29,3 | 39,3* | 18,2 | 9,2* |
Взаимодействие генотип×сорт, % | 8,4 | 36,0 | 24,7 | 42,8 | 6,3 | 37,0 | 9,0 |
Fфакт. | 2,3 | 1,2 | 5,0 | 1,4 | 12,5 | 1,0 | 2,0 |
Fтабл05 | 1,8 | 1,8 | 1,8 | 1,8 | 1,8 | 1,9 | 1,8 |
Точность опыта | 6,4 | 8,4 | 5,3 | 11,6 | 2,5 | 13,8 | 10,5 |
* – влияние достоверно.
Наибольшим количеством семян в бобе среди «усатых» сортов (по 4,2 шт.) характеризовались Юбиляр (СамНЦ РАН), Шрек (ТюмНЦ СО РАН), Тренди (Чехия); листочковых (по 3,9 шт.) – 13–24 (Уральский НИИСХ), Тюменский кормовой (ТюмНЦ СО РАН), Эдем (Уральский НИИСХ); «хамелеонов» (4,3 шт.) – Аз-93–1995 (ФНЦ ЗБК).
Наименьшее количество семян с растения в наших исследованиях в группе сортов усатого морфотипа их (8,1 шт.) формировал Немчиновский 46, самое большое (13,9 шт.) – Томас, при величине этого показателя у стандарта – 9,8 шт.; у 38 % сортообразцов она была ниже среднего (9,3…10,4 шт.) (см. рис. 2г). Среди сортообразцов листочкового морфотипа количество семян с растения варьировало от 6,7 шт. у сорта Alam до 13,9 шт. у Тюменского кормового при величине этого показателя у стандарта – 9,6 шт.; у 6 сортообразцов отмечали среднее число семян с растения (9,6…11,1 шт.). У «хамелеонов» наименьшая величина этого показателя (7,1 шт.) зафиксирована у сортообразца Аз-96–637, самая высокая (12,9 шт.) – у Аз-93–1347 (у стандарта – 11,6 шт.). Среднее количество семян с растения (9,4…10,6 шт.) отмечено у 9 сортообразцов (38 %). Корреляция между этим признаком и продуктивностью у растений усатого морфотипа составляла r=0,758, листочкового – 0,568, «хамелеон» – 0,545 соответственно (см. табл. 4). Показатель «число семян на растении» у листочковых и «усатых» сортов зависел от факторов среды соответственно на 52,1 % и 46,4 %, у «хамелеонов» – на 27,9 %. На долю влияния особенностей сорта у растений всех морфотипов приходилось 24,1…29,3 % (см. табл. 5).
Самая низкая масса 1000 семян у гороха усатого морфотипа отмечена у сортообразца 10–90 (171,0 г), высокая (253,0 г) – у сорта Кумир, при величине этого показателя у стандарта – 195,1 г; 10 сортообразцов (42 %) формировали среднюю массу 1000 семян (204…220 г) (см. рис. 2д). У растений листочкового морфотипа она варьировала от 171,3 г у сорта Эдем до 304,1 г у сорта Alam (у стандарта – 191,0 г); 10 сортообразцов характеризовались низкой крупностью (171…198 г). У гороха морфотипа «хамелеон» наибольшая масса 1000 семян достигала 250,6 г у Аз1397, что больше стандарта на 25 г; у 9 сортообразцов она была выше средней (221…236 г). Корреляция этого признака с продуктивностью растений усатого морфотипа составила r= –0,270, листочкового – r= -0,025, «хамелеон» – r=0,494 (см. табл. 4). От условий года масса 1000 семян зависела у «хамелеонов» на 54,4 %, у «усатых» и листочковых – на 29,3 % и 16,1 % соответственно. У растений листочкового морфотипа крупнозёрность была во многом обусловлена сортовыми особенностями (71,7 %), у «усатых» и «хамелеонов» на их влияние приходилось 58,0 % и 39,3 % соответственно (см. табл. 5).
Самую высокую массу семян с одного растения усатого морфотипа (2,5 г) отмечали у сортов Юбиляр и Багу, при величине этого показателя у стандарта 1,9 г; у 54 % она была минимальной и ниже средней (1,7…2,1 г) (см. рис. 2е). У листочкового морфотипа наименьшая масса семян с растения (1,7 г) зафиксирована у сорта Винецъ-3, наибольшая (3,0 г) – у сорта Тюменский кормовой, при величине этого показателя у стандарта – 1,8 г; у 10 сортообразцов масса семян с растения была ниже средней (2,0…2,2 г). У гороха морфотипа «хамелеон» лучшими оказались сортообразцы Аз-136, Аз-93–1964, Спартак (2,5 г); у 58 % сортообразцов величина этого показателя на уровне среднего и ниже среднего (1,7…2,1 г). Корреляция массы семян с растения с урожайностью с 1 м² составила r=0,079, 0,405, 0,302 соответственно (см. табл. 4). Наибольшую зависимость величины этого показателя от условий среды наблюдали у гороха листочкового и «усатого» морфотипов (66,0 и 60,3 % соответственно), у «хамелеонов» она составляла 44,7 % (см. табл. 5). Влияние сортовых особенностей на этот признак было невысоким у всех морфотипов (10,5…18,2 %).
Анализ результатов исследований свидетельствует, что 7 сортообразцов коллекции усатого морфотипа достоверно превосходили стандарт Красноуфимский 11 по продуктивности на 8,2…42,4 г/м². Наибольшую величину этого показателя (282,2 г/м²) отмечали у сорта Юбиляр (см. табл. 1). Средняя урожайность сортов гороха «усатого» морфотипа составила 246,3 г/м² (234,4…282,2 г/м², V=42 %), преобладали сортообразцы с величиной этого показателя ниже среднего (234,4…253,6 г/м²) (см. рис. 2ж). В группе листочковых форм достоверное превосходство над стандартом Марафон по продуктивности отмечено у 6 сортообразцов (238,3…270,6 г/м²), наибольшей она была у селекционного номера 13–24 (см. табл. 2). Средняя урожайность сортообразцов гороха листочкового морфотипа составила 228,7 г/м² (209,1…270,6 г/м², V=47 %), преобладали генотипы с величинами этого показателя ниже среднего (17 шт.). У «хамелеонов» достоверно превысили стандарт Спартак по продуктивности только два сортообразца: Аз393–1995 – на 11,8 г/м² и Аз136 – на 15,3 г/м² (см. табл. 3). У сортообразцов морфотипа «хамелеон» средняя урожайность составила 203,5 г/м² (113,2…243,9 г/м², V=48 %). Наибольшее число сортообразцов обеспечили урожайность выше средней.
Основное влияние на урожайность сортов всех морфотипов оказали факторы среды (81,8…87,6 %), доля сортовых особенностей была незначительной (1,65…9,17 %). В целом сорта «усатого» морфотипа характеризовались в среднем большей урожайностью (246,1 г/м²) и большим потенциалом продуктивности (282,2 г/м²), чем остальные. Наименьшая средняя продуктивность отмечена у сортов в группе «хамелеоны». Наиболее продуктивными среди «усатых» были сорта Юбиляр (282,2 г/м²) и Рыжик (277,2 г/м²), листочковых – 13–24 (270,6 г/м²) и Титан (262,6 г/м²), «хамелеонов» – Аз-136 (243,9 г/м²) и Аз-93–1995 (240,4 г/м²).
Выводы. Самой высокой продуктивностью в изученных группах, благодаря таким сортам, как Юбиляр (282,2 г/м²), Рыжик (277,2 г/м²), КМ 11 БК 22 (262,3 г/м²) и Томас (261,3 г/м²), характеризовались усатые формы гороха. Наибольшее число бобов на растении имели листочковые формы гороха: Холик – 5,3 шт.; Красноуфимский 70–3,7 шт.
По количеству семян в бобе лидирующее положение занимали генотипы усатого морфотипа и «хамелеоны» (по 14 сортов – 3,4…4,3 шт.). У 8 сортообразцов листочковых форм отмечали наибольшее количество семян в бобе (3,6…3,9 шт.). Масса 1000 семян у изучаемых сортообразцов усатого морфотипа и «хамелеонов» (220…250 г) была ниже, чем у листочковых сортов (250…300 г). Семена средней крупности (171…220 г) выявлены у 17 усатых (71 %), 16 листочковых (67 %) и 8 «хамелеонов» (33 %).
Для эффективной селекции необходимо использовать сорта различных морфотипов с лучшими биометрическими показателями и делать упор на отбор потомства на морфотип «усатого» гороха, имеющего лучшую технологичность для возделывания условиях Среднего Урала.
ФИНАНСИРОВАНИЕ РАБОТЫ.
Исследования проводили в рамках научно-исследовательской работы «Фундаментальные основы управления селекционным процессом создания новых генотипов растений с высокими хозяйственно-ценными признаками продуктивности, устойчивости к био- и абиострессорам (150)» по теме «Создать новый селекционный материал гороха, сочетающий высокую потенциальную продуктивность, устойчивость к основным болезням и технологичность при уборке» (№ 0772–2014–0011). Никаких дополнительных грантов на проведение или руководство данным конкретным исследованием получено не было.
СОБЛЮДЕНИЕ ЭТИЧЕСКИХ СТАНДАРТОВ.
В работе отсутствуют исследования человека или животных.
КОНФЛИКТ ИНТЕРЕСОВ.
Авторы работы заявляют, что у них нет конфликта интересов.
Sobre autores
L. Likhacheva
Ural Federal Agrarian Scientific Research Centre, Ural Branch of the Russian Academy of Sciences
Autor responsável pela correspondência
Email: uralniishoz@mail.ru
Rússia, 620142, Sverdlovskaya obl., Ekaterinburg, ul. Belinskogo 112 A
A. Moskalev
Ural Federal Agrarian Scientific Research Centre, Ural Branch of the Russian Academy of Sciences
Email: uralniishoz@mail.ru
Rússia, 620142, Sverdlovskaya obl., Ekaterinburg, ul. Belinskogo 112 A
N. Likhacheva
Ural Federal Agrarian Scientific Research Centre, Ural Branch of the Russian Academy of Sciences
Email: uralniishoz@mail.ru
Rússia, 620142, Sverdlovskaya obl., Ekaterinburg, ul. Belinskogo 112 A
Bibliografia
- Сайт Федеральной службы государственной статистики: https://rosstat.gov.ru/compendium/document/13277 (дата обращения: 02.10.23).
- Катюк А. И. Формирование семенной продуктивности у коллекции гороха разных морфотипов в условиях Среднего Поволжья // Зерновое хозяйство России. 2020. № 5(71). С. 32–38. doi: 10.31367/2079–8725–2020–71–5–32–38.
- Лихачева Л. И., Москалев А. В. Взаимосвязь элементов продуктивности у гороха с усатым и листочковым морфотипом // Достижения науки и техники АПК. 2021. Т. 35. № 6. С. 15–19. doi: 10.24411/0235-2451-2021-10603.
- Соболева Г. В., Соболев А. Н. Скрининиг различных морфотипов гороха по устойчивости к осмотическому стрессу в селективных системах in vitro // Зернобобовые и крупяные культуры. 2019. № 3(31). С. 22–27. doi: 10.24411/2309-348X-2019-11109.
- Изучение генетического потенциала сортообразцов гороха разных морфотипов в условиях Ростовской области / А. Р. Ашиев, К. Н. Хабибуллин, П. И. Костылев и др. // Зерновое хозяйство России. 2018. № 1(55). С. 47–52.
- Катюк А. И. Формирование семенной продуктивности у коллекции гороха разных морфотипов в условиях Среднего Поволжья // Зерновое хозяйство России. 2020. № 5(71). С. 32–38. doi: 10.31367/2079-8725-2020-71-5-32-38.
- Коллекция мировых генетических ресурсов зерновых бобовых ВИР: пополнение, сохранение и изучение: методические указания / М. А. Вишнякова, И. В. Сеферова, Т. В. Буравцева, и др.; под науч. ред. М. А. Вишняковой – 2-е изд., перераб. и доп. – Санкт-Петербург: ВИР, 2018. – 143 с.
- Доспехов Б. А. Методика полевого опыта. Изд. 6-е, доп. и перераб. М.: Агропромиздат, 1985. С. 35.
- Пакудин В. З., Лопатина Л. М. Оценка экологической пластичности и стабильности сортов сельскохозяйственных культур // Сельскохозяйственная биология. 1984. № 4. С. 109–113.
- Кожухова Е. В., Орешникова О. П., Новиков В. В. Анализ элементов продуктивности коллекционных образцов гороха // Земледелие. 2021. № 7. С. 44–48. doi: 10.24412/0044-3913-2021-7-44-48.
Arquivos suplementares



