Production of J/ψ within the Soft Gluon Resummation Approach and Nonrelativistic QCD

Cover Page

Cite item

Full Text

Abstract

In our study we analyse prompt J/ψ production in proton-proton collisions within the Soft Gluon Resummation approach, collinear parton model and nonrelativistic QCD. We extract a set of long-distance matrix elements for octet color states from experimental data at √s = 200 GeV. We use the InEW scheme for matching cross section and description of J/ψ production in a domain of intermediate transverse momenta. We also provide prediction for J/ψ production using fitted matrix elements at the kinematics of SPD NICA.

Full Text

Введение

Одним из основных пунктов программы экспериментальных исследований коллаборации SPD NICA [1] является измерение сечений рождения и спектров по поперечному импульсу и быстроте чармониев в столкновениях поляризованных и неполяризованных протонов при энергиях от s =5 MathType@MTEF@5@5@+= feaahGart1ev3aaatCvAUfeBSjuyZL2yd9gzLbvyNv2CaerbuLwBLn hiov2DGi1BTfMBaeXatLxBI9gBaerbd9wDYLwzYbItLDharqqtubsr 4rNCHbGeaGGj0Jf9crFfpeea0xh9v8qiW7rqqrFfpeea0xe9Lq=Jc9 vqaqpepm0xbba9pwe9Q8fs0=yqaqpepae9pg0FirpepeKkFr0xfr=x fr=xb9adbaqaaeGaciGaaiaabeqaamaabaabaaGcbaWaaOaaaeaaca WGZbaaleqaaOGaaGypaiaaiwdaaaa@3AAA@  ГэВ до s =27 MathType@MTEF@5@5@+= feaahGart1ev3aaatCvAUfeBSjuyZL2yd9gzLbvyNv2CaerbuLwBLn hiov2DGi1BTfMBaeXatLxBI9gBaerbd9wDYLwzYbItLDharqqtubsr 4rNCHbGeaGGj0Jf9crFfpeea0xh9v8qiW7rqqrFfpeea0xe9Lq=Jc9 vqaqpepm0xbba9pwe9Q8fs0=yqaqpepae9pg0FirpepeKkFr0xfr=x fr=xb9adbaqaaeGaciGaaiaabeqaamaabaabaaGcbaWaaOaaaeaaca WGZbaaleqaaOGaaGypaiaaikdacaaI3aaaaa@3B68@  ГэВ. Основным механизмом рождения связанных состояний c c ¯ MathType@MTEF@5@5@+= feaahGart1ev3aaatCvAUfeBSjuyZL2yd9gzLbvyNv2CaerbuLwBLn hiov2DGi1BTfMBaeXatLxBI9gBaerbd9wDYLwzYbItLDharqqtubsr 4rNCHbGeaGGj0Jf9crFfpeea0xh9v8qiW7rqqrFfpeea0xe9Lq=Jc9 vqaqpepm0xbba9pwe9Q8fs0=yqaqpepae9pg0FirpepeKkFr0xfr=x fr=xb9adbaqaaeGaciGaaiaabeqaamaabaabaaGcbaGaam4yaiqado gagaqeaaaa@39EF@  -кварков является глюон-глюонное слияние, поэтому, изучая рождения чармониев, мы имеем возможность получить информацию о глюонных функциях распределения в протоне. Наиболее эффективным сигналом является рождение J/ψ MathType@MTEF@5@5@+= feaahGart1ev3aaatCvAUfeBSjuyZL2yd9gzLbvyNv2CaerbuLwBLn hiov2DGi1BTfMBaeXatLxBI9gBaerbd9wDYLwzYbItLDharqqtubsr 4rNCHbGeaGGj0Jf9crFfpeea0xh9v8qiW7rqqrFfpeea0xe9Lq=Jc9 vqaqpepm0xbba9pwe9Q8fs0=yqaqpepae9pg0FirpepeKkFr0xfr=x fr=xb9adbaqaaeGaciGaaiaabeqaamaabaabaaGcbaGaamOsaiaai+ cacqaHipqEaaa@3B5D@  -мезонов, которые детектируются по их распаду в лептонную пару. Рождение возбужденных состояний чармония, ψ(2S) MathType@MTEF@5@5@+= feaahGart1ev3aaatCvAUfeBSjuyZL2yd9gzLbvyNv2CaerbuLwBLn hiov2DGi1BTfMBaeXatLxBI9gBaerbd9wDYLwzYbItLDharqqtubsr 4rNCHbGeaGGj0Jf9crFfpeea0xh9v8qiW7rqqrFfpeea0xe9Lq=Jc9 vqaqpepm0xbba9pwe9Q8fs0=yqaqpepae9pg0FirpepeKkFr0xfr=x fr=xb9adbaqaaeGaciGaaiaabeqaamaabaabaaGcbaGaeqiYdKNaaG ikaiaaikdacaWGtbGaaGykaaaa@3CCE@  и χ cJ MathType@MTEF@5@5@+= feaahGart1ev3aaatCvAUfeBSjuyZL2yd9gzLbvyNv2CaerbuLwBLn hiov2DGi1BTfMBaeXatLxBI9gBaerbd9wDYLwzYbItLDharqqtubsr 4rNCHbGeaGGj0Jf9crFfpeea0xh9v8qiW7rqqrFfpeea0xe9Lq=Jc9 vqaqpepm0xbba9pwe9Q8fs0=yqaqpepae9pg0FirpepeKkFr0xfr=x fr=xb9adbaqaaeGaciGaaiaabeqaamaabaabaaGcbaGaeq4Xdm2aaS baaSqaaiaadogacaWGkbaabeaaaaa@3BA1@ , наблюдается в каскадных распадах через рождение J/ψ MathType@MTEF@5@5@+= feaahGart1ev3aaatCvAUfeBSjuyZL2yd9gzLbvyNv2CaerbuLwBLn hiov2DGi1BTfMBaeXatLxBI9gBaerbd9wDYLwzYbItLDharqqtubsr 4rNCHbGeaGGj0Jf9crFfpeea0xh9v8qiW7rqqrFfpeea0xe9Lq=Jc9 vqaqpepm0xbba9pwe9Q8fs0=yqaqpepae9pg0FirpepeKkFr0xfr=x fr=xb9adbaqaaeGaciGaaiaabeqaamaabaabaaGcbaGaamOsaiaai+ cacqaHipqEaaa@3B5D@ : ψ(2S)J/ψ+X MathType@MTEF@5@5@+= feaahGart1ev3aaatCvAUfeBSjuyZL2yd9gzLbvyNv2CaerbuLwBLn hiov2DGi1BTfMBaeXatLxBI9gBaerbd9wDYLwzYbItLDharqqtubsr 4rNCHbGeaGGj0Jf9crFfpeea0xh9v8qiW7rqqrFfpeea0xe9Lq=Jc9 vqaqpepm0xbba9pwe9Q8fs0=yqaqpepae9pg0FirpepeKkFr0xfr=x fr=xb9adbaqaaeGaciGaaiaabeqaamaabaabaaGcbaGaeqiYdKNaaG ikaiaaikdacaWGtbGaaGykaiabgkziUkaadQeacaaIVaGaeqiYdKNa ey4kaSIaamiwaaaa@43D0@  и χ cJ J/ψ+γ MathType@MTEF@5@5@+= feaahGart1ev3aaatCvAUfeBSjuyZL2yd9gzLbvyNv2CaerbuLwBLn hiov2DGi1BTfMBaeXatLxBI9gBaerbd9wDYLwzYbItLDharqqtubsr 4rNCHbGeaGGj0Jf9crFfpeea0xh9v8qiW7rqqrFfpeea0xe9Lq=Jc9 vqaqpepm0xbba9pwe9Q8fs0=yqaqpepae9pg0FirpepeKkFr0xfr=x fr=xb9adbaqaaeGaciGaaiaabeqaamaabaabaaGcbaGaeq4Xdm2aaS baaSqaaiaadogacaWGkbaabeaakiabgkziUkaadQeacaaIVaGaeqiY dKNaey4kaSIaeq4SdCgaaa@4377@ . Сечение рождения основного состояния чармония null -мезона по величине соизмеримо с сечением прямого рождения J/ψ MathType@MTEF@5@5@+= feaahGart1ev3aaatCvAUfeBSjuyZL2yd9gzLbvyNv2CaerbuLwBLn hiov2DGi1BTfMBaeXatLxBI9gBaerbd9wDYLwzYbItLDharqqtubsr 4rNCHbGeaGGj0Jf9crFfpeea0xh9v8qiW7rqqrFfpeea0xe9Lq=Jc9 vqaqpepm0xbba9pwe9Q8fs0=yqaqpepae9pg0FirpepeKkFr0xfr=x fr=xb9adbaqaaeGaciGaaiaabeqaamaabaabaaGcbaGaamOsaiaai+ cacqaHipqEaaa@3B5D@  -мезона, однако экспериментальное исследование таких процессов представляет серьезные трудности, так как основной канал распада η c MathType@MTEF@5@5@+= feaahGart1ev3aaatCvAUfeBSjuyZL2yd9gzLbvyNv2CaerbuLwBLn hiov2DGi1BTfMBaeXatLxBI9gBaerbd9wDYLwzYbItLDharqqtubsr 4rNCHbGeaGGj0Jf9crFfpeea0xh9v8qiW7rqqrFfpeea0xe9Lq=Jc9 vqaqpepm0xbba9pwe9Q8fs0=yqaqpepae9pg0FirpepeKkFr0xfr=x fr=xb9adbaqaaeGaciGaaiaabeqaamaabaabaaGcbaGaeq4TdG2aaS baaSqaaiaadogaaeqaaaaa@3AC7@   MathType@MTEF@5@5@+= feaahGart1ev3aqatCvAUfeBSjuyZL2yd9gzLbvyNv2CaerbuLwBLn hiov2DGi1BTfMBaeXatLxBI9gBaerbd9wDYLwzYbItLDharqqtubsr 4rNCHbGeaGqiVu0Je9sqqrpepC0xbbL8F4rqqrFfpeea0xe9Lq=Jc9 vqaqpepm0xbba9pwe9Q8fs0=yqaqpepae9pg0FirpepeKkFr0xfr=x fr=xb9adbaqaaeGaciGaaiaabeqaamaabaabaaGcbaqefmuySLMyYL gaiuaajugGbabaaaaaaaaapeGaa8hfGaaa@3A95@  это распад в легкие мезоны, что не позволяет выделить сигнал о рождении η c MathType@MTEF@5@5@+= feaahGart1ev3aaatCvAUfeBSjuyZL2yd9gzLbvyNv2CaerbuLwBLn hiov2DGi1BTfMBaeXatLxBI9gBaerbd9wDYLwzYbItLDharqqtubsr 4rNCHbGeaGGj0Jf9crFfpeea0xh9v8qiW7rqqrFfpeea0xe9Lq=Jc9 vqaqpepm0xbba9pwe9Q8fs0=yqaqpepae9pg0FirpepeKkFr0xfr=x fr=xb9adbaqaaeGaciGaaiaabeqaamaabaabaaGcbaGaeq4TdG2aaS baaSqaaiaadogaaeqaaaaa@3AC7@  из фона, который по величине на порядки его превышает. Проведенные ранее расчеты для <<перспективных>> каналов распада η c p p ¯ MathType@MTEF@5@5@+= feaahGart1ev3aaatCvAUfeBSjuyZL2yd9gzLbvyNv2CaerbuLwBLn hiov2DGi1BTfMBaeXatLxBI9gBaerbd9wDYLwzYbItLDharqqtubsr 4rNCHbGeaGGj0Jf9crFfpeea0xh9v8qiW7rqqrFfpeea0xe9Lq=Jc9 vqaqpepm0xbba9pwe9Q8fs0=yqaqpepae9pg0FirpepeKkFr0xfr=x fr=xb9adbaqaaeGaciGaaiaabeqaamaabaabaaGcbaGaeq4TdG2aaS baaSqaaiaadogaaeqaaOGaeyOKH4QaamiCaiqadchagaqeaaaa@3EC0@  и η c γγ MathType@MTEF@5@5@+= feaahGart1ev3aaatCvAUfeBSjuyZL2yd9gzLbvyNv2CaerbuLwBLn hiov2DGi1BTfMBaeXatLxBI9gBaerbd9wDYLwzYbItLDharqqtubsr 4rNCHbGeaGGj0Jf9crFfpeea0xh9v8qiW7rqqrFfpeea0xe9Lq=Jc9 vqaqpepm0xbba9pwe9Q8fs0=yqaqpepae9pg0FirpepeKkFr0xfr=x fr=xb9adbaqaaeGaciGaaiaabeqaamaabaabaaGcbaGaeq4TdG2aaS baaSqaaiaadogaaeqaaOGaeyOKH4Qaeq4SdCMaeq4SdCgaaa@400C@  показали, что отношение сигнал MathType@MTEF@5@5@+= feaahGart1ev3aqatCvAUfeBSjuyZL2yd9gzLbvyNv2CaerbuLwBLn hiov2DGi1BTfMBaeXatLxBI9gBaerbd9wDYLwzYbItLDharqqtubsr 4rNCHbGeaGqiVu0Je9sqqrpepC0xbbL8F4rqqrFfpeea0xe9Lq=Jc9 vqaqpepm0xbba9pwe9Q8fs0=yqaqpepae9pg0FirpepeKkFr0xfr=x fr=xb9adbaqaaeGaciGaaiaabeqaamaabaabaaGcbaqefmuySLMyYL gaiuaajugGbabaaaaaaaaapeGaa83eGaaa@3A94@  фон имеет порядок 10 3 MathType@MTEF@5@5@+= feaahGart1ev3aaatCvAUfeBSjuyZL2yd9gzLbvyNv2CaerbuLwBLn hiov2DGi1BTfMBaeXatLxBI9gBaerbd9wDYLwzYbItLDharqqtubsr 4rNCHbGeaGGj0Jf9crFfpeea0xh9v8qiW7rqqrFfpeea0xe9Lq=Jc9 vqaqpepm0xbba9pwe9Q8fs0=yqaqpepae9pg0FirpepeKkFr0xfr=x fr=xb9adbaqaaeGaciGaaiaabeqaamaabaabaaGcbaGaaGymaiaaic dadaahaaWcbeqaaiabgkHiTiaaiodaaaaaaa@3B53@  [2].

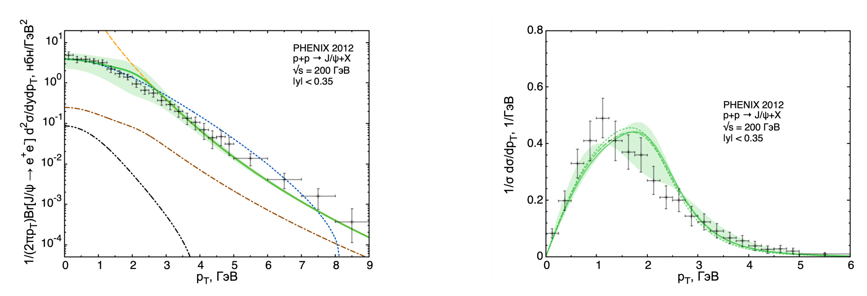
В настоящей работе проведен расчет спектров J/ψ MathType@MTEF@5@5@+= feaahGart1ev3aaatCvAUfeBSjuyZL2yd9gzLbvyNv2CaerbuLwBLn hiov2DGi1BTfMBaeXatLxBI9gBaerbd9wDYLwzYbItLDharqqtubsr 4rNCHbGeaGGj0Jf9crFfpeea0xh9v8qiW7rqqrFfpeea0xe9Lq=Jc9 vqaqpepm0xbba9pwe9Q8fs0=yqaqpepae9pg0FirpepeKkFr0xfr=x fr=xb9adbaqaaeGaciGaaiaabeqaamaabaabaaGcbaGaamOsaiaai+ cacqaHipqEaaa@3B5D@  -мезонов по поперечному импульсу в области малых значений p T 1 MathType@MTEF@5@5@+= feaahGart1ev3aaatCvAUfeBSjuyZL2yd9gzLbvyNv2CaerbuLwBLn hiov2DGi1BTfMBaeXatLxBI9gBaerbd9wDYLwzYbItLDharqqtubsr 4rNCHbGeaGGj0Jf9crFfpeea0xh9v8qiW7rqqrFfpeea0xe9Lq=Jc9 vqaqpepm0xbba9pwe9Q8fs0=yqaqpepae9pg0FirpepeKkFr0xfr=x fr=xb9adbaqaaeGaciGaaiaabeqaamaabaabaaGcbaGaamiCamaaBa aaleaacaWGubaabeaarqqr1ngBPrgifHhDYfgaiuaakiab=XJi6iaa igdaaaa@407F@  ГэВ, где форма спектра однозначно определяется зависимостью неколлинеарных глюонных функций распределения от поперечного импульса, в рамках подхода пересуммирования мягких глюонов [3, 4]. Для описания спектров J/ψ MathType@MTEF@5@5@+= feaahGart1ev3aaatCvAUfeBSjuyZL2yd9gzLbvyNv2CaerbuLwBLn hiov2DGi1BTfMBaeXatLxBI9gBaerbd9wDYLwzYbItLDharqqtubsr 4rNCHbGeaGGj0Jf9crFfpeea0xh9v8qiW7rqqrFfpeea0xe9Lq=Jc9 vqaqpepm0xbba9pwe9Q8fs0=yqaqpepae9pg0FirpepeKkFr0xfr=x fr=xb9adbaqaaeGaciGaaiaabeqaamaabaabaaGcbaGaamOsaiaai+ cacqaHipqEaaa@3B5D@  -мезонов при больших p T > M ψ MathType@MTEF@5@5@+= feaahGart1ev3aaatCvAUfeBSjuyZL2yd9gzLbvyNv2CaerbuLwBLn hiov2DGi1BTfMBaeXatLxBI9gBaerbd9wDYLwzYbItLDharqqtubsr 4rNCHbGeaGGj0Jf9crFfpeea0xh9v8qiW7rqqrFfpeea0xe9Lq=Jc9 vqaqpepm0xbba9pwe9Q8fs0=yqaqpepae9pg0FirpepeKkFr0xfr=x fr=xb9adbaqaaeGaciGaaiaabeqaamaabaabaaGcbaGaamiCamaaBa aaleaacaWGubaabeaakiaai6dacaWGnbWaaSbaaSqaaiabeI8a5bqa baaaaa@3D9F@  применена стандартная коллинеарная партонная модель (КПМ) [5]. Для описания промежуточной области поперечных импульсов используется метод обратных погрешностей (МОП) [6]. Представлено описание экспериментальных данных по рождению J/ψ MathType@MTEF@5@5@+= feaahGart1ev3aaatCvAUfeBSjuyZL2yd9gzLbvyNv2CaerbuLwBLn hiov2DGi1BTfMBaeXatLxBI9gBaerbd9wDYLwzYbItLDharqqtubsr 4rNCHbGeaGGj0Jf9crFfpeea0xh9v8qiW7rqqrFfpeea0xe9Lq=Jc9 vqaqpepm0xbba9pwe9Q8fs0=yqaqpepae9pg0FirpepeKkFr0xfr=x fr=xb9adbaqaaeGaciGaaiaabeqaamaabaabaaGcbaGaamOsaiaai+ cacqaHipqEaaa@3B5D@  -мезонов при энергии s =200 MathType@MTEF@5@5@+= feaahGart1ev3aaatCvAUfeBSjuyZL2yd9gzLbvyNv2CaerbuLwBLn hiov2DGi1BTfMBaeXatLxBI9gBaerbd9wDYLwzYbItLDharqqtubsr 4rNCHbGeaGGj0Jf9crFfpeea0xh9v8qiW7rqqrFfpeea0xe9Lq=Jc9 vqaqpepm0xbba9pwe9Q8fs0=yqaqpepae9pg0FirpepeKkFr0xfr=x fr=xb9adbaqaaeGaciGaaiaabeqaamaabaabaaGcbaWaaOaaaeaaca WGZbaaleqaaOGaaGypaiaaikdacaaIWaGaaGimaaaa@3C1B@  ГэВ, и сделаны предсказания для будущего эксперимента SPD NICA при энергии s =27 MathType@MTEF@5@5@+= feaahGart1ev3aaatCvAUfeBSjuyZL2yd9gzLbvyNv2CaerbuLwBLn hiov2DGi1BTfMBaeXatLxBI9gBaerbd9wDYLwzYbItLDharqqtubsr 4rNCHbGeaGGj0Jf9crFfpeea0xh9v8qiW7rqqrFfpeea0xe9Lq=Jc9 vqaqpepm0xbba9pwe9Q8fs0=yqaqpepae9pg0FirpepeKkFr0xfr=x fr=xb9adbaqaaeGaciGaaiaabeqaamaabaabaaGcbaWaaOaaaeaaca WGZbaaleqaaOGaaGypaiaaikdacaaI3aaaaa@3B68@  ГэВ.

 1 Подход пересуммирования мягких глюонов

 За пределами области применимости стандартной коллинеарной партонной модели лежит область малых поперечных импульсов p T M MathType@MTEF@5@5@+= feaahGart1ev3aaatCvAUfeBSjuyZL2yd9gzLbvyNv2CaerbuLwBLn hiov2DGi1BTfMBaeXatLxBI9gBaerbd9wDYLwzYbItLDharqqtubsr 4rNCHbGeaGGj0Jf9crFfpeea0xh9v8qiW7rqqrFfpeea0xe9Lq=Jc9 vqaqpepm0xbba9pwe9Q8fs0=yqaqpepae9pg0FirpepeKkFr0xfr=x fr=xb9adbaqaaeGaciGaaiaabeqaamaabaabaaGcbaGaamiCamaaBa aaleaacaWGubaabeaarqqr1ngBPrgifHhDYfgaiuaakiab=PMi9iaa d2eaaaa@40C7@ , где M MathType@MTEF@5@5@+= feaahGart1ev3aaatCvAUfeBSjuyZL2yd9gzLbvyNv2CaerbuLwBLn hiov2DGi1BTfMBaeXatLxBI9gBaerbd9wDYLwzYbItLDharqqtubsr 4rNCHbGeaGGj0Jf9crFfpeea0xh9v8qiW7rqqrFfpeea0xe9Lq=Jc9 vqaqpepm0xbba9pwe9Q8fs0=yqaqpepae9pg0FirpepeKkFr0xfr=x fr=xb9adbaqaaeGaciGaaiaabeqaamaabaabaaGcbaGaamytaaaa@38D9@   MathType@MTEF@5@5@+= feaahGart1ev3aqatCvAUfeBSjuyZL2yd9gzLbvyNv2CaerbuLwBLn hiov2DGi1BTfMBaeXatLxBI9gBaerbd9wDYLwzYbItLDharqqtubsr 4rNCHbGeaGqiVu0Je9sqqrpepC0xbbL8F4rqqrFfpeea0xe9Lq=Jc9 vqaqpepm0xbba9pwe9Q8fs0=yqaqpepae9pg0FirpepeKkFr0xfr=x fr=xb9adbaqaaeGaciGaaiaabeqaamaabaabaaGcbaqefmuySLMyYL gaiuaajugGbabaaaaaaaaapeGaa8hfGaaa@3A95@  масса состояния, рождающегося в столкновении адронов. Наиболее общий подход к описанию этой кинематической области носит название TMD-факторизации (Transverse Momentum Dependent) или неколлинеарной партонной модели (НКПМ) и представляет собой описание функций распределения партонов с малыми поперечными импульсами и их эволюции внутри протонов. Этот подход позволяет факторизовать сечение рождения частиц как произведение жесткой пертурбативной части, связанной с партонным глюонным или кварковым подпроцессом, и функций, описывающих распределение начальных партонов по импульсу. В партонных функциях распределения (ПФР) в общем случае не разделяются на распределения по продольной и поперечной компонентам импульса. Эволюция партонных распределений по жесткому масштабу факторизации μ F MathType@MTEF@5@5@+= feaahGart1ev3aaatCvAUfeBSjuyZL2yd9gzLbvyNv2CaerbuLwBLn hiov2DGi1BTfMBaeXatLxBI9gBaerbd9wDYLwzYbItLDharqqtubsr 4rNCHbGeaGGj0Jf9crFfpeea0xh9v8qiW7rqqrFfpeea0xe9Lq=Jc9 vqaqpepm0xbba9pwe9Q8fs0=yqaqpepae9pg0FirpepeKkFr0xfr=x fr=xb9adbaqaaeGaciGaaiaabeqaamaabaabaaGcbaGaeqiVd02aaS baaSqaaiaadAeaaeqaaaaa@3AB4@  и быстротному параметру ζ MathType@MTEF@5@5@+= feaahGart1ev3aaatCvAUfeBSjuyZL2yd9gzLbvyNv2CaerbuLwBLn hiov2DGi1BTfMBaeXatLxBI9gBaerbd9wDYLwzYbItLDharqqtubsr 4rNCHbGeaGGj0Jf9crFfpeea0xh9v8qiW7rqqrFfpeea0xe9Lq=Jc9 vqaqpepm0xbba9pwe9Q8fs0=yqaqpepae9pg0FirpepeKkFr0xfr=x fr=xb9adbaqaaeGaciGaaiaabeqaamaabaabaaGcbaGaeqOTdOhaaa@39C4@  контролируется уравнением ренормгруппы и системой дифференциальных уравнений Коллинза MathType@MTEF@5@5@+= feaahGart1ev3aqatCvAUfeBSjuyZL2yd9gzLbvyNv2CaerbuLwBLn hiov2DGi1BTfMBaeXatLxBI9gBaerbd9wDYLwzYbItLDharqqtubsr 4rNCHbGeaGqiVu0Je9sqqrpepC0xbbL8F4rqqrFfpeea0xe9Lq=Jc9 vqaqpepm0xbba9pwe9Q8fs0=yqaqpepae9pg0FirpepeKkFr0xfr=x fr=xb9adbaqaaeGaciGaaiaabeqaamaabaabaaGcbaqefmuySLMyYL gaiuaajugGbabaaaaaaaaapeGaa83eGaaa@3A94@  Сопера [5]. В нашем анализе мы рассматриваем и используем подход пересуммирования мягких глюонов (ПМГ) как один из вариантов НКПМ [3, 4].

В НКПМ партоны подразумеваются находящимися на массовой поверхности q 1,2 2 =0 MathType@MTEF@5@5@+= feaahGart1ev3aaatCvAUfeBSjuyZL2yd9gzLbvyNv2CaerbuLwBLn hiov2DGi1BTfMBaeXatLxBI9gBaerbd9wDYLwzYbItLDharqqtubsr 4rNCHbGeaGGj0Jf9crFfpeea0xh9v8qiW7rqqrFfpeea0xe9Lq=Jc9 vqaqpepm0xbba9pwe9Q8fs0=yqaqpepae9pg0FirpepeKkFr0xfr=x fr=xb9adbaqaaeGaciGaaiaabeqaamaabaabaaGcbaGaamyCamaaDa aaleaacaaIXaGaaGilaiaaikdaaeaacaaIYaaaaOGaaGypaiaaicda aaa@3D9E@  и их 4 MathType@MTEF@5@5@+= feaahGart1ev3aaatCvAUfeBSjuyZL2yd9gzLbvyNv2CaerbuLwBLn hiov2DGi1BTfMBaeXatLxBI9gBaerbd9wDYLwzYbItLDharqqtubsr 4rNCHbGeaGGj0Jf9crFfpeea0xh9v8qiW7rqqrFfpeea0xe9Lq=Jc9 vqaqpepm0xbba9pwe9Q8fs0=yqaqpepae9pg0FirpepeKkFr0xfr=x fr=xb9adbaqaaeGaciGaaiaabeqaamaabaabaaGcbaGaaGinaaaa@38C5@  -импульсы q 1 MathType@MTEF@5@5@+= feaahGart1ev3aaatCvAUfeBSjuyZL2yd9gzLbvyNv2CaerbuLwBLn hiov2DGi1BTfMBaeXatLxBI9gBaerbd9wDYLwzYbItLDharqqtubsr 4rNCHbGeaGGj0Jf9crFfpeea0xh9v8qiW7rqqrFfpeea0xe9Lq=Jc9 vqaqpepm0xbba9pwe9Q8fs0=yqaqpepae9pg0FirpepeKkFr0xfr=x fr=xb9adbaqaaeGaciGaaiaabeqaamaabaabaaGcbaGaamyCamaaBa aaleaacaaIXaaabeaaaaa@39E4@ , q 2 MathType@MTEF@5@5@+= feaahGart1ev3aaatCvAUfeBSjuyZL2yd9gzLbvyNv2CaerbuLwBLn hiov2DGi1BTfMBaeXatLxBI9gBaerbd9wDYLwzYbItLDharqqtubsr 4rNCHbGeaGGj0Jf9crFfpeea0xh9v8qiW7rqqrFfpeea0xe9Lq=Jc9 vqaqpepm0xbba9pwe9Q8fs0=yqaqpepae9pg0FirpepeKkFr0xfr=x fr=xb9adbaqaaeGaciGaaiaabeqaamaabaabaaGcbaGaamyCamaaBa aaleaacaaIYaaabeaaaaa@39E5@  в судаковском разложении записываются следующим образом:

                                               q 1 μ = x 1 p 1 μ + y 1 p 2 μ + q 1T μ , q 2 μ = x 2 p 2 μ + y 2 p 1 μ + q 2T μ , MathType@MTEF@5@5@+= feaahGart1ev3aaatCvAUfeBSjuyZL2yd9gzLbvyNv2CaerbuLwBLn hiov2DGi1BTfMBaeXatLxBI9gBaerbd9wDYLwzYbItLDharqqtubsr 4rNCHbGeaGGj0Jf9crFfpeea0xh9v8qiW7rqqrFfpeea0xe9Lq=Jc9 vqaqpepm0xbba9pwe9Q8fs0=yqaqpepae9pg0FirpepeKkFr0xfr=x fr=xb9adbaqaaeGaciGaaiaabeqaamaabaabaaGcbaGaamyCamaaDa aaleaacaaIXaaabaGaeqiVd0gaaOGaaGypaiaadIhadaWgaaWcbaGa aGymaaqabaGccaWGWbWaa0baaSqaaiaaigdaaeaacqaH8oqBaaGccq GHRaWkcaWG5bWaaSbaaSqaaiaaigdaaeqaaOGaamiCamaaDaaaleaa caaIYaaabaGaeqiVd0gaaOGaey4kaSIaamyCamaaDaaaleaacaaIXa GaamivaaqaaiabeY7aTbaakiaaiYcacaaIGaGaaGiiaiaaiccacaaI GaGaaGiiaiaaiccacaaIGaGaamyCamaaDaaaleaacaaIYaaabaGaeq iVd0gaaOGaaGypaiaadIhadaWgaaWcbaGaaGOmaaqabaGccaWGWbWa a0baaSqaaiaaikdaaeaacqaH8oqBaaGccqGHRaWkcaWG5bWaaSbaaS qaaiaaikdaaeqaaOGaamiCamaaDaaaleaacaaIXaaabaGaeqiVd0ga aOGaey4kaSIaamyCamaaDaaaleaacaaIYaGaamivaaqaaiabeY7aTb aakiaaiYcaaaa@698D@

где p 1,2 = s 2 (1,0,0,±1) MathType@MTEF@5@5@+= feaahGart1ev3aaatCvAUfeBSjuyZL2yd9gzLbvyNv2CaerbuLwBLn hiov2DGi1BTfMBaeXatLxBI9gBaerbd9wDYLwzYbItLDharqqtubsr 4rNCHbGeaGGj0Jf9crFfpeea0xh9v8qiW7rqqrFfpeea0xe9Lq=Jc9 vqaqpepm0xbba9pwe9Q8fs0=yqaqpepae9pg0FirpepeKkFr0xfr=x fr=xb9adbaqaaeGaciGaaiaabeqaamaabaabaaGcbaGaamiCamaaBa aaleaacaaIXaGaaGilaiaaikdaaeqaaOGaaGypamaalaaabaWaaOaa aeaacaWGZbaaleqaaaGcbaGaaGOmaaaacaaIOaGaaGymaiaaiYcaca aIWaGaaGilaiaaicdacaaISaGaeyySaeRaaGymaiaaiMcaaaa@466E@   MathType@MTEF@5@5@+= feaahGart1ev3aqatCvAUfeBSjuyZL2yd9gzLbvyNv2CaerbuLwBLn hiov2DGi1BTfMBaeXatLxBI9gBaerbd9wDYLwzYbItLDharqqtubsr 4rNCHbGeaGqiVu0Je9sqqrpepC0xbbL8F4rqqrFfpeea0xe9Lq=Jc9 vqaqpepm0xbba9pwe9Q8fs0=yqaqpepae9pg0FirpepeKkFr0xfr=x fr=xb9adbaqaaeGaciGaaiaabeqaamaabaabaaGcbaqefmuySLMyYL gaiuaajugGbabaaaaaaaaapeGaa8hfGaaa@3A95@  импульсы сталкивающихся протонов; x i MathType@MTEF@5@5@+= feaahGart1ev3aaatCvAUfeBSjuyZL2yd9gzLbvyNv2CaerbuLwBLn hiov2DGi1BTfMBaeXatLxBI9gBaerbd9wDYLwzYbItLDharqqtubsr 4rNCHbGeaGGj0Jf9crFfpeea0xh9v8qiW7rqqrFfpeea0xe9Lq=Jc9 vqaqpepm0xbba9pwe9Q8fs0=yqaqpepae9pg0FirpepeKkFr0xfr=x fr=xb9adbaqaaeGaciGaaiaabeqaamaabaabaaGcbaGaamiEamaaBa aaleaacaWGPbaabeaaaaa@3A1E@  и y i = q iT 2 /(s x i ) MathType@MTEF@5@5@+= feaahGart1ev3aaatCvAUfeBSjuyZL2yd9gzLbvyNv2CaerbuLwBLn hiov2DGi1BTfMBaeXatLxBI9gBaerbd9wDYLwzYbItLDharqqtubsr 4rNCHbGeaGGj0Jf9crFfpeea0xh9v8qiW7rqqrFfpeea0xe9Lq=Jc9 vqaqpepm0xbba9pwe9Q8fs0=yqaqpepae9pg0FirpepeKkFr0xfr=x fr=xb9adbaqaaeGaciGaaiaabeqaamaabaabaaGcbaGaamyEamaaBa aaleaacaWGPbaabeaakiaai2daceWGXbGbaSaadaqhaaWcbaGaamyA aiaadsfaaeaacaaMi8UaaGjcVlaaikdaaaGccaaIVaGaaGikaiaado hacaWG4bWaaSbaaSqaaiaadMgaaeqaaOGaaGykaaaa@470B@   MathType@MTEF@5@5@+= feaahGart1ev3aqatCvAUfeBSjuyZL2yd9gzLbvyNv2CaerbuLwBLn hiov2DGi1BTfMBaeXatLxBI9gBaerbd9wDYLwzYbItLDharqqtubsr 4rNCHbGeaGqiVu0Je9sqqrpepC0xbbL8F4rqqrFfpeea0xe9Lq=Jc9 vqaqpepm0xbba9pwe9Q8fs0=yqaqpepae9pg0FirpepeKkFr0xfr=x fr=xb9adbaqaaeGaciGaaiaabeqaamaabaabaaGcbaqefmuySLMyYL gaiuaajugGbabaaaaaaaaapeGaa8hfGaaa@3A95@  доли продольных импульсов; q iT MathType@MTEF@5@5@+= feaahGart1ev3aaatCvAUfeBSjuyZL2yd9gzLbvyNv2CaerbuLwBLn hiov2DGi1BTfMBaeXatLxBI9gBaerbd9wDYLwzYbItLDharqqtubsr 4rNCHbGeaGGj0Jf9crFfpeea0xh9v8qiW7rqqrFfpeea0xe9Lq=Jc9 vqaqpepm0xbba9pwe9Q8fs0=yqaqpepae9pg0FirpepeKkFr0xfr=x fr=xb9adbaqaaeGaciGaaiaabeqaamaabaabaaGcbaGaamyCamaaBa aaleaacaWGPbGaamivaaqabaaaaa@3AF0@   MathType@MTEF@5@5@+= feaahGart1ev3aqatCvAUfeBSjuyZL2yd9gzLbvyNv2CaerbuLwBLn hiov2DGi1BTfMBaeXatLxBI9gBaerbd9wDYLwzYbItLDharqqtubsr 4rNCHbGeaGqiVu0Je9sqqrpepC0xbbL8F4rqqrFfpeea0xe9Lq=Jc9 vqaqpepm0xbba9pwe9Q8fs0=yqaqpepae9pg0FirpepeKkFr0xfr=x fr=xb9adbaqaaeGaciGaaiaabeqaamaabaabaaGcbaqefmuySLMyYL gaiuaajugGbabaaaaaaaaapeGaa8hfGaaa@3A95@  поперечные компоненты импульсов ( q iT 2 = q iT 2 MathType@MTEF@5@5@+= feaahGart1ev3aaatCvAUfeBSjuyZL2yd9gzLbvyNv2CaerbuLwBLn hiov2DGi1BTfMBaeXatLxBI9gBaerbd9wDYLwzYbItLDharqqtubsr 4rNCHbGeaGGj0Jf9crFfpeea0xh9v8qiW7rqqrFfpeea0xe9Lq=Jc9 vqaqpepm0xbba9pwe9Q8fs0=yqaqpepae9pg0FirpepeKkFr0xfr=x fr=xb9adbaqaaeGaciGaaiaabeqaamaabaabaaGcbaGaamyCamaaDa aaleaacaWGPbGaamivaaqaaiaaikdaaaGccaaI9aGaeyOeI0IabmyC ayaalaWaa0baaSqaaiaadMgacaWGubaabaGaaGjcVlaayIW7caaIYa aaaaaa@4445@  ).

Поправками O( q T 2 / M 2 ) MathType@MTEF@5@5@+= feaahGart1ev3aaatCvAUfeBSjuyZL2yd9gzLbvyNv2CaerbuLwBLn hiov2DGi1BTfMBaeXatLxBI9gBaerbd9wDYLwzYbItLDharqqtubsr 4rNCHbGeaGGj0Jf9crFfpeea0xh9v8qiW7rqqrFfpeea0xe9Lq=Jc9 vqaqpepm0xbba9pwe9Q8fs0=yqaqpepae9pg0FirpepeKkFr0xfr=x fr=xb9adbaqaaeGaciGaaiaabeqaamaabaabaaGcbaWefv3ySLgznf gDOfdaryqr1ngBPrginfgDObYtUvgaiuaacqWFoe=tcaaIOaGabmyC ayaalaWaa0baaSqaaiaadsfaaeaacaaMi8UaaGjcVlaaikdaaaGcca aIVaGaamytamaaCaaaleqabaGaaGOmaaaakiaaiMcaaaa@4D3D@  далее будем пренебрегать, т. е. в таком приближении y 1,2 0 MathType@MTEF@5@5@+= feaahGart1ev3aaatCvAUfeBSjuyZL2yd9gzLbvyNv2CaerbuLwBLn hiov2DGi1BTfMBaeXatLxBI9gBaerbd9wDYLwzYbItLDharqqtubsr 4rNCHbGeaGGj0Jf9crFfpeea0xh9v8qiW7rqqrFfpeea0xe9Lq=Jc9 vqaqpepm0xbba9pwe9Q8fs0=yqaqpepae9pg0FirpepeKkFr0xfr=x fr=xb9adbaqaaeGaciGaaiaabeqaamaabaabaaGcbaGaamyEamaaBa aaleaacaaIXaGaaGilaiaaikdaaeqaaOGaeyOKH4QaaGimaaaa@3E0F@ , а импульсы партонов с малыми поперечными компонентами представляют собой:

                                               q1x1s2,q1T,x1s2q2x2s2,q2T,x2s2.                                                     (1)

 

Общая для НКПМ теорема описывает рождение конечного состояния как свертку ПФР с сечением рождения в партонном подпроцессе [5]:

                                           dσ= d x 1 d x 2 d 2 q 1T d 2 q 2T F( x 1 , q 1T , μ F , ζ 1 )F( x 2 , q 2T , μ F , ζ 2 )d σ ^ , MathType@MTEF@5@5@+= feaahGart1ev3aaatCvAUfeBSjuyZL2yd9gzLbvyNv2CaerbuLwBLn hiov2DGi1BTfMBaeXatLxBI9gBaerbd9wDYLwzYbItLDharqqtubsr 4rNCHbGeaGGj0Jf9crFfpeea0xh9v8qiW7rqqrFfpeea0xe9Lq=Jc9 vqaqpepm0xbba9pwe9Q8fs0=yqaqpepae9pg0FirpepeKkFr0xfr=x fr=xb9adbaqaaeGaciGaaiaabeqaamaabaabaaGcbaGaamizaiabeo 8aZjaai2dadaWdbaqabSqabeqaniabgUIiYdGccaWGKbGaamiEamaa BaaaleaacaaIXaaabeaakiaadsgacaWG4bWaaSbaaSqaaiaaikdaae qaaOGaaGjcVlaadsgadaahaaWcbeqaaiaaikdaaaGccaWGXbWaaSba aSqaaiaaigdacaWGubaabeaakiaayIW7caWGKbWaaWbaaSqabeaaca aIYaaaaOGaamyCamaaBaaaleaacaaIYaGaamivaaqabaGccaaMi8Ua amOraiaaiIcacaWG4bWaaSbaaSqaaiaaigdaaeqaaOGaaGilaiqadg hagaWcamaaBaaaleaacaaIXaGaamivaaqabaGccaaISaGaeqiVd02a aSbaaSqaaiaadAeaaeqaaOGaaGilaiabeA7a6naaBaaaleaacaaIXa aabeaakiaaiMcacaWGgbGaaGikaiaadIhadaWgaaWcbaGaaGOmaaqa baGccaaISaGabmyCayaalaWaaSbaaSqaaiaaikdacaWGubaabeaaki aaiYcacqaH8oqBdaWgaaWcbaGaamOraaqabaGccaaISaGaeqOTdO3a aSbaaSqaaiaaikdaaeqaaOGaaGykaiaayIW7caWGKbGafq4WdmNbaK aacaaISaaaaa@730F@                                                 (2)

 где d σ ^ MathType@MTEF@5@5@+= feaahGart1ev3aaatCvAUfeBSjuyZL2yd9gzLbvyNv2CaerbuLwBLn hiov2DGi1BTfMBaeXatLxBI9gBaerbd9wDYLwzYbItLDharqqtubsr 4rNCHbGeaGGj0Jf9crFfpeea0xh9v8qiW7rqqrFfpeea0xe9Lq=Jc9 vqaqpepm0xbba9pwe9Q8fs0=yqaqpepae9pg0FirpepeKkFr0xfr=x fr=xb9adbaqaaeGaciGaaiaabeqaamaabaabaaGcbaGaamizaiqbeo 8aZzaajaaaaa@3AC3@   MathType@MTEF@5@5@+= feaahGart1ev3aqatCvAUfeBSjuyZL2yd9gzLbvyNv2CaerbuLwBLn hiov2DGi1BTfMBaeXatLxBI9gBaerbd9wDYLwzYbItLDharqqtubsr 4rNCHbGeaGqiVu0Je9sqqrpepC0xbbL8F4rqqrFfpeea0xe9Lq=Jc9 vqaqpepm0xbba9pwe9Q8fs0=yqaqpepae9pg0FirpepeKkFr0xfr=x fr=xb9adbaqaaeGaciGaaiaabeqaamaabaabaaGcbaqefmuySLMyYL gaiuaajugGbabaaaaaaaaapeGaa8hfGaaa@3A95@  сечение жесткого партонного подпроцесса 21 MathType@MTEF@5@5@+= feaahGart1ev3aaatCvAUfeBSjuyZL2yd9gzLbvyNv2CaerbuLwBLn hiov2DGi1BTfMBaeXatLxBI9gBaerbd9wDYLwzYbItLDharqqtubsr 4rNCHbGeaGGj0Jf9crFfpeea0xh9v8qiW7rqqrFfpeea0xe9Lq=Jc9 vqaqpepm0xbba9pwe9Q8fs0=yqaqpepae9pg0FirpepeKkFr0xfr=x fr=xb9adbaqaaeGaciGaaiaabeqaamaabaabaaGcbaGaaGOmaiabgk ziUkaaigdaaaa@3B6B@ , в котором рождаются состояния с малыми поперечными импульсами:

                                               dσ^=(2π)4δ(4)q1+q2p|M(21)|2¯Id3p(2π)32p0,

здесь I2 x 1 x 2 s MathType@MTEF@5@5@+= feaahGart1ev3aaatCvAUfeBSjuyZL2yd9gzLbvyNv2CaerbuLwBLn hiov2DGi1BTfMBaeXatLxBI9gBaerbd9wDYLwzYbItLDharqqtubsr 4rNCHbGeaGGj0Jf9crFfpeea0xh9v8qiW7rqqrFfpeea0xe9Lq=Jc9 vqaqpepm0xbba9pwe9Q8fs0=yqaqpepae9pg0FirpepeKkFr0xfr=x fr=xb9adbaqaaeGaciGaaiaabeqaamaabaabaaGcbaGaamysaiabgI Ki7kaaikdacaWG4bWaaSbaaSqaaiaaigdaaeqaaOGaamiEamaaBaaa leaacaaIYaaabeaakiaadohaaaa@4017@   MathType@MTEF@5@5@+= feaahGart1ev3aqatCvAUfeBSjuyZL2yd9gzLbvyNv2CaerbuLwBLn hiov2DGi1BTfMBaeXatLxBI9gBaerbd9wDYLwzYbItLDharqqtubsr 4rNCHbGeaGqiVu0Je9sqqrpepC0xbbL8F4rqqrFfpeea0xe9Lq=Jc9 vqaqpepm0xbba9pwe9Q8fs0=yqaqpepae9pg0FirpepeKkFr0xfr=x fr=xb9adbaqaaeGaciGaaiaabeqaamaabaabaaGcbaqefmuySLMyYL gaiuaajugGbabaaaaaaaaapeGaa8hfGaaa@3A95@  потоковый фактор; M(21) MathType@MTEF@5@5@+= feaahGart1ev3aaatCvAUfeBSjuyZL2yd9gzLbvyNv2CaerbuLwBLn hiov2DGi1BTfMBaeXatLxBI9gBaerbd9wDYLwzYbItLDharqqtubsr 4rNCHbGeaGGj0Jf9crFfpeea0xh9v8qiW7rqqrFfpeea0xe9Lq=Jc9 vqaqpepm0xbba9pwe9Q8fs0=yqaqpepae9pg0FirpepeKkFr0xfr=x fr=xb9adbaqaaeGaciGaaiaabeqaamaabaabaaGcbaWefv3ySLgznf gDOfdaryqr1ngBPrginfgDObYtUvgaiuaacqWFZestcaaIOaGaaGOm aiabgkziUkaaigdacaaIPaaaaa@4780@   MathType@MTEF@5@5@+= feaahGart1ev3aqatCvAUfeBSjuyZL2yd9gzLbvyNv2CaerbuLwBLn hiov2DGi1BTfMBaeXatLxBI9gBaerbd9wDYLwzYbItLDharqqtubsr 4rNCHbGeaGqiVu0Je9sqqrpepC0xbbL8F4rqqrFfpeea0xe9Lq=Jc9 vqaqpepm0xbba9pwe9Q8fs0=yqaqpepae9pg0FirpepeKkFr0xfr=x fr=xb9adbaqaaeGaciGaaiaabeqaamaabaabaaGcbaqefmuySLMyYL gaiuaajugGbabaaaaaaaaapeGaa8hfGaaa@3A95@  амплитуда партонного подпроцесса, вычисленная методом фейнмановских диаграмм.

Партонные распределения в выражении (2) записаны в форме функций поперечного импульса, в которой MathType@MTEF@5@5@+= feaahGart1ev3aqatCvAUfeBSjuyZL2yd9gzLbvyNv2CaerbuLwBLn hiov2DGi1BTfMBaeXatLxBI9gBaerbd9wDYLwzYbItLDharqqtubsr 4rNCHbGeaGqiVu0Je9sqqrpepC0xbbL8F4rqqrFfpeea0xe9Lq=Jc9 vqaqpepm0xbba9pwe9Q8fs0=yqaqpepae9pg0FirpepeKkFr0xfr=x fr=xb9adbaqaaeGaciGaaiaabeqaamaabaabaaGcbaqefmuySLMyYL gaiuaajugGbabaaaaaaaaapeGaa8hfGaaa@3A95@  по крайней мере в лидирующем приближении MathType@MTEF@5@5@+= feaahGart1ev3aqatCvAUfeBSjuyZL2yd9gzLbvyNv2CaerbuLwBLn hiov2DGi1BTfMBaeXatLxBI9gBaerbd9wDYLwzYbItLDharqqtubsr 4rNCHbGeaGqiVu0Je9sqqrpepC0xbbL8F4rqqrFfpeea0xe9Lq=Jc9 vqaqpepm0xbba9pwe9Q8fs0=yqaqpepae9pg0FirpepeKkFr0xfr=x fr=xb9adbaqaaeGaciGaaiaabeqaamaabaabaaGcbaqefmuySLMyYL gaiuaajugGbabaaaaaaaaapeGaa8hfGaaa@3A95@  имеют очевидную вероятностную интерпретацию. Учесть эволюцию ПФР представляется возможным только в сопряженном пространстве: уравнения Коллинза MathType@MTEF@5@5@+= feaahGart1ev3aqatCvAUfeBSjuyZL2yd9gzLbvyNv2CaerbuLwBLn hiov2DGi1BTfMBaeXatLxBI9gBaerbd9wDYLwzYbItLDharqqtubsr 4rNCHbGeaGqiVu0Je9sqqrpepC0xbbL8F4rqqrFfpeea0xe9Lq=Jc9 vqaqpepm0xbba9pwe9Q8fs0=yqaqpepae9pg0FirpepeKkFr0xfr=x fr=xb9adbaqaaeGaciGaaiaabeqaamaabaabaaGcbaqefmuySLMyYL gaiuaajugGbabaaaaaaaaapeGaa8hfGaaa@3A95@  Сопера и ренормгруппы допускают совместное факторизованное решение (то есть такое, что вся <<эволюционная>> часть выделяется в отдельный множитель) в пространстве прицельного параметра b T MathType@MTEF@5@5@+= feaahGart1ev3aaatCvAUfeBSjuyZL2yd9gzLbvyNv2CaerbuLwBLn hiov2DGi1BTfMBaeXatLxBI9gBaerbd9wDYLwzYbItLDharqqtubsr 4rNCHbGeaGGj0Jf9crFfpeea0xh9v8qiW7rqqrFfpeea0xe9Lq=Jc9 vqaqpepm0xbba9pwe9Q8fs0=yqaqpepae9pg0FirpepeKkFr0xfr=x fr=xb9adbaqaaeGaciGaaiaabeqaamaabaabaaGcbaGabmOyayaala WaaSbaaSqaaiaadsfaaeqaaaaa@3A05@ , которое является Фурье-сопряженным пространству поперечного импульса [8]:

                                  F ^ ( x 1 , b T , μ F ,ζ) F ^ ( x 2 , b T , μ F ,ζ)= e S P ( b T , μ F , μ F0 ,ζ, ζ 0 ) F ^ ( x 1 , b T , μ F0 , ζ 0 ) F ^ ( x 2 , b T , μ F0 , ζ 0 ), MathType@MTEF@5@5@+= feaahGart1ev3aaatCvAUfeBSjuyZL2yd9gzLbvyNv2CaerbuLwBLn hiov2DGi1BTfMBaeXatLxBI9gBaerbd9wDYLwzYbItLDharqqtubsr 4rNCHbGeaGGj0Jf9crFfpeea0xh9v8qiW7rqqrFfpeea0xe9Lq=Jc9 vqaqpepm0xbba9pwe9Q8fs0=yqaqpepae9pg0FirpepeKkFr0xfr=x fr=xb9adbaqaaeGaciGaaiaabeqaamaabaabaaGcbaGabmOrayaaja GaaGikaiaadIhadaWgaaWcbaGaaGymaaqabaGccaaISaGaamOyamaa BaaaleaacaWGubaabeaakiaaiYcacqaH8oqBdaWgaaWcbaGaamOraa qabaGccaaISaGaeqOTdONaaGykaiqadAeagaqcaiaaiIcacaWG4bWa aSbaaSqaaiaaikdaaeqaaOGaaGilaiaadkgadaWgaaWcbaGaamivaa qabaGccaaISaGaeqiVd02aaSbaaSqaaiaadAeaaeqaaOGaaGilaiab eA7a6jaaiMcacaaI9aGaamyzamaaCaaaleqabaGaeyOeI0Iaam4uam aaBaaabaGaamiuaaqabaGaaGikaiaadkgadaWgaaqaaiaadsfaaeqa aiaaiYcacqaH8oqBdaWgaaqaaiaadAeaaeqaaiaaiYcacqaH8oqBda WgaaqaaiaadAeacaaIWaaabeaacaaISaGaeqOTdONaaGilaiabeA7a 6naaBaaabaGaaGimaaqabaGaaGykaaaakiqadAeagaqcaiaaiIcaca WG4bWaaSbaaSqaaiaaigdaaeqaaOGaaGilaiaadkgadaWgaaWcbaGa amivaaqabaGccaaISaGaeqiVd02aaSbaaSqaaiaadAeacaaIWaaabe aakiaaiYcacqaH2oGEdaWgaaWcbaGaaGimaaqabaGccaaIPaGabmOr ayaajaGaaGikaiaadIhadaWgaaWcbaGaaGOmaaqabaGccaaISaGaam OyamaaBaaaleaacaWGubaabeaakiaaiYcacqaH8oqBdaWgaaWcbaGa amOraiaaicdaaeqaaOGaaGilaiabeA7a6naaBaaaleaacaaIWaaabe aakiaaiMcacaaISaaaaa@840F@                                         (3)

 причем двумерное Фурье-преобразование ПФР:

                                                   F ^ (x, b T , μ F ,ζ)= d 2 q T e i q T b T F(x, q T , μ F ,ζ). MathType@MTEF@5@5@+= feaahGart1ev3aaatCvAUfeBSjuyZL2yd9gzLbvyNv2CaerbuLwBLn hiov2DGi1BTfMBaeXatLxBI9gBaerbd9wDYLwzYbItLDharqqtubsr 4rNCHbGeaGGj0Jf9crFfpeea0xh9v8qiW7rqqrFfpeea0xe9Lq=Jc9 vqaqpepm0xbba9pwe9Q8fs0=yqaqpepae9pg0FirpepeKkFr0xfr=x fr=xb9adbaqaaeGaciGaaiaabeqaamaabaabaaGcbaGabmOrayaaja GaaGikaiaadIhacaaISaGabmOyayaalaWaaSbaaSqaaiaadsfaaeqa aOGaaGilaiabeY7aTnaaBaaaleaacaWGgbaabeaakiaaiYcacqaH2o GEcaaIPaGaaGypamaapeaabeWcbeqab0Gaey4kIipakiaadsgadaah aaWcbeqaaiaaikdaaaGccaWGXbWaaSbaaSqaaiaadsfaaeqaaOGaaG jcVlaadwgadaahaaWcbeqaaiaadMgaceWGXbGbaSaadaWgaaqaaiaa dsfaaeqaaiqadkgagaWcamaaBaaabaGaamivaaqabaaaaOGaamOrai aaiIcacaWG4bGaaGilaiqadghagaWcamaaBaaaleaacaWGubaabeaa kiaaiYcacqaH8oqBdaWgaaWcbaGaamOraaqabaGccaaISaGaeqOTdO NaaGykaiaai6caaaa@5EB7@

Эволюцию Фурье-образа ПФР с начальных масштабов null в конечные ( μ F ,ζ) MathType@MTEF@5@5@+= feaahGart1ev3aaatCvAUfeBSjuyZL2yd9gzLbvyNv2CaerbuLwBLn hiov2DGi1BTfMBaeXatLxBI9gBaerbd9wDYLwzYbItLDharqqtubsr 4rNCHbGeaGGj0Jf9crFfpeea0xh9v8qiW7rqqrFfpeea0xe9Lq=Jc9 vqaqpepm0xbba9pwe9Q8fs0=yqaqpepae9pg0FirpepeKkFr0xfr=x fr=xb9adbaqaaeGaciGaaiaabeqaamaabaabaaGcbaGaaGikaiabeY 7aTnaaBaaaleaacaWGgbaabeaakiaaiYcacqaH2oGEcaaIPaaaaa@3E96@  осуществляет судаковский фактор S P MathType@MTEF@5@5@+= feaahGart1ev3aaatCvAUfeBSjuyZL2yd9gzLbvyNv2CaerbuLwBLn hiov2DGi1BTfMBaeXatLxBI9gBaerbd9wDYLwzYbItLDharqqtubsr 4rNCHbGeaGGj0Jf9crFfpeea0xh9v8qiW7rqqrFfpeea0xe9Lq=Jc9 vqaqpepm0xbba9pwe9Q8fs0=yqaqpepae9pg0FirpepeKkFr0xfr=x fr=xb9adbaqaaeGaciGaaiaabeqaamaabaabaaGcbaGaam4uamaaBa aaleaacaWGqbaabeaaaaa@39E0@ , в лидирующем по константе связи приближении судаковский фактор выражается в виде интеграла [3, 9]:

SP(Q,μb,bT)=CAπμb2Q2dμ'2μ'2αs(μ')lnQ2μ'2112Nf/CA6+12δc8+O(αs), (4)

 где N f MathType@MTEF@5@5@+= feaahGart1ev3aaatCvAUfeBSjuyZL2yd9gzLbvyNv2CaerbuLwBLn hiov2DGi1BTfMBaeXatLxBI9gBaerbd9wDYLwzYbItLDharqqtubsr 4rNCHbGeaGGj0Jf9crFfpeea0xh9v8qiW7rqqrFfpeea0xe9Lq=Jc9 vqaqpepm0xbba9pwe9Q8fs0=yqaqpepae9pg0FirpepeKkFr0xfr=x fr=xb9adbaqaaeGaciGaaiaabeqaamaabaabaaGcbaGaamOtamaaBa aaleaacaWGMbaabeaaaaa@39F1@   MathType@MTEF@5@5@+= feaahGart1ev3aqatCvAUfeBSjuyZL2yd9gzLbvyNv2CaerbuLwBLn hiov2DGi1BTfMBaeXatLxBI9gBaerbd9wDYLwzYbItLDharqqtubsr 4rNCHbGeaGqiVu0Je9sqqrpepC0xbbL8F4rqqrFfpeea0xe9Lq=Jc9 vqaqpepm0xbba9pwe9Q8fs0=yqaqpepae9pg0FirpepeKkFr0xfr=x fr=xb9adbaqaaeGaciGaaiaabeqaamaabaabaaGcbaqefmuySLMyYL gaiuaajugGbabaaaaaaaaapeGaa8hfGaaa@3A95@  число кварковых ароматов; C A =3 MathType@MTEF@5@5@+= feaahGart1ev3aaatCvAUfeBSjuyZL2yd9gzLbvyNv2CaerbuLwBLn hiov2DGi1BTfMBaeXatLxBI9gBaerbd9wDYLwzYbItLDharqqtubsr 4rNCHbGeaGGj0Jf9crFfpeea0xh9v8qiW7rqqrFfpeea0xe9Lq=Jc9 vqaqpepm0xbba9pwe9Q8fs0=yqaqpepae9pg0FirpepeKkFr0xfr=x fr=xb9adbaqaaeGaciGaaiaabeqaamaabaabaaGcbaGaam4qamaaBa aaleaacaWGbbaabeaakiaai2dacaaIZaaaaa@3B4F@   MathType@MTEF@5@5@+= feaahGart1ev3aqatCvAUfeBSjuyZL2yd9gzLbvyNv2CaerbuLwBLn hiov2DGi1BTfMBaeXatLxBI9gBaerbd9wDYLwzYbItLDharqqtubsr 4rNCHbGeaGqiVu0Je9sqqrpepC0xbbL8F4rqqrFfpeea0xe9Lq=Jc9 vqaqpepm0xbba9pwe9Q8fs0=yqaqpepae9pg0FirpepeKkFr0xfr=x fr=xb9adbaqaaeGaciGaaiaabeqaamaabaabaaGcbaqefmuySLMyYL gaiuaajugGbabaaaaaaaaapeGaa8hfGaaa@3A95@  собственное значение оператора Казимира присоединенного представления цветовой группы SU( 3 MathType@MTEF@5@5@+= feaahGart1ev3aaatCvAUfeBSjuyZL2yd9gzLbvyNv2CaerbuLwBLn hiov2DGi1BTfMBaeXatLxBI9gBaerbd9wDYLwzYbItLDharqqtubsr 4rNCHbGeaGGj0Jf9crFfpeea0xh9v8qiW7rqqrFfpeea0xe9Lq=Jc9 vqaqpepm0xbba9pwe9Q8fs0=yqaqpepae9pg0FirpepeKkFr0xfr=x fr=xb9adbaqaaeGaciGaaiaabeqaamaabaabaaGcbaGaaG4maaaa@38C4@  ), δ c8 MathType@MTEF@5@5@+= feaahGart1ev3aaatCvAUfeBSjuyZL2yd9gzLbvyNv2CaerbuLwBLn hiov2DGi1BTfMBaeXatLxBI9gBaerbd9wDYLwzYbItLDharqqtubsr 4rNCHbGeaGGj0Jf9crFfpeea0xh9v8qiW7rqqrFfpeea0xe9Lq=Jc9 vqaqpepm0xbba9pwe9Q8fs0=yqaqpepae9pg0FirpepeKkFr0xfr=x fr=xb9adbaqaaeGaciGaaiaabeqaamaabaabaaGcbaGaeqiTdq2aaS baaSqaaiaadogacaaI4aaabeaaaaa@3B82@   MathType@MTEF@5@5@+= feaahGart1ev3aqatCvAUfeBSjuyZL2yd9gzLbvyNv2CaerbuLwBLn hiov2DGi1BTfMBaeXatLxBI9gBaerbd9wDYLwzYbItLDharqqtubsr 4rNCHbGeaGqiVu0Je9sqqrpepC0xbbL8F4rqqrFfpeea0xe9Lq=Jc9 vqaqpepm0xbba9pwe9Q8fs0=yqaqpepae9pg0FirpepeKkFr0xfr=x fr=xb9adbaqaaeGaciGaaiaabeqaamaabaabaaGcbaqefmuySLMyYL gaiuaajugGbabaaaaaaaaapeGaa8hfGaaa@3A95@  дельта Кронекера, отличающая пересуммирование для синглетных и октетных состояний кваркония, в качестве конечного масштаба взят жесткий масштаб Q= μ F = ζ MathType@MTEF@5@5@+= feaahGart1ev3aaatCvAUfeBSjuyZL2yd9gzLbvyNv2CaerbuLwBLn hiov2DGi1BTfMBaeXatLxBI9gBaerbd9wDYLwzYbItLDharqqtubsr 4rNCHbGeaGGj0Jf9crFfpeea0xh9v8qiW7rqqrFfpeea0xe9Lq=Jc9 vqaqpepm0xbba9pwe9Q8fs0=yqaqpepae9pg0FirpepeKkFr0xfr=x fr=xb9adbaqaaeGaciGaaiaabeqaamaabaabaaGcbaGaamyuaiaai2 dacqaH8oqBdaWgaaWcbaGaamOraaqabaGccaaI9aWaaOaaaeaacqaH 2oGEaSqabaaaaa@3EFA@ , а вместо начального MathType@MTEF@5@5@+= feaahGart1ev3aqatCvAUfeBSjuyZL2yd9gzLbvyNv2CaerbuLwBLn hiov2DGi1BTfMBaeXatLxBI9gBaerbd9wDYLwzYbItLDharqqtubsr 4rNCHbGeaGqiVu0Je9sqqrpepC0xbbL8F4rqqrFfpeea0xe9Lq=Jc9 vqaqpepm0xbba9pwe9Q8fs0=yqaqpepae9pg0FirpepeKkFr0xfr=x fr=xb9adbaqaaeGaciGaaiaabeqaamaabaabaaGcbaqefmuySLMyYL gaiuaajugGbabaaaaaaaaapeGaa8hfGaaa@3A95@  масштаб μ b = μ F0 = ζ 0 MathType@MTEF@5@5@+= feaahGart1ev3aaatCvAUfeBSjuyZL2yd9gzLbvyNv2CaerbuLwBLn hiov2DGi1BTfMBaeXatLxBI9gBaerbd9wDYLwzYbItLDharqqtubsr 4rNCHbGeaGGj0Jf9crFfpeea0xh9v8qiW7rqqrFfpeea0xe9Lq=Jc9 vqaqpepm0xbba9pwe9Q8fs0=yqaqpepae9pg0FirpepeKkFr0xfr=x fr=xb9adbaqaaeGaciGaaiaabeqaamaabaabaaGcbaGaeqiVd02aaS baaSqaaiaadkgaaeqaaOGaaGypaiabeY7aTnaaBaaaleaacaWGgbGa aGimaaqabaGccaaI9aWaaOaaaeaacqaH2oGEdaWgaaWcbaGaaGimaa qabaaabeaaaaa@428C@ , выражение для которого приведено ниже.

Такой выбор связан с минимизацией больших значений логарифмов отношений масштабов μ F / Λ QCD MathType@MTEF@5@5@+= feaahGart1ev3aaatCvAUfeBSjuyZL2yd9gzLbvyNv2CaerbuLwBLn hiov2DGi1BTfMBaeXatLxBI9gBaerbd9wDYLwzYbItLDharqqtubsr 4rNCHbGeaGGj0Jf9crFfpeea0xh9v8qiW7rqqrFfpeea0xe9Lq=Jc9 vqaqpepm0xbba9pwe9Q8fs0=yqaqpepae9pg0FirpepeKkFr0xfr=x fr=xb9adbaqaaeGaciGaaiaabeqaamaabaabaaGcbaGaeqiVd02aaS baaSqaaiaadAeaaeqaaOGaaG4laiabfU5amnaaBaaaleaacaWGrbGa am4qaiaadseaaeqaaaaa@3F7F@ , μ F /M MathType@MTEF@5@5@+= feaahGart1ev3aaatCvAUfeBSjuyZL2yd9gzLbvyNv2CaerbuLwBLn hiov2DGi1BTfMBaeXatLxBI9gBaerbd9wDYLwzYbItLDharqqtubsr 4rNCHbGeaGGj0Jf9crFfpeea0xh9v8qiW7rqqrFfpeea0xe9Lq=Jc9 vqaqpepm0xbba9pwe9Q8fs0=yqaqpepae9pg0FirpepeKkFr0xfr=x fr=xb9adbaqaaeGaciGaaiaabeqaamaabaabaaGcbaGaeqiVd02aaS baaSqaaiaadAeaaeqaaOGaaG4laiaad2eaaaa@3C49@  [9]. В однопетлевом приближении для константы связи α s MathType@MTEF@5@5@+= feaahGart1ev3aaatCvAUfeBSjuyZL2yd9gzLbvyNv2CaerbuLwBLn hiov2DGi1BTfMBaeXatLxBI9gBaerbd9wDYLwzYbItLDharqqtubsr 4rNCHbGeaGGj0Jf9crFfpeea0xh9v8qiW7rqqrFfpeea0xe9Lq=Jc9 vqaqpepm0xbba9pwe9Q8fs0=yqaqpepae9pg0FirpepeKkFr0xfr=x fr=xb9adbaqaaeGaciGaaiaabeqaamaabaabaaGcbaGaeqySde2aaS baaSqaaiaadohaaeqaaaaa@3ACA@  можно получить явное аналитическое выражение для интеграла в S P MathType@MTEF@5@5@+= feaahGart1ev3aaatCvAUfeBSjuyZL2yd9gzLbvyNv2CaerbuLwBLn hiov2DGi1BTfMBaeXatLxBI9gBaerbd9wDYLwzYbItLDharqqtubsr 4rNCHbGeaGGj0Jf9crFfpeea0xh9v8qiW7rqqrFfpeea0xe9Lq=Jc9 vqaqpepm0xbba9pwe9Q8fs0=yqaqpepae9pg0FirpepeKkFr0xfr=x fr=xb9adbaqaaeGaciGaaiaabeqaamaabaabaaGcbaGaam4uamaaBa aaleaacaWGqbaabeaaaaa@39E0@ . Выражение для судаковского фактора применимо в диапазоне b 0 /Q b T b T,max MathType@MTEF@5@5@+= feaahGart1ev3aaatCvAUfeBSjuyZL2yd9gzLbvyNv2CaerbuLwBLn hiov2DGi1BTfMBaeXatLxBI9gBaerbd9wDYLwzYbItLDharqqtubsr 4rNCHbGeaGGj0Jf9crFfpeea0xh9v8qiW7rqqrFfpeea0xe9Lq=Jc9 vqaqpepm0xbba9pwe9Q8fs0=yqaqpepae9pg0FirpepeKkFr0xfr=x fr=xb9adbaqaaeGaciGaaiaabeqaamaabaabaaGcbaGaamOyamaaBa aaleaacaaIWaaabeaakiaai+cacaWGrbWefv3ySLgznfgDOjdaryqr 1ngBPrginfgDObcv39gaiuaacqWF9PcHcaWGIbWaaSbaaSqaaiaads faaeqaaOGae8xFQqOaamOyamaaBaaaleaacaWGubGaaGilaiaayIW7 caWGTbGaamyyaiaadIhaaeqaaaaa@516E@ , где b 0 =2 e γ MathType@MTEF@5@5@+= feaahGart1ev3aaatCvAUfeBSjuyZL2yd9gzLbvyNv2CaerbuLwBLn hiov2DGi1BTfMBaeXatLxBI9gBaerbd9wDYLwzYbItLDharqqtubsr 4rNCHbGeaGGj0Jf9crFfpeea0xh9v8qiW7rqqrFfpeea0xe9Lq=Jc9 vqaqpepm0xbba9pwe9Q8fs0=yqaqpepae9pg0FirpepeKkFr0xfr=x fr=xb9adbaqaaeGaciGaaiaabeqaamaabaabaaGcbaGaamOyamaaBa aaleaacaaIWaaabeaakiaai2dacaaIYaGaamyzamaaCaaaleqabaGa eyOeI0Iaeq4SdCgaaaaa@3F0C@ , γ MathType@MTEF@5@5@+= feaahGart1ev3aaatCvAUfeBSjuyZL2yd9gzLbvyNv2CaerbuLwBLn hiov2DGi1BTfMBaeXatLxBI9gBaerbd9wDYLwzYbItLDharqqtubsr 4rNCHbGeaGGj0Jf9crFfpeea0xh9v8qiW7rqqrFfpeea0xe9Lq=Jc9 vqaqpepm0xbba9pwe9Q8fs0=yqaqpepae9pg0FirpepeKkFr0xfr=x fr=xb9adbaqaaeGaciGaaiaabeqaamaabaabaaGcbaGaeq4SdCgaaa@39AE@   MathType@MTEF@5@5@+= feaahGart1ev3aqatCvAUfeBSjuyZL2yd9gzLbvyNv2CaerbuLwBLn hiov2DGi1BTfMBaeXatLxBI9gBaerbd9wDYLwzYbItLDharqqtubsr 4rNCHbGeaGqiVu0Je9sqqrpepC0xbbL8F4rqqrFfpeea0xe9Lq=Jc9 vqaqpepm0xbba9pwe9Q8fs0=yqaqpepae9pg0FirpepeKkFr0xfr=x fr=xb9adbaqaaeGaciGaaiaabeqaamaabaabaaGcbaqefmuySLMyYL gaiuaajugGbabaaaaaaaaapeGaa8hfGaaa@3A95@  это постоянная Эйлера MathType@MTEF@5@5@+= feaahGart1ev3aqatCvAUfeBSjuyZL2yd9gzLbvyNv2CaerbuLwBLn hiov2DGi1BTfMBaeXatLxBI9gBaerbd9wDYLwzYbItLDharqqtubsr 4rNCHbGeaGqiVu0Je9sqqrpepC0xbbL8F4rqqrFfpeea0xe9Lq=Jc9 vqaqpepm0xbba9pwe9Q8fs0=yqaqpepae9pg0FirpepeKkFr0xfr=x fr=xb9adbaqaaeGaciGaaiaabeqaamaabaabaaGcbaqefmuySLMyYL gaiuaajugGbabaaaaaaaaapeGaa8hfGaaa@3A95@  Маскерони. Нижний предел диапазона задается выражением μ b =Q b 0 /(Q b T + b 0 ) MathType@MTEF@5@5@+= feaahGart1ev3aaatCvAUfeBSjuyZL2yd9gzLbvyNv2CaerbuLwBLn hiov2DGi1BTfMBaeXatLxBI9gBaerbd9wDYLwzYbItLDharqqtubsr 4rNCHbGeaGGj0Jf9crFfpeea0xh9v8qiW7rqqrFfpeea0xe9Lq=Jc9 vqaqpepm0xbba9pwe9Q8fs0=yqaqpepae9pg0FirpepeKkFr0xfr=x fr=xb9adbaqaaeGaciGaaiaabeqaamaabaabaaGcbaGaeqiVd02aaS baaSqaaiqadkgagaqbaaqabaGccaaI9aGaamyuaiaadkgadaWgaaWc baGaaGimaaqabaGccaaIVaGaaGikaiaadgfacaWGIbWaaSbaaSqaai aadsfaaeqaaOGaey4kaSIaamOyamaaBaaaleaacaaIWaaabeaakiaa iMcaaaa@45FD@ , а верхний предел определяется заменой прицельного параметра [7]:

                                                      b T b T * ( b T )= b T 1+ ( b T / b T,max ) 2 , MathType@MTEF@5@5@+= feaahGart1ev3aaatCvAUfeBSjuyZL2yd9gzLbvyNv2CaerbuLwBLn hiov2DGi1BTfMBaeXatLxBI9gBaerbd9wDYLwzYbItLDharqqtubsr 4rNCHbGeaGGj0Jf9crFfpeea0xh9v8qiW7rqqrFfpeea0xe9Lq=Jc9 vqaqpepm0xbba9pwe9Q8fs0=yqaqpepae9pg0FirpepeKkFr0xfr=x fr=xb9adbaqaaeGaciGaaiaabeqaamaabaabaaGcbaGaamOyamaaBa aaleaacaWGubaabeaakiaaiccacaaIGaGaeyOKH4QaaGiiaiaaicca caWGIbWaa0baaSqaaiaadsfaaeaacaaIQaaaaOGaaGikaiaadkgada WgaaWcbaGaamivaaqabaGccaaIPaGaaGypamaalaaabaGaamOyamaa BaaaleaacaWGubaabeaaaOqaamaakaaabaGaaGymaiabgUcaRiaaiI cacaWGIbWaaSbaaSqaaiaadsfaaeqaaOGaaG4laiaadkgadaWgaaWc baGaamivaiaaiYcacaaMi8UaamyBaiaadggacaWG4baabeaakiaaiM cadaahaaWcbeqaaiaaikdaaaaabeaaaaGccaaISaaaaa@55E1@

мы использовали наибольшее значение прицельного параметра b T,max =1.5 MathType@MTEF@5@5@+= feaahGart1ev3aaatCvAUfeBSjuyZL2yd9gzLbvyNv2CaerbuLwBLn hiov2DGi1BTfMBaeXatLxBI9gBaerbd9wDYLwzYbItLDharqqtubsr 4rNCHbGeaGGj0Jf9crFfpeea0xh9v8qiW7rqqrFfpeea0xe9Lq=Jc9 vqaqpepm0xbba9pwe9Q8fs0=yqaqpepae9pg0FirpepeKkFr0xfr=x fr=xb9adbaqaaeGaciGaaiaabeqaamaabaabaaGcbaGaamOyamaaBa aaleaacaWGubGaaGilaiaayIW7caWGTbGaamyyaiaadIhaaeqaaOGa aGypaiaaigdacaaIUaGaaGynaaaa@4212@  ГэВ 1 MathType@MTEF@5@5@+= feaahGart1ev3aaatCvAUfeBSjuyZL2yd9gzLbvyNv2CaerbuLwBLn hiov2DGi1BTfMBaeXatLxBI9gBaerbd9wDYLwzYbItLDharqqtubsr 4rNCHbGeaGGj0Jf9crFfpeea0xh9v8qiW7rqqrFfpeea0xe9Lq=Jc9 vqaqpepm0xbba9pwe9Q8fs0=yqaqpepae9pg0FirpepeKkFr0xfr=x fr=xb9adbaqaaeGaciGaaiaabeqaamaabaabaaGcbaWaaWbaaSqabe aacqGHsislcaaIXaaaaaaa@39DC@ . Как в выборе этого параметра, так и в форме ограничений на b T MathType@MTEF@5@5@+= feaahGart1ev3aaatCvAUfeBSjuyZL2yd9gzLbvyNv2CaerbuLwBLn hiov2DGi1BTfMBaeXatLxBI9gBaerbd9wDYLwzYbItLDharqqtubsr 4rNCHbGeaGGj0Jf9crFfpeea0xh9v8qiW7rqqrFfpeea0xe9Lq=Jc9 vqaqpepm0xbba9pwe9Q8fs0=yqaqpepae9pg0FirpepeKkFr0xfr=x fr=xb9adbaqaaeGaciGaaiaabeqaamaabaabaaGcbaGaamOyamaaBa aaleaacaWGubaabeaaaaa@39F3@  существует определенная свобода выбора, иные возможные варианты и их обоснования приведены в [9].

Кроме этого, подавление ПФР при больших b T MathType@MTEF@5@5@+= feaahGart1ev3aaatCvAUfeBSjuyZL2yd9gzLbvyNv2CaerbuLwBLn hiov2DGi1BTfMBaeXatLxBI9gBaerbd9wDYLwzYbItLDharqqtubsr 4rNCHbGeaGGj0Jf9crFfpeea0xh9v8qiW7rqqrFfpeea0xe9Lq=Jc9 vqaqpepm0xbba9pwe9Q8fs0=yqaqpepae9pg0FirpepeKkFr0xfr=x fr=xb9adbaqaaeGaciGaaiaabeqaamaabaabaaGcbaGaamOyamaaBa aaleaacaWGubaabeaaaaa@39F3@  гарантируется непертурбативным судаковским фактором S NP MathType@MTEF@5@5@+= feaahGart1ev3aaatCvAUfeBSjuyZL2yd9gzLbvyNv2CaerbuLwBLn hiov2DGi1BTfMBaeXatLxBI9gBaerbd9wDYLwzYbItLDharqqtubsr 4rNCHbGeaGGj0Jf9crFfpeea0xh9v8qiW7rqqrFfpeea0xe9Lq=Jc9 vqaqpepm0xbba9pwe9Q8fs0=yqaqpepae9pg0FirpepeKkFr0xfr=x fr=xb9adbaqaaeGaciGaaiaabeqaamaabaabaaGcbaGaam4uamaaBa aaleaacaWGobGaamiuaaqabaaaaa@3AB3@ , выражение для которого, по крайней мере на данном этапе, теоретически последовательно не выводится, поэтому зависимость S NP ( b T ,Q) MathType@MTEF@5@5@+= feaahGart1ev3aaatCvAUfeBSjuyZL2yd9gzLbvyNv2CaerbuLwBLn hiov2DGi1BTfMBaeXatLxBI9gBaerbd9wDYLwzYbItLDharqqtubsr 4rNCHbGeaGGj0Jf9crFfpeea0xh9v8qiW7rqqrFfpeea0xe9Lq=Jc9 vqaqpepm0xbba9pwe9Q8fs0=yqaqpepae9pg0FirpepeKkFr0xfr=x fr=xb9adbaqaaeGaciGaaiaabeqaamaabaabaaGcbaGaam4uamaaBa aaleaacaWGobGaamiuaaqabaGccaaIOaGaamOyamaaBaaaleaacaWG ubaabeaakiaaiYcacaWGrbGaaGykaaaa@3FA4@  извлекается из эксперимента. В данной работе использовалась параметризация в гауссовой форме, полученная для начальных кварков [10]:

                                               S NP ( b T ,Q)= g 1 ln Q 2 Q NP + g 2 1+2 g 3 ln 10x x 0 x 0 +x b T 2 , MathType@MTEF@5@5@+= feaahGart1ev3aaatCvAUfeBSjuyZL2yd9gzLbvyNv2CaerbuLwBLn hiov2DGi1BTfMBaeXatLxBI9gBaerbd9wDYLwzYbItLDharqqtubsr 4rNCHbGeaGGj0Jf9crFfpeea0xh9v8qiW7rqqrFfpeea0xe9Lq=Jc9 vqaqpepm0xbba9pwe9Q8fs0=yqaqpepae9pg0FirpepeKkFr0xfr=x fr=xb9adbaqaaeGaciGaaiaabeqaamaabaabaaGcbaGaam4uamaaBa aaleaacaWGobGaamiuaaqabaGccaaIOaGaamOyamaaBaaaleaacaWG ubaabeaakiaaiYcacaWGrbGaaGykaiaai2dadaWadaqaaiaadEgada WgaaWcbaGaaGymaaqabaGcciGGSbGaaiOBamaalaaabaGaamyuaaqa aiaaikdacaWGrbWaaSbaaSqaaiaad6eacaWGqbaabeaaaaGccqGHRa WkcaWGNbWaaSbaaSqaaiaaikdaaeqaaOWaaeWaaeaacaaIXaGaey4k aSIaaGOmaiaadEgadaWgaaWcbaGaaG4maaqabaGcciGGSbGaaiOBam aalaaabaGaaGymaiaaicdacaWG4bGaamiEamaaBaaaleaacaaIWaaa beaaaOqaaiaadIhadaWgaaWcbaGaaGimaaqabaGccqGHRaWkcaWG4b aaaaGaayjkaiaawMcaaaGaay5waiaaw2faaiaadkgadaqhaaWcbaGa amivaaqaaiaaikdaaaGccaaISaaaaa@607D@                                                      (5)

 из-за недостатка экспериментальных данных она применяется и для глюонов, но с дополнительным множителем C A / C F MathType@MTEF@5@5@+= feaahGart1ev3aaatCvAUfeBSjuyZL2yd9gzLbvyNv2CaerbuLwBLn hiov2DGi1BTfMBaeXatLxBI9gBaerbd9wDYLwzYbItLDharqqtubsr 4rNCHbGeaGGj0Jf9crFfpeea0xh9v8qiW7rqqrFfpeea0xe9Lq=Jc9 vqaqpepm0xbba9pwe9Q8fs0=yqaqpepae9pg0FirpepeKkFr0xfr=x fr=xb9adbaqaaeGaciGaaiaabeqaamaabaabaaGcbaGaam4qamaaBa aaleaacaWGbbaabeaakiaai+cacaWGdbWaaSbaaSqaaiaadAeaaeqa aaaa@3C43@  [9], где C A MathType@MTEF@5@5@+= feaahGart1ev3aaatCvAUfeBSjuyZL2yd9gzLbvyNv2CaerbuLwBLn hiov2DGi1BTfMBaeXatLxBI9gBaerbd9wDYLwzYbItLDharqqtubsr 4rNCHbGeaGGj0Jf9crFfpeea0xh9v8qiW7rqqrFfpeea0xe9Lq=Jc9 vqaqpepm0xbba9pwe9Q8fs0=yqaqpepae9pg0FirpepeKkFr0xfr=x fr=xb9adbaqaaeGaciGaaiaabeqaamaabaabaaGcbaGaam4qamaaBa aaleaacaWGbbaabeaaaaa@39C1@ , C F MathType@MTEF@5@5@+= feaahGart1ev3aaatCvAUfeBSjuyZL2yd9gzLbvyNv2CaerbuLwBLn hiov2DGi1BTfMBaeXatLxBI9gBaerbd9wDYLwzYbItLDharqqtubsr 4rNCHbGeaGGj0Jf9crFfpeea0xh9v8qiW7rqqrFfpeea0xe9Lq=Jc9 vqaqpepm0xbba9pwe9Q8fs0=yqaqpepae9pg0FirpepeKkFr0xfr=x fr=xb9adbaqaaeGaciGaaiaabeqaamaabaabaaGcbaGaam4qamaaBa aaleaacaWGgbaabeaaaaa@39C6@   MathType@MTEF@5@5@+= feaahGart1ev3aqatCvAUfeBSjuyZL2yd9gzLbvyNv2CaerbuLwBLn hiov2DGi1BTfMBaeXatLxBI9gBaerbd9wDYLwzYbItLDharqqtubsr 4rNCHbGeaGqiVu0Je9sqqrpepC0xbbL8F4rqqrFfpeea0xe9Lq=Jc9 vqaqpepm0xbba9pwe9Q8fs0=yqaqpepae9pg0FirpepeKkFr0xfr=x fr=xb9adbaqaaeGaciGaaiaabeqaamaabaabaaGcbaqefmuySLMyYL gaiuaajugGbabaaaaaaaaapeGaa8hfGaaa@3A95@  собственные значения оператора Казимира присоединенного и фундаментального представления группы SU(3) соответственно.

В подходе ПМГ партонные распределения выражаются через коллинеарные, взятые на начальном масштабе μ b MathType@MTEF@5@5@+= feaahGart1ev3aaatCvAUfeBSjuyZL2yd9gzLbvyNv2CaerbuLwBLn hiov2DGi1BTfMBaeXatLxBI9gBaerbd9wDYLwzYbItLDharqqtubsr 4rNCHbGeaGGj0Jf9crFfpeea0xh9v8qiW7rqqrFfpeea0xe9Lq=Jc9 vqaqpepm0xbba9pwe9Q8fs0=yqaqpepae9pg0FirpepeKkFr0xfr=x fr=xb9adbaqaaeGaciGaaiaabeqaamaabaabaaGcbaGaeqiVd02aaS baaSqaaiqadkgagaqbaaqabaaaaa@3ADC@ :

                                                   F ^ (x, b T )=f(x, μ b )+O( α s )+O( b T Λ QCD ). MathType@MTEF@5@5@+= feaahGart1ev3aaatCvAUfeBSjuyZL2yd9gzLbvyNv2CaerbuLwBLn hiov2DGi1BTfMBaeXatLxBI9gBaerbd9wDYLwzYbItLDharqqtubsr 4rNCHbGeaGGj0Jf9crFfpeea0xh9v8qiW7rqqrFfpeea0xe9Lq=Jc9 vqaqpepm0xbba9pwe9Q8fs0=yqaqpepae9pg0FirpepeKkFr0xfr=x fr=xb9adbaqaaeGaciGaaiaabeqaamaabaabaaGcbaGabmOrayaaja GaaGikaiaadIhacaaISaGaamOyamaaBaaaleaacaWGubaabeaakiaa iMcacaaI9aGaamOzaiaaiIcacaWG4bGaaGilaiqbeY7aTzaafaWaaS baaSqaaiaadkgaaeqaaOGaaGykaiabgUcaRmrr1ngBPrwtHrhAXaqe guuDJXwAKbstHrhAG8KBLbacfaGae8NdX=KaaGikaiabeg7aHnaaBa aaleaacaWGZbaabeaakiaaiMcacqGHRaWkcqWFoe=tcaaIOaGaamOy amaaBaaaleaacaWGubaabeaakiabfU5amnaaBaaaleaacaWGrbGaam 4qaiaadseaaeqaaOGaaGykaiaai6caaaa@60E4@

Теперь можем привести окончательное выражение для дифференциального сечения, где аналитически взяты все возможные интегралы:

                                 d2σdpTdy=πpT|M(21)|2¯M2s0dbTbTJ0(pTbT)  eSP(Q,μb*',bT*)eSNP(bT,Q)F^(x1,bT*)F^(x2,bT*),                                       (6)

 здесь J 0 MathType@MTEF@5@5@+= feaahGart1ev3aaatCvAUfeBSjuyZL2yd9gzLbvyNv2CaerbuLwBLn hiov2DGi1BTfMBaeXatLxBI9gBaerbd9wDYLwzYbItLDharqqtubsr 4rNCHbGeaGGj0Jf9crFfpeea0xh9v8qiW7rqqrFfpeea0xe9Lq=Jc9 vqaqpepm0xbba9pwe9Q8fs0=yqaqpepae9pg0FirpepeKkFr0xfr=x fr=xb9adbaqaaeGaciGaaiaabeqaamaabaabaaGcbaGaamOsamaaBa aaleaacaaIWaaabeaaaaa@39BC@   MathType@MTEF@5@5@+= feaahGart1ev3aqatCvAUfeBSjuyZL2yd9gzLbvyNv2CaerbuLwBLn hiov2DGi1BTfMBaeXatLxBI9gBaerbd9wDYLwzYbItLDharqqtubsr 4rNCHbGeaGqiVu0Je9sqqrpepC0xbbL8F4rqqrFfpeea0xe9Lq=Jc9 vqaqpepm0xbba9pwe9Q8fs0=yqaqpepae9pg0FirpepeKkFr0xfr=x fr=xb9adbaqaaeGaciGaaiaabeqaamaabaabaaGcbaqefmuySLMyYL gaiuaajugGbabaaaaaaaaapeGaa8hfGaaa@3A95@  функция Бесселя первого рода нулевого порядка; p T MathType@MTEF@5@5@+= feaahGart1ev3aaatCvAUfeBSjuyZL2yd9gzLbvyNv2CaerbuLwBLn hiov2DGi1BTfMBaeXatLxBI9gBaerbd9wDYLwzYbItLDharqqtubsr 4rNCHbGeaGGj0Jf9crFfpeea0xh9v8qiW7rqqrFfpeea0xe9Lq=Jc9 vqaqpepm0xbba9pwe9Q8fs0=yqaqpepae9pg0FirpepeKkFr0xfr=x fr=xb9adbaqaaeGaciGaaiaabeqaamaabaabaaGcbaGaamiCamaaBa aaleaacaWGubaabeaaaaa@3A01@   MathType@MTEF@5@5@+= feaahGart1ev3aqatCvAUfeBSjuyZL2yd9gzLbvyNv2CaerbuLwBLn hiov2DGi1BTfMBaeXatLxBI9gBaerbd9wDYLwzYbItLDharqqtubsr 4rNCHbGeaGqiVu0Je9sqqrpepC0xbbL8F4rqqrFfpeea0xe9Lq=Jc9 vqaqpepm0xbba9pwe9Q8fs0=yqaqpepae9pg0FirpepeKkFr0xfr=x fr=xb9adbaqaaeGaciGaaiaabeqaamaabaabaaGcbaqefmuySLMyYL gaiuaajugGbabaaaaaaaaapeGaa8hfGaaa@3A95@  поперечный импульс конечного состояния; y MathType@MTEF@5@5@+= feaahGart1ev3aaatCvAUfeBSjuyZL2yd9gzLbvyNv2CaerbuLwBLn hiov2DGi1BTfMBaeXatLxBI9gBaerbd9wDYLwzYbItLDharqqtubsr 4rNCHbGeaGGj0Jf9crFfpeea0xh9v8qiW7rqqrFfpeea0xe9Lq=Jc9 vqaqpepm0xbba9pwe9Q8fs0=yqaqpepae9pg0FirpepeKkFr0xfr=x fr=xb9adbaqaaeGaciGaaiaabeqaamaabaabaaGcbaGaamyEaaaa@3905@   MathType@MTEF@5@5@+= feaahGart1ev3aqatCvAUfeBSjuyZL2yd9gzLbvyNv2CaerbuLwBLn hiov2DGi1BTfMBaeXatLxBI9gBaerbd9wDYLwzYbItLDharqqtubsr 4rNCHbGeaGqiVu0Je9sqqrpepC0xbbL8F4rqqrFfpeea0xe9Lq=Jc9 vqaqpepm0xbba9pwe9Q8fs0=yqaqpepae9pg0FirpepeKkFr0xfr=x fr=xb9adbaqaaeGaciGaaiaabeqaamaabaabaaGcbaqefmuySLMyYL gaiuaajugGbabaaaaaaaaapeGaa8hfGaaa@3A95@  быстрота конечного состояния.

2 Коллинеарная факторизация

 В нашей работе мы пытаемся описать рождение чармониев во всем доступном диапазоне поперечных импульсов конечного состояния, поэтому в области p T M MathType@MTEF@5@5@+= feaahGart1ev3aaatCvAUfeBSjuyZL2yd9gzLbvyNv2CaerbuLwBLn hiov2DGi1BTfMBaeXatLxBI9gBaerbd9wDYLwzYbItLDharqqtubsr 4rNCHbGeaGGj0Jf9crFfpeea0xh9v8qiW7rqqrFfpeea0xe9Lq=Jc9 vqaqpepm0xbba9pwe9Q8fs0=yqaqpepae9pg0FirpepeKkFr0xfr=x fr=xb9adbaqaaeGaciGaaiaabeqaamaabaabaaGcbaGaamiCamaaBa aaleaacaWGubaabeaarqqr1ngBPrgifHhDYfgaiuaakiab=TMi=iaa d2eaaaa@40CA@  пользуемся стандартным подходом коллинеарной партонной модели (КПМ) в лидирующем по α s MathType@MTEF@5@5@+= feaahGart1ev3aaatCvAUfeBSjuyZL2yd9gzLbvyNv2CaerbuLwBLn hiov2DGi1BTfMBaeXatLxBI9gBaerbd9wDYLwzYbItLDharqqtubsr 4rNCHbGeaGGj0Jf9crFfpeea0xh9v8qiW7rqqrFfpeea0xe9Lq=Jc9 vqaqpepm0xbba9pwe9Q8fs0=yqaqpepae9pg0FirpepeKkFr0xfr=x fr=xb9adbaqaaeGaciGaaiaabeqaamaabaabaaGcbaGaeqySde2aaS baaSqaaiaadohaaeqaaaaa@3ACA@  приближении.

В коллинеарной факторизации импульсы партонов, лежащих на массовой поверхности, прямо пропорциональны импульсам сталкивающихся протонов:

                                                          q 1 μ = x 1 p 1 μ , q 2 μ = x 2 p 2 μ , MathType@MTEF@5@5@+= feaahGart1ev3aaatCvAUfeBSjuyZL2yd9gzLbvyNv2CaerbuLwBLn hiov2DGi1BTfMBaeXatLxBI9gBaerbd9wDYLwzYbItLDharqqtubsr 4rNCHbGeaGGj0Jf9crFfpeea0xh9v8qiW7rqqrFfpeea0xe9Lq=Jc9 vqaqpepm0xbba9pwe9Q8fs0=yqaqpepae9pg0FirpepeKkFr0xfr=x fr=xb9adbaqaaeGaciGaaiaabeqaamaabaabaaGcbaGaamyCamaaDa aaleaacaaIXaaabaGaeqiVd0gaaOGaaGypaiaadIhadaWgaaWcbaGa aGymaaqabaGccaWGWbWaa0baaSqaaiaaigdaaeaacqaH8oqBaaGcca aISaGaaGiiaiaaiccacaaIGaGaaGiiaiaaiccacaaIGaGaaGiiaiaa dghadaqhaaWcbaGaaGOmaaqaaiabeY7aTbaakiaai2dacaWG4bWaaS baaSqaaiaaikdaaeqaaOGaamiCamaaDaaaleaacaaIYaaabaGaeqiV d0gaaOGaaGilaaaa@51FC@

где x 1 , x 2 MathType@MTEF@5@5@+= feaahGart1ev3aaatCvAUfeBSjuyZL2yd9gzLbvyNv2CaerbuLwBLn hiov2DGi1BTfMBaeXatLxBI9gBaerbd9wDYLwzYbItLDharqqtubsr 4rNCHbGeaGGj0Jf9crFfpeea0xh9v8qiW7rqqrFfpeea0xe9Lq=Jc9 vqaqpepm0xbba9pwe9Q8fs0=yqaqpepae9pg0FirpepeKkFr0xfr=x fr=xb9adbaqaaeGaciGaaiaabeqaamaabaabaaGcbaGaamiEamaaBa aaleaacaaIXaaabeaakiaaiYcacaWG4bWaaSbaaSqaaiaaikdaaeqa aaaa@3C90@   MathType@MTEF@5@5@+= feaahGart1ev3aqatCvAUfeBSjuyZL2yd9gzLbvyNv2CaerbuLwBLn hiov2DGi1BTfMBaeXatLxBI9gBaerbd9wDYLwzYbItLDharqqtubsr 4rNCHbGeaGqiVu0Je9sqqrpepC0xbbL8F4rqqrFfpeea0xe9Lq=Jc9 vqaqpepm0xbba9pwe9Q8fs0=yqaqpepae9pg0FirpepeKkFr0xfr=x fr=xb9adbaqaaeGaciGaaiaabeqaamaabaabaaGcbaqefmuySLMyYL gaiuaajugGbabaaaaaaaaapeGaa8hfGaaa@3A95@  также продольные доли импульсов протонов, и тогда импульсы партонов, пренебрегая массой протонов при достаточно больших энергиях стокновений s MathType@MTEF@5@5@+= feaahGart1ev3aaatCvAUfeBSjuyZL2yd9gzLbvyNv2CaerbuLwBLn hiov2DGi1BTfMBaeXatLxBI9gBaerbd9wDYLwzYbItLDharqqtubsr 4rNCHbGeaGGj0Jf9crFfpeea0xh9v8qiW7rqqrFfpeea0xe9Lq=Jc9 vqaqpepm0xbba9pwe9Q8fs0=yqaqpepae9pg0FirpepeKkFr0xfr=x fr=xb9adbaqaaeGaciGaaiaabeqaamaabaabaaGcbaWaaOaaaeaaca WGZbaaleqaaaaa@391A@ , можно записать следующим образом:

                                                 q 1 = x 1 s 2 1,0,0,1 , q 2 = x 2 s 2 1,0,0,1 . MathType@MTEF@5@5@+= feaahGart1ev3aaatCvAUfeBSjuyZL2yd9gzLbvyNv2CaerbuLwBLn hiov2DGi1BTfMBaeXatLxBI9gBaerbd9wDYLwzYbItLDharqqtubsr 4rNCHbGeaGGj0Jf9crFfpeea0xh9v8qiW7rqqrFfpeea0xe9Lq=Jc9 vqaqpepm0xbba9pwe9Q8fs0=yqaqpepae9pg0FirpepeKkFr0xfr=x fr=xb9adbaqaaeGaciGaaiaabeqaamaabaabaaGcbaGaamyCamaaBa aaleaacaaIXaaabeaakiaai2dadaWcaaqaaiaadIhadaWgaaWcbaGa aGymaaqabaGcdaGcaaqaaiaadohaaSqabaaakeaacaaIYaaaamaabm aabaGaaGymaiaaiYcacaaIWaGaaGilaiaaicdacaaISaGaaGymaaGa ayjkaiaawMcaaiaaiYcacaaIGaGaaGiiaiaaiccacaaIGaGaaGiiai aaiccacaaIGaGaamyCamaaBaaaleaacaaIYaaabeaakiaai2dadaWc aaqaaiaadIhadaWgaaWcbaGaaGOmaaqabaGcdaGcaaqaaiaadohaaS qabaaakeaacaaIYaaaamaabmaabaGaaGymaiaaiYcacaaIWaGaaGil aiaaicdacaaISaGaeyOeI0IaaGymaaGaayjkaiaawMcaaiaai6caaa a@593E@

В приближении малых поперечных импульсов начальных партонов q T μ F Q MathType@MTEF@5@5@+= feaahGart1ev3aaatCvAUfeBSjuyZL2yd9gzLbvyNv2CaerbuLwBLn hiov2DGi1BTfMBaeXatLxBI9gBaerbd9wDYLwzYbItLDharqqtubsr 4rNCHbGeaGGj0Jf9crFfpeea0xh9v8qiW7rqqrFfpeea0xe9Lq=Jc9 vqaqpepm0xbba9pwe9Q8fs0=yqaqpepae9pg0FirpepeKkFr0xfr=x fr=xb9adbaqaaeGaciGaaiaabeqaamaabaabaaGcbaGaamyCamaaBa aaleaacaWGubaabeaarqqr1ngBPrgifHhDYfgaiuaakiab=PMi9iab eY7aTnaaBaaaleaacaWGgbaabeaakiabggMi6kaadgfaaaa@454C@  действует теорема о коллинеарной факторизации сечения рождения конечного наблюдаемого состояния:

                                                     dσ= d x 1 d x 2 f( x 1 , μ F )f( x 2 , μ F )d σ ^ , MathType@MTEF@5@5@+= feaahGart1ev3aaatCvAUfeBSjuyZL2yd9gzLbvyNv2CaerbuLwBLn hiov2DGi1BTfMBaeXatLxBI9gBaerbd9wDYLwzYbItLDharqqtubsr 4rNCHbGeaGGj0Jf9crFfpeea0xh9v8qiW7rqqrFfpeea0xe9Lq=Jc9 vqaqpepm0xbba9pwe9Q8fs0=yqaqpepae9pg0FirpepeKkFr0xfr=x fr=xb9adbaqaaeGaciGaaiaabeqaamaabaabaaGcbaGaamizaiabeo 8aZjaai2dadaWdbaqabSqabeqaniabgUIiYdGccaWGKbGaamiEamaa BaaaleaacaaIXaaabeaakiaadsgacaWG4bWaaSbaaSqaaiaaikdaae qaaOGaaGjcVlaadAgacaaIOaGaamiEamaaBaaaleaacaaIXaaabeaa kiaaiYcacqaH8oqBdaWgaaWcbaGaamOraaqabaGccaaIPaGaamOzai aaiIcacaWG4bWaaSbaaSqaaiaaikdaaeqaaOGaaGilaiabeY7aTnaa BaaaleaacaWGgbaabeaakiaaiMcacaaMi8Uaamizaiqbeo8aZzaaja GaaGilaaaa@591A@                                                            (1)

 где f x, μ F MathType@MTEF@5@5@+= feaahGart1ev3aaatCvAUfeBSjuyZL2yd9gzLbvyNv2CaerbuLwBLn hiov2DGi1BTfMBaeXatLxBI9gBaerbd9wDYLwzYbItLDharqqtubsr 4rNCHbGeaGGj0Jf9crFfpeea0xh9v8qiW7rqqrFfpeea0xe9Lq=Jc9 vqaqpepm0xbba9pwe9Q8fs0=yqaqpepae9pg0FirpepeKkFr0xfr=x fr=xb9adbaqaaeGaciGaaiaabeqaamaabaabaaGcbaGaamOzamaabm aabaGaamiEaiaaiYcacqaH8oqBdaWgaaWcbaGaamOraaqabaaakiaa wIcacaGLPaaaaaa@3EE5@   MathType@MTEF@5@5@+= feaahGart1ev3aqatCvAUfeBSjuyZL2yd9gzLbvyNv2CaerbuLwBLn hiov2DGi1BTfMBaeXatLxBI9gBaerbd9wDYLwzYbItLDharqqtubsr 4rNCHbGeaGqiVu0Je9sqqrpepC0xbbL8F4rqqrFfpeea0xe9Lq=Jc9 vqaqpepm0xbba9pwe9Q8fs0=yqaqpepae9pg0FirpepeKkFr0xfr=x fr=xb9adbaqaaeGaciGaaiaabeqaamaabaabaaGcbaqefmuySLMyYL gaiuaajugGbabaaaaaaaaapeGaa8hfGaaa@3A95@  коллинеарные партонные распределения, эволюция которых по жесткому масштабу μ F MathType@MTEF@5@5@+= feaahGart1ev3aaatCvAUfeBSjuyZL2yd9gzLbvyNv2CaerbuLwBLn hiov2DGi1BTfMBaeXatLxBI9gBaerbd9wDYLwzYbItLDharqqtubsr 4rNCHbGeaGGj0Jf9crFfpeea0xh9v8qiW7rqqrFfpeea0xe9Lq=Jc9 vqaqpepm0xbba9pwe9Q8fs0=yqaqpepae9pg0FirpepeKkFr0xfr=x fr=xb9adbaqaaeGaciGaaiaabeqaamaabaabaaGcbaGaeqiVd02aaS baaSqaaiaadAeaaeqaaaaa@3AB4@  описывается уравнениями ДГЛАП; d σ ^ MathType@MTEF@5@5@+= feaahGart1ev3aaatCvAUfeBSjuyZL2yd9gzLbvyNv2CaerbuLwBLn hiov2DGi1BTfMBaeXatLxBI9gBaerbd9wDYLwzYbItLDharqqtubsr 4rNCHbGeaGGj0Jf9crFfpeea0xh9v8qiW7rqqrFfpeea0xe9Lq=Jc9 vqaqpepm0xbba9pwe9Q8fs0=yqaqpepae9pg0FirpepeKkFr0xfr=x fr=xb9adbaqaaeGaciGaaiaabeqaamaabaabaaGcbaGaamizaiqbeo 8aZzaajaaaaa@3AC3@   MathType@MTEF@5@5@+= feaahGart1ev3aqatCvAUfeBSjuyZL2yd9gzLbvyNv2CaerbuLwBLn hiov2DGi1BTfMBaeXatLxBI9gBaerbd9wDYLwzYbItLDharqqtubsr 4rNCHbGeaGqiVu0Je9sqqrpepC0xbbL8F4rqqrFfpeea0xe9Lq=Jc9 vqaqpepm0xbba9pwe9Q8fs0=yqaqpepae9pg0FirpepeKkFr0xfr=x fr=xb9adbaqaaeGaciGaaiaabeqaamaabaabaaGcbaqefmuySLMyYL gaiuaajugGbabaaaaaaaaapeGaa8hfGaaa@3A95@  сечение жесткого партонного подпроцесса 22 MathType@MTEF@5@5@+= feaahGart1ev3aaatCvAUfeBSjuyZL2yd9gzLbvyNv2CaerbuLwBLn hiov2DGi1BTfMBaeXatLxBI9gBaerbd9wDYLwzYbItLDharqqtubsr 4rNCHbGeaGGj0Jf9crFfpeea0xh9v8qiW7rqqrFfpeea0xe9Lq=Jc9 vqaqpepm0xbba9pwe9Q8fs0=yqaqpepae9pg0FirpepeKkFr0xfr=x fr=xb9adbaqaaeGaciGaaiaabeqaamaabaabaaGcbaGaaGOmaiabgk ziUkaaikdaaaa@3B6C@  (подпроцессы 21 MathType@MTEF@5@5@+= feaahGart1ev3aaatCvAUfeBSjuyZL2yd9gzLbvyNv2CaerbuLwBLn hiov2DGi1BTfMBaeXatLxBI9gBaerbd9wDYLwzYbItLDharqqtubsr 4rNCHbGeaGGj0Jf9crFfpeea0xh9v8qiW7rqqrFfpeea0xe9Lq=Jc9 vqaqpepm0xbba9pwe9Q8fs0=yqaqpepae9pg0FirpepeKkFr0xfr=x fr=xb9adbaqaaeGaciGaaiaabeqaamaabaabaaGcbaGaaGOmaiabgk ziUkaaigdaaaa@3B6B@  запрещены кинематикой КПМ), которое выражается в виде

                                         dσ^=(2π)4δ(4)q1+q2pk|M(22)|2¯Id3p(2π)32p0d3k(2π)32k0,

где p MathType@MTEF@5@5@+= feaahGart1ev3aaatCvAUfeBSjuyZL2yd9gzLbvyNv2CaerbuLwBLn hiov2DGi1BTfMBaeXatLxBI9gBaerbd9wDYLwzYbItLDharqqtubsr 4rNCHbGeaGGj0Jf9crFfpeea0xh9v8qiW7rqqrFfpeea0xe9Lq=Jc9 vqaqpepm0xbba9pwe9Q8fs0=yqaqpepae9pg0FirpepeKkFr0xfr=x fr=xb9adbaqaaeGaciGaaiaabeqaamaabaabaaGcbaGaamiCaaaa@38FC@  и k MathType@MTEF@5@5@+= feaahGart1ev3aaatCvAUfeBSjuyZL2yd9gzLbvyNv2CaerbuLwBLn hiov2DGi1BTfMBaeXatLxBI9gBaerbd9wDYLwzYbItLDharqqtubsr 4rNCHbGeaGGj0Jf9crFfpeea0xh9v8qiW7rqqrFfpeea0xe9Lq=Jc9 vqaqpepm0xbba9pwe9Q8fs0=yqaqpepae9pg0FirpepeKkFr0xfr=x fr=xb9adbaqaaeGaciGaaiaabeqaamaabaabaaGcbaGaam4Aaaaa@38F7@   MathType@MTEF@5@5@+= feaahGart1ev3aqatCvAUfeBSjuyZL2yd9gzLbvyNv2CaerbuLwBLn hiov2DGi1BTfMBaeXatLxBI9gBaerbd9wDYLwzYbItLDharqqtubsr 4rNCHbGeaGqiVu0Je9sqqrpepC0xbbL8F4rqqrFfpeea0xe9Lq=Jc9 vqaqpepm0xbba9pwe9Q8fs0=yqaqpepae9pg0FirpepeKkFr0xfr=x fr=xb9adbaqaaeGaciGaaiaabeqaamaabaabaaGcbaqefmuySLMyYL gaiuaajugGbabaaaaaaaaapeGaa8hfGaaa@3A95@  импульсы двух конечных частиц ( p MathType@MTEF@5@5@+= feaahGart1ev3aaatCvAUfeBSjuyZL2yd9gzLbvyNv2CaerbuLwBLn hiov2DGi1BTfMBaeXatLxBI9gBaerbd9wDYLwzYbItLDharqqtubsr 4rNCHbGeaGGj0Jf9crFfpeea0xh9v8qiW7rqqrFfpeea0xe9Lq=Jc9 vqaqpepm0xbba9pwe9Q8fs0=yqaqpepae9pg0FirpepeKkFr0xfr=x fr=xb9adbaqaaeGaciGaaiaabeqaamaabaabaaGcbaGaamiCaaaa@38FC@   MathType@MTEF@5@5@+= feaahGart1ev3aqatCvAUfeBSjuyZL2yd9gzLbvyNv2CaerbuLwBLn hiov2DGi1BTfMBaeXatLxBI9gBaerbd9wDYLwzYbItLDharqqtubsr 4rNCHbGeaGqiVu0Je9sqqrpepC0xbbL8F4rqqrFfpeea0xe9Lq=Jc9 vqaqpepm0xbba9pwe9Q8fs0=yqaqpepae9pg0FirpepeKkFr0xfr=x fr=xb9adbaqaaeGaciGaaiaabeqaamaabaabaaGcbaqefmuySLMyYL gaiuaajugGbabaaaaaaaaapeGaa8hfGaaa@3A95@  импульс рожденного состояния чармония).

 3 Описание области промежуточных поперечных импульсов

 Для области промежуточных значений поперечных импульсов p T M MathType@MTEF@5@5@+= feaahGart1ev3aaatCvAUfeBSjuyZL2yd9gzLbvyNv2CaerbuLwBLn hiov2DGi1BTfMBaeXatLxBI9gBaerbd9wDYLwzYbItLDharqqtubsr 4rNCHbGeaGGj0Jf9crFfpeea0xh9v8qiW7rqqrFfpeea0xe9Lq=Jc9 vqaqpepm0xbba9pwe9Q8fs0=yqaqpepae9pg0FirpepeKkFr0xfr=x fr=xb9adbaqaaeGaciGaaiaabeqaamaabaabaaGcbaGaamiCamaaBa aaleaacaWGubaabeaarqqr1ngBPrgifHhDYfgaiuaakiab=XJi6iaa d2eaaaa@4096@  не существует подхода, основанного на пертурбативном разложении сечения в ряд и представления его в виде множителей, отвечающих за различные энергетические и пространственно-временные этапы в адронных процессах, как это проделано в моделях коллинеарной и неколлинеарной факторизаций. Вместо этого вклады двух факторизационных моделей <<сшивают>> и описывают промежуточную область p T MathType@MTEF@5@5@+= feaahGart1ev3aaatCvAUfeBSjuyZL2yd9gzLbvyNv2CaerbuLwBLn hiov2DGi1BTfMBaeXatLxBI9gBaerbd9wDYLwzYbItLDharqqtubsr 4rNCHbGeaGGj0Jf9crFfpeea0xh9v8qiW7rqqrFfpeea0xe9Lq=Jc9 vqaqpepm0xbba9pwe9Q8fs0=yqaqpepae9pg0FirpepeKkFr0xfr=x fr=xb9adbaqaaeGaciGaaiaabeqaamaabaabaaGcbaGaamiCamaaBa aaleaacaWGubaabeaaaaa@3A01@  как тем или иным образом определенную сумму вкладов КПМ и НКПМ. Мы пользуемся подходом МОП (метод обратных погрешностей, Inverse-Error Weighting, InEW), основанным на более общем статистическом методе обратных дисперсий (inverse-variance weighting) MathType@MTEF@5@5@+= feaahGart1ev3aqatCvAUfeBSjuyZL2yd9gzLbvyNv2CaerbuLwBLn hiov2DGi1BTfMBaeXatLxBI9gBaerbd9wDYLwzYbItLDharqqtubsr 4rNCHbGeaGqiVu0Je9sqqrpepC0xbbL8F4rqqrFfpeea0xe9Lq=Jc9 vqaqpepm0xbba9pwe9Q8fs0=yqaqpepae9pg0FirpepeKkFr0xfr=x fr=xb9adbaqaaeGaciGaaiaabeqaamaabaabaaGcbaqefmuySLMyYL gaiuaajugGbabaaaaaaaaapeGaa8hfGaaa@3A95@  методе выбора весов для вычисления взвешенной суммы нескольких случайных величин, при котором дисперсия этой суммы оказывается наименьшей [6].

В схеме <<сшивания>> факторизаций МОП вычисляемое при любом значении p T MathType@MTEF@5@5@+= feaahGart1ev3aaatCvAUfeBSjuyZL2yd9gzLbvyNv2CaerbuLwBLn hiov2DGi1BTfMBaeXatLxBI9gBaerbd9wDYLwzYbItLDharqqtubsr 4rNCHbGeaGGj0Jf9crFfpeea0xh9v8qiW7rqqrFfpeea0xe9Lq=Jc9 vqaqpepm0xbba9pwe9Q8fs0=yqaqpepae9pg0FirpepeKkFr0xfr=x fr=xb9adbaqaaeGaciGaaiaabeqaamaabaabaaGcbaGaamiCamaaBa aaleaacaWGubaabeaaaaa@3A01@  сечение dσ ¯ MathType@MTEF@5@5@+= feaahGart1ev3aaatCvAUfeBSjuyZL2yd9gzLbvyNv2CaerbuLwBLn hiov2DGi1BTfMBaeXatLxBI9gBaerbd9wDYLwzYbItLDharqqtubsr 4rNCHbGeaGGj0Jf9crFfpeea0xh9v8qiW7rqqrFfpeea0xe9Lq=Jc9 vqaqpepm0xbba9pwe9Q8fs0=yqaqpepae9pg0FirpepeKkFr0xfr=x fr=xb9adbaqaaeGaciGaaiaabeqaamaabaabaaGcbaWaa0aaaeaaca WGKbGaeq4Wdmhaaaaa@3AC4@  представляется в виде суммы вкладов неколлинеарной W MathType@MTEF@5@5@+= feaahGart1ev3aaatCvAUfeBSjuyZL2yd9gzLbvyNv2CaerbuLwBLn hiov2DGi1BTfMBaeXatLxBI9gBaerbd9wDYLwzYbItLDharqqtubsr 4rNCHbGeaGGj0Jf9crFfpeea0xh9v8qiW7rqqrFfpeea0xe9Lq=Jc9 vqaqpepm0xbba9pwe9Q8fs0=yqaqpepae9pg0FirpepeKkFr0xfr=x fr=xb9adbaqaaeGaciGaaiaabeqaamaabaabaaGcbaWefv3ySLgznf gDOfdaryqr1ngBPrginfgDObYtUvgaiuaacqWFwe=vaaa@4374@  и коллинеарной Z MathType@MTEF@5@5@+= feaahGart1ev3aaatCvAUfeBSjuyZL2yd9gzLbvyNv2CaerbuLwBLn hiov2DGi1BTfMBaeXatLxBI9gBaerbd9wDYLwzYbItLDharqqtubsr 4rNCHbGeaGGj0Jf9crFfpeea0xh9v8qiW7rqqrFfpeea0xe9Lq=Jc9 vqaqpepm0xbba9pwe9Q8fs0=yqaqpepae9pg0FirpepeKkFr0xfr=x fr=xb9adbaqaaeGaciGaaiaabeqaamaabaabaaGcbaWefv3ySLgznf gDOfdaryqr1ngBPrginfgDObYtUvgaiuaacqWFzeVwaaa@437A@  факторизаций, взятых с некоторыми весами ω 1 MathType@MTEF@5@5@+= feaahGart1ev3aaatCvAUfeBSjuyZL2yd9gzLbvyNv2CaerbuLwBLn hiov2DGi1BTfMBaeXatLxBI9gBaerbd9wDYLwzYbItLDharqqtubsr 4rNCHbGeaGGj0Jf9crFfpeea0xh9v8qiW7rqqrFfpeea0xe9Lq=Jc9 vqaqpepm0xbba9pwe9Q8fs0=yqaqpepae9pg0FirpepeKkFr0xfr=x fr=xb9adbaqaaeGaciGaaiaabeqaamaabaabaaGcbaGaeqyYdC3aaS baaSqaaiaaigdaaeqaaaaa@3ABB@  и ω 2 MathType@MTEF@5@5@+= feaahGart1ev3aaatCvAUfeBSjuyZL2yd9gzLbvyNv2CaerbuLwBLn hiov2DGi1BTfMBaeXatLxBI9gBaerbd9wDYLwzYbItLDharqqtubsr 4rNCHbGeaGGj0Jf9crFfpeea0xh9v8qiW7rqqrFfpeea0xe9Lq=Jc9 vqaqpepm0xbba9pwe9Q8fs0=yqaqpepae9pg0FirpepeKkFr0xfr=x fr=xb9adbaqaaeGaciGaaiaabeqaamaabaabaaGcbaGaeqyYdC3aaS baaSqaaiaaikdaaeqaaaaa@3ABC@ :

                                                    dσ ¯ ( p T ,Q)= ω 1 W( p T ,Q)+ ω 2 Z( p T ,Q). MathType@MTEF@5@5@+= feaahGart1ev3aaatCvAUfeBSjuyZL2yd9gzLbvyNv2CaerbuLwBLn hiov2DGi1BTfMBaeXatLxBI9gBaerbd9wDYLwzYbItLDharqqtubsr 4rNCHbGeaGGj0Jf9crFfpeea0xh9v8qiW7rqqrFfpeea0xe9Lq=Jc9 vqaqpepm0xbba9pwe9Q8fs0=yqaqpepae9pg0FirpepeKkFr0xfr=x fr=xb9adbaqaaeGaciGaaiaabeqaamaabaabaaGcbaWaa0aaaeaaca WGKbGaeq4WdmhaaiaaiIcacaWGWbWaaSbaaSqaaiaadsfaaeqaaOGa aGilaiaadgfacaaIPaGaaGypaiabeM8a3naaBaaaleaacaaIXaaabe aatuuDJXwAK1uy0HwmaeHbfv3ySLgzG0uy0Hgip5wzaGqbaOGae8Nf XFLaaGikaiaadchadaWgaaWcbaGaamivaaqabaGccaaISaGaamyuai aaiMcacqGHRaWkcqaHjpWDdaWgaaWcbaGaaGOmaaqabaGccqWFzeVw caaIOaGaamiCamaaBaaaleaacaWGubaabeaakiaaiYcacaWGrbGaaG ykaiaai6caaaa@5ED7@                                                           (1)

 В качестве весов берутся нормированные значения обратных квадратов степенных поправок, использованных в теоремах факторизации КПМ и НКПМ:

                                                      ω 1 = Δ W 2 Δ W 2 + Δ Z 2 , ω 2 = Δ Z 2 Δ W 2 + Δ Z 2 , MathType@MTEF@5@5@+= feaahGart1ev3aaatCvAUfeBSjuyZL2yd9gzLbvyNv2CaerbuLwBLn hiov2DGi1BTfMBaeXatLxBI9gBaerbd9wDYLwzYbItLDharqqtubsr 4rNCHbGeaGGj0Jf9crFfpeea0xh9v8qiW7rqqrFfpeea0xe9Lq=Jc9 vqaqpepm0xbba9pwe9Q8fs0=yqaqpepae9pg0FirpepeKkFr0xfr=x fr=xb9adbaqaaeGaciGaaiaabeqaamaabaabaaGcbaGaeqyYdC3aaS baaSqaaiaaigdaaeqaaOGaaGypamaalaaabaGaeuiLdq0aa0baaSqa amrr1ngBPrwtHrhAXaqeguuDJXwAKbstHrhAG8KBLbacfaGae8NfXF fabaGaeyOeI0IaaGOmaaaaaOqaaiabfs5aenaaDaaaleaacqWFwe=v aeaacqGHsislcaaIYaaaaOGaey4kaSIaeuiLdq0aa0baaSqaaiab=L r8AbqaaiabgkHiTiaaikdaaaaaaOGaaGilaiaaiccacaaIGaGaaGii aiaaiccacaaIGaGaaGiiaiaaiccacqaHjpWDdaWgaaWcbaGaaGOmaa qabaGccaaI9aWaaSaaaeaacqqHuoardaqhaaWcbaGae8xgXRfabaGa eyOeI0IaaGOmaaaaaOqaaiabfs5aenaaDaaaleaacqWFwe=vaeaacq GHsislcaaIYaaaaOGaey4kaSIaeuiLdq0aa0baaSqaaiab=Lr8Abqa aiabgkHiTiaaikdaaaaaaOGaaGilaaaa@6F9A@

 

                                              ΔW=pTQ2+mQ2ΔZ=mpT21+ln2QTpT,                                                    (2)

 где m MathType@MTEF@5@5@+= feaahGart1ev3aaatCvAUfeBSjuyZL2yd9gzLbvyNv2CaerbuLwBLn hiov2DGi1BTfMBaeXatLxBI9gBaerbd9wDYLwzYbItLDharqqtubsr 4rNCHbGeaGGj0Jf9crFfpeea0xh9v8qiW7rqqrFfpeea0xe9Lq=Jc9 vqaqpepm0xbba9pwe9Q8fs0=yqaqpepae9pg0FirpepeKkFr0xfr=x fr=xb9adbaqaaeGaciGaaiaabeqaamaabaabaaGcbaGaamyBaaaa@38F9@   MathType@MTEF@5@5@+= feaahGart1ev3aqatCvAUfeBSjuyZL2yd9gzLbvyNv2CaerbuLwBLn hiov2DGi1BTfMBaeXatLxBI9gBaerbd9wDYLwzYbItLDharqqtubsr 4rNCHbGeaGqiVu0Je9sqqrpepC0xbbL8F4rqqrFfpeea0xe9Lq=Jc9 vqaqpepm0xbba9pwe9Q8fs0=yqaqpepae9pg0FirpepeKkFr0xfr=x fr=xb9adbaqaaeGaciGaaiaabeqaamaabaabaaGcbaqefmuySLMyYL gaiuaajugGbabaaaaaaaaapeGaa8hfGaaa@3A95@  масса адрона порядка 1 MathType@MTEF@5@5@+= feaahGart1ev3aaatCvAUfeBSjuyZL2yd9gzLbvyNv2CaerbuLwBLn hiov2DGi1BTfMBaeXatLxBI9gBaerbd9wDYLwzYbItLDharqqtubsr 4rNCHbGeaGGj0Jf9crFfpeea0xh9v8qiW7rqqrFfpeea0xe9Lq=Jc9 vqaqpepm0xbba9pwe9Q8fs0=yqaqpepae9pg0FirpepeKkFr0xfr=x fr=xb9adbaqaaeGaciGaaiaabeqaamaabaabaaGcbaGaaGymaaaa@38C2@  ГэВ, Q T = Q 2 + p T 2 MathType@MTEF@5@5@+= feaahGart1ev3aaatCvAUfeBSjuyZL2yd9gzLbvyNv2CaerbuLwBLn hiov2DGi1BTfMBaeXatLxBI9gBaerbd9wDYLwzYbItLDharqqtubsr 4rNCHbGeaGGj0Jf9crFfpeea0xh9v8qiW7rqqrFfpeea0xe9Lq=Jc9 vqaqpepm0xbba9pwe9Q8fs0=yqaqpepae9pg0FirpepeKkFr0xfr=x fr=xb9adbaqaaeGaciGaaiaabeqaamaabaabaaGcbaGaamyuamaaBa aaleaacaWGubaabeaakiaai2dadaGcaaqaaiaadgfadaahaaWcbeqa aiaaikdaaaGccqGHRaWkcaWGWbWaa0baaSqaaiaadsfaaeaacaaIYa aaaaqabaaaaa@4025@ .

Неопределенность вычисления результирующего сечения, определенного как среднее взвешенное двух вкладов, задается выражением:

                                                           Δ dσ ¯ = Δ W Δ Z Δ W 2 + Δ Z 2 dσ ¯ . MathType@MTEF@5@5@+= feaahGart1ev3aaatCvAUfeBSjuyZL2yd9gzLbvyNv2CaerbuLwBLn hiov2DGi1BTfMBaeXatLxBI9gBaerbd9wDYLwzYbItLDharqqtubsr 4rNCHbGeaGGj0Jf9crFfpeea0xh9v8qiW7rqqrFfpeea0xe9Lq=Jc9 vqaqpepm0xbba9pwe9Q8fs0=yqaqpepae9pg0FirpepeKkFr0xfr=x fr=xb9adbaqaaeGaciGaaiaabeqaamaabaabaaGcbaGaeuiLdq0aa0 aaaeaacaWGKbGaeq4Wdmhaaiaai2dadaWcaaqaaiabfs5aenaaBaaa leaatuuDJXwAK1uy0HwmaeHbfv3ySLgzG0uy0Hgip5wzaGqbaiab=z r8xbqabaGccqqHuoardaWgaaWcbaGae8xgXRfabeaaaOqaamaakaaa baGaeuiLdq0aa0baaSqaaiab=zr8xbqaaiaaikdaaaGccqGHRaWkcq qHuoardaqhaaWcbaGae8xgXRfabaGaaGOmaaaaaeqaaaaakmaanaaa baGaamizaiabeo8aZbaacaaIUaaaaa@5A74@                                                                  (3)

 

Таким образом, схема МОП позволяет вычислить сечение, которое совпадает с вкладами коллинеарной и неколлинеарной факторизаций в областях применимости соответствующих теорем и которое представляется как средневзвешенная сумма этих вкладов в области, где ни та, ни другая теоремы строго не выполняются. Погрешность итогового сечения оказывается максимальной именно в области промежуточных поперечных импульсов. 

4 Нерелятивистская КХД

 Нерелятивистская КХД MathType@MTEF@5@5@+= feaahGart1ev3aqatCvAUfeBSjuyZL2yd9gzLbvyNv2CaerbuLwBLn hiov2DGi1BTfMBaeXatLxBI9gBaerbd9wDYLwzYbItLDharqqtubsr 4rNCHbGeaGqiVu0Je9sqqrpepC0xbbL8F4rqqrFfpeea0xe9Lq=Jc9 vqaqpepm0xbba9pwe9Q8fs0=yqaqpepae9pg0FirpepeKkFr0xfr=x fr=xb9adbaqaaeGaciGaaiaabeqaamaabaabaaGcbaqefmuySLMyYL gaiuaajugGbabaaaaaaaaapeGaa8hfGaaa@3A95@  устоявшийся подход к описанию адронизации тяжелых кварков в наблюдаемые состояния. Достаточно большая масса очарованных кварков m c MathType@MTEF@5@5@+= feaahGart1ev3aaatCvAUfeBSjuyZL2yd9gzLbvyNv2CaerbuLwBLn hiov2DGi1BTfMBaeXatLxBI9gBaerbd9wDYLwzYbItLDharqqtubsr 4rNCHbGeaGGj0Jf9crFfpeea0xh9v8qiW7rqqrFfpeea0xe9Lq=Jc9 vqaqpepm0xbba9pwe9Q8fs0=yqaqpepae9pg0FirpepeKkFr0xfr=x fr=xb9adbaqaaeGaciGaaiaabeqaamaabaabaaGcbaGaamyBamaaBa aaleaacaWGJbaabeaaaaa@3A0D@  позволяет рассматривать их как нерелятивистские ( υ 2 0.3 MathType@MTEF@5@5@+= feaahGart1ev3aaatCvAUfeBSjuyZL2yd9gzLbvyNv2CaerbuLwBLn hiov2DGi1BTfMBaeXatLxBI9gBaerbd9wDYLwzYbItLDharqqtubsr 4rNCHbGeaGGj0Jf9crFfpeea0xh9v8qiW7rqqrFfpeea0xe9Lq=Jc9 vqaqpepm0xbba9pwe9Q8fs0=yqaqpepae9pg0FirpepeKkFr0xfr=x fr=xb9adbaqaaeGaciGaaiaabeqaamaabaabaaGcbaGaeqyXdu3aaW baaSqabeaacaaIYaaaaOGaeyisISRaaGimaiaai6cacaaIZaaaaa@3EA1@  ), благодаря этому вполне надежно разделяются по порядку величины следующие динамические наблюдаемые [11]: масса кваркония, трехмерный импульс, кинетическая энергия и т. д. Оценка величины наблюдаемых, соответствующих квантовым операторам, дает право ввести иерархию фоковских состояний чармония в рождении J/ψ MathType@MTEF@5@5@+= feaahGart1ev3aaatCvAUfeBSjuyZL2yd9gzLbvyNv2CaerbuLwBLn hiov2DGi1BTfMBaeXatLxBI9gBaerbd9wDYLwzYbItLDharqqtubsr 4rNCHbGeaGGj0Jf9crFfpeea0xh9v8qiW7rqqrFfpeea0xe9Lq=Jc9 vqaqpepm0xbba9pwe9Q8fs0=yqaqpepae9pg0FirpepeKkFr0xfr=x fr=xb9adbaqaaeGaciGaaiaabeqaamaabaabaaGcbaGaamOsaiaai+ cacqaHipqEaaa@3B5D@  по степеням скорости υ MathType@MTEF@5@5@+= feaahGart1ev3aaatCvAUfeBSjuyZL2yd9gzLbvyNv2CaerbuLwBLn hiov2DGi1BTfMBaeXatLxBI9gBaerbd9wDYLwzYbItLDharqqtubsr 4rNCHbGeaGGj0Jf9crFfpeea0xh9v8qiW7rqqrFfpeea0xe9Lq=Jc9 vqaqpepm0xbba9pwe9Q8fs0=yqaqpepae9pg0FirpepeKkFr0xfr=x fr=xb9adbaqaaeGaciGaaiaabeqaamaabaabaaGcbaGaeqyXduhaaa@39CE@  [12]:

                             |J/ψ=O(υ0)|cc¯[3S1(1)]+O(υ1)|cc¯[3PJ(8)]g+O(υ2)|cc¯[3S1(1,8)]gg+O(υ2)|cc¯[1S0(8)]g+,

лидирующим членом ряда является синглетное фоковское состояние, в котором находятся кварки в составе J/ψ MathType@MTEF@5@5@+= feaahGart1ev3aaatCvAUfeBSjuyZL2yd9gzLbvyNv2CaerbuLwBLn hiov2DGi1BTfMBaeXatLxBI9gBaerbd9wDYLwzYbItLDharqqtubsr 4rNCHbGeaGGj0Jf9crFfpeea0xh9v8qiW7rqqrFfpeea0xe9Lq=Jc9 vqaqpepm0xbba9pwe9Q8fs0=yqaqpepae9pg0FirpepeKkFr0xfr=x fr=xb9adbaqaaeGaciGaaiaabeqaamaabaabaaGcbaGaamOsaiaai+ cacqaHipqEaaa@3B5D@ . Если ограничиться им, то такое приближении будет называться моделью цветовых синглетов (МЦС) [13], в отдельных случаях даже и его уже может быть достаточно для корректного и полного описания рождения чармония.

В НРКХД сечение рождения состояния чармония факторизуется в произведение сечения рождения кварковой пары в некотором фоковском состоянии и непертурбативного матричного элемента (НМЭ), который можно интерпретировать как описывающий адронизацию кварковой пары в связанное состояние:

                                      dσ^(a+bC+X)=ndσ^(a+bcc¯[n]+X)OC[n]/(NcolNpol),                                            (1)

 за кратким обозначением n MathType@MTEF@5@5@+= feaahGart1ev3aaatCvAUfeBSjuyZL2yd9gzLbvyNv2CaerbuLwBLn hiov2DGi1BTfMBaeXatLxBI9gBaerbd9wDYLwzYbItLDharqqtubsr 4rNCHbGeaGGj0Jf9crFfpeea0xh9v8qiW7rqqrFfpeea0xe9Lq=Jc9 vqaqpepm0xbba9pwe9Q8fs0=yqaqpepae9pg0FirpepeKkFr0xfr=x fr=xb9adbaqaaeGaciGaaiaabeqaamaabaabaaGcbaGaamOBaaaa@38FA@  стоят фоковские состояния, которые учитываются при анализе и расчетах рождения J/ψ MathType@MTEF@5@5@+= feaahGart1ev3aaatCvAUfeBSjuyZL2yd9gzLbvyNv2CaerbuLwBLn hiov2DGi1BTfMBaeXatLxBI9gBaerbd9wDYLwzYbItLDharqqtubsr 4rNCHbGeaGGj0Jf9crFfpeea0xh9v8qiW7rqqrFfpeea0xe9Lq=Jc9 vqaqpepm0xbba9pwe9Q8fs0=yqaqpepae9pg0FirpepeKkFr0xfr=x fr=xb9adbaqaaeGaciGaaiaabeqaamaabaabaaGcbaGaamOsaiaai+ cacqaHipqEaaa@3B5D@ , также здесь явно записано усреднение по поляризационным ( null  =2J+1 MathType@MTEF@5@5@+= feaahGart1ev3aaatCvAUfeBSjuyZL2yd9gzLbvyNv2CaerbuLwBLn hiov2DGi1BTfMBaeXatLxBI9gBaerbd9wDYLwzYbItLDharqqtubsr 4rNCHbGeaGGj0Jf9crFfpeea0xh9v8qiW7rqqrFfpeea0xe9Lq=Jc9 vqaqpepm0xbba9pwe9Q8fs0=yqaqpepae9pg0FirpepeKkFr0xfr=x fr=xb9adbaqaaeGaciGaaiaabeqaamaabaabaaGcbaGaaGypaiaaik dacaWGkbGaey4kaSIaaGymaaaa@3BF6@ , где J MathType@MTEF@5@5@+= feaahGart1ev3aaatCvAUfeBSjuyZL2yd9gzLbvyNv2CaerbuLwBLn hiov2DGi1BTfMBaeXatLxBI9gBaerbd9wDYLwzYbItLDharqqtubsr 4rNCHbGeaGGj0Jf9crFfpeea0xh9v8qiW7rqqrFfpeea0xe9Lq=Jc9 vqaqpepm0xbba9pwe9Q8fs0=yqaqpepae9pg0FirpepeKkFr0xfr=x fr=xb9adbaqaaeGaciGaaiaabeqaamaabaabaaGcbaGaamOsaaaa@38D6@   MathType@MTEF@5@5@+= feaahGart1ev3aqatCvAUfeBSjuyZL2yd9gzLbvyNv2CaerbuLwBLn hiov2DGi1BTfMBaeXatLxBI9gBaerbd9wDYLwzYbItLDharqqtubsr 4rNCHbGeaGqiVu0Je9sqqrpepC0xbbL8F4rqqrFfpeea0xe9Lq=Jc9 vqaqpepm0xbba9pwe9Q8fs0=yqaqpepae9pg0FirpepeKkFr0xfr=x fr=xb9adbaqaaeGaciGaaiaabeqaamaabaabaaGcbaqefmuySLMyYL gaiuaajugGbabaaaaaaaaapeGaa8hfGaaa@3A95@  полный момент кварковой пары) и цветовым ( N co l =2 N c MathType@MTEF@5@5@+= feaahGart1ev3aaatCvAUfeBSjuyZL2yd9gzLbvyNv2CaerbuLwBLn hiov2DGi1BTfMBaeXatLxBI9gBaerbd9wDYLwzYbItLDharqqtubsr 4rNCHbGeaGGj0Jf9crFfpeea0xh9v8qiW7rqqrFfpeea0xe9Lq=Jc9 vqaqpepm0xbba9pwe9Q8fs0=yqaqpepae9pg0FirpepeKkFr0xfr=x fr=xb9adbaqaaeGaciGaaiaabeqaamaabaabaaGcbaGaamOtamaaBa aaleaaaeqaaOGaam4yaiaad+gacaWGSbWaaSbaaSqaaaqabaGccaaI 9aGaaGOmaiaad6eadaWgaaWcbaGaam4yaaqabaaaaa@3F7D@  для синглетов, N co l = N c 2 1 MathType@MTEF@5@5@+= feaahGart1ev3aaatCvAUfeBSjuyZL2yd9gzLbvyNv2CaerbuLwBLn hiov2DGi1BTfMBaeXatLxBI9gBaerbd9wDYLwzYbItLDharqqtubsr 4rNCHbGeaGGj0Jf9crFfpeea0xh9v8qiW7rqqrFfpeea0xe9Lq=Jc9 vqaqpepm0xbba9pwe9Q8fs0=yqaqpepae9pg0FirpepeKkFr0xfr=x fr=xb9adbaqaaeGaciGaaiaabeqaamaabaabaaGcbaGaamOtamaaBa aaleaaaeqaaOGaam4yaiaad+gacaWGSbWaaSbaaSqaaaqabaGccaaI 9aGaamOtamaaDaaaleaacaWGJbaabaGaaGOmaaaakiabgkHiTiaaig daaaa@4130@  для октетов, где N c MathType@MTEF@5@5@+= feaahGart1ev3aaatCvAUfeBSjuyZL2yd9gzLbvyNv2CaerbuLwBLn hiov2DGi1BTfMBaeXatLxBI9gBaerbd9wDYLwzYbItLDharqqtubsr 4rNCHbGeaGGj0Jf9crFfpeea0xh9v8qiW7rqqrFfpeea0xe9Lq=Jc9 vqaqpepm0xbba9pwe9Q8fs0=yqaqpepae9pg0FirpepeKkFr0xfr=x fr=xb9adbaqaaeGaciGaaiaabeqaamaabaabaaGcbaGaamOtamaaBa aaleaacaWGJbaabeaaaaa@39EE@   MathType@MTEF@5@5@+= feaahGart1ev3aqatCvAUfeBSjuyZL2yd9gzLbvyNv2CaerbuLwBLn hiov2DGi1BTfMBaeXatLxBI9gBaerbd9wDYLwzYbItLDharqqtubsr 4rNCHbGeaGqiVu0Je9sqqrpepC0xbbL8F4rqqrFfpeea0xe9Lq=Jc9 vqaqpepm0xbba9pwe9Q8fs0=yqaqpepae9pg0FirpepeKkFr0xfr=x fr=xb9adbaqaaeGaciGaaiaabeqaamaabaabaaGcbaqefmuySLMyYL gaiuaajugGbabaaaaaaaaapeGaa8hfGaaa@3A95@  число цветов) состояниям чармония. Амплитуда рождения кварковой пары в фоковском состоянии вычисляется в необходимом порядке по константе связи α s MathType@MTEF@5@5@+= feaahGart1ev3aaatCvAUfeBSjuyZL2yd9gzLbvyNv2CaerbuLwBLn hiov2DGi1BTfMBaeXatLxBI9gBaerbd9wDYLwzYbItLDharqqtubsr 4rNCHbGeaGGj0Jf9crFfpeea0xh9v8qiW7rqqrFfpeea0xe9Lq=Jc9 vqaqpepm0xbba9pwe9Q8fs0=yqaqpepae9pg0FirpepeKkFr0xfr=x fr=xb9adbaqaaeGaciGaaiaabeqaamaabaabaaGcbaGaeqySde2aaS baaSqaaiaadohaaeqaaaaa@3ACA@  с помощью техники фейнмановских диаграмм и последовательности проецирований на состояния с необходимыми значениями квантовых спиновых, орбитальных и цветовых чисел [14].

В подходе ПМГ мы учитываем рождение состояний 1 S 0 (8) MathType@MTEF@5@5@+= feaahGart1ev3aaatCvAUfeBSjuyZL2yd9gzLbvyNv2CaerbuLwBLn hiov2DGi1BTfMBaeXatLxBI9gBaerbd9wDYLwzYbItLDharqqtubsr 4rNCHbGeaGGj0Jf9crFfpeea0xh9v8qiW7rqqrFfpeea0xe9Lq=Jc9 vqaqpepm0xbba9pwe9Q8fs0=yqaqpepae9pg0FirpepeKkFr0xfr=x fr=xb9adbaqaaeGaciGaaiaabeqaamaabaabaaGcbaWaaWbaaSqabe aacaaIXaaaaOGaam4uamaaDaaaleaacaaIWaaabaGaaGikaiaaiIda caaIPaaaaaaa@3CDF@ , 3 P 0,2 (8) MathType@MTEF@5@5@+= feaahGart1ev3aaatCvAUfeBSjuyZL2yd9gzLbvyNv2CaerbuLwBLn hiov2DGi1BTfMBaeXatLxBI9gBaerbd9wDYLwzYbItLDharqqtubsr 4rNCHbGeaGGj0Jf9crFfpeea0xh9v8qiW7rqqrFfpeea0xe9Lq=Jc9 vqaqpepm0xbba9pwe9Q8fs0=yqaqpepae9pg0FirpepeKkFr0xfr=x fr=xb9adbaqaaeGaciGaaiaabeqaamaabaabaaGcbaWaaWbaaSqabe aacaaIZaaaaOGaamiuamaaDaaaleaacaaIWaGaaGilaiaaikdaaeaa caaIOaGaaGioaiaaiMcaaaaaaa@3E50@  для J/ψ MathType@MTEF@5@5@+= feaahGart1ev3aaatCvAUfeBSjuyZL2yd9gzLbvyNv2CaerbuLwBLn hiov2DGi1BTfMBaeXatLxBI9gBaerbd9wDYLwzYbItLDharqqtubsr 4rNCHbGeaGGj0Jf9crFfpeea0xh9v8qiW7rqqrFfpeea0xe9Lq=Jc9 vqaqpepm0xbba9pwe9Q8fs0=yqaqpepae9pg0FirpepeKkFr0xfr=x fr=xb9adbaqaaeGaciGaaiaabeqaamaabaabaaGcbaGaamOsaiaai+ cacqaHipqEaaa@3B5D@  и 3 P 0,2 (1) MathType@MTEF@5@5@+= feaahGart1ev3aaatCvAUfeBSjuyZL2yd9gzLbvyNv2CaerbuLwBLn hiov2DGi1BTfMBaeXatLxBI9gBaerbd9wDYLwzYbItLDharqqtubsr 4rNCHbGeaGGj0Jf9crFfpeea0xh9v8qiW7rqqrFfpeea0xe9Lq=Jc9 vqaqpepm0xbba9pwe9Q8fs0=yqaqpepae9pg0FirpepeKkFr0xfr=x fr=xb9adbaqaaeGaciGaaiaabeqaamaabaabaaGcbaWaaWbaaSqabe aacaaIZaaaaOGaamiuamaaDaaaleaacaaIWaGaaGilaiaaikdaaeaa caaIOaGaaGymaiaaiMcaaaaaaa@3E49@ , 3 S 1 (8) MathType@MTEF@5@5@+= feaahGart1ev3aaatCvAUfeBSjuyZL2yd9gzLbvyNv2CaerbuLwBLn hiov2DGi1BTfMBaeXatLxBI9gBaerbd9wDYLwzYbItLDharqqtubsr 4rNCHbGeaGGj0Jf9crFfpeea0xh9v8qiW7rqqrFfpeea0xe9Lq=Jc9 vqaqpepm0xbba9pwe9Q8fs0=yqaqpepae9pg0FirpepeKkFr0xfr=x fr=xb9adbaqaaeGaciGaaiaabeqaamaabaabaaGcbaWaaWbaaSqabe aacaaIZaaaaOGaam4uamaaDaaaleaacaaIXaaabaGaaGikaiaaiIda caaIPaaaaaaa@3CE2@  для χ cJ MathType@MTEF@5@5@+= feaahGart1ev3aaatCvAUfeBSjuyZL2yd9gzLbvyNv2CaerbuLwBLn hiov2DGi1BTfMBaeXatLxBI9gBaerbd9wDYLwzYbItLDharqqtubsr 4rNCHbGeaGGj0Jf9crFfpeea0xh9v8qiW7rqqrFfpeea0xe9Lq=Jc9 vqaqpepm0xbba9pwe9Q8fs0=yqaqpepae9pg0FirpepeKkFr0xfr=x fr=xb9adbaqaaeGaciGaaiaabeqaamaabaabaaGcbaGaeq4Xdm2aaS baaSqaaiaadogacaWGkbaabeaaaaa@3BA1@  в подпроцессах 21 MathType@MTEF@5@5@+= feaahGart1ev3aaatCvAUfeBSjuyZL2yd9gzLbvyNv2CaerbuLwBLn hiov2DGi1BTfMBaeXatLxBI9gBaerbd9wDYLwzYbItLDharqqtubsr 4rNCHbGeaGGj0Jf9crFfpeea0xh9v8qiW7rqqrFfpeea0xe9Lq=Jc9 vqaqpepm0xbba9pwe9Q8fs0=yqaqpepae9pg0FirpepeKkFr0xfr=x fr=xb9adbaqaaeGaciGaaiaabeqaamaabaabaaGcbaGaaGOmaiabgk ziUkaaigdaaaa@3B6B@ , в которых рождаются состояния с малыми поперечными импульсами. Матричные элементы данных подпроцессов:

                            |M(g+gC[3P0(1)])|2¯=8π2αs23M3OC[3P0(1)]|M(g+gC[3P2(1)])|2¯=32π2αs245M3OC[3P2(1)],

 

                             |M(g+gC[3P0(8)])|2¯=5π2αs2M3OC[3P0(8)]|M(g+gC[3P2(8)])|2¯=4π2αs23M3OC[3P2(8)],

 

                               |M(g+gC[1S0(8)])|2¯=5π2αs212MOC[1S0(8)]|M(q+q¯C[3S1(8)])|2¯=16π2αs29MOC[3S1(8)].

Чармонии в области коллинеарной факторизации рождаются через состояния 3 S 1 (1) MathType@MTEF@5@5@+= feaahGart1ev3aaatCvAUfeBSjuyZL2yd9gzLbvyNv2CaerbuLwBLn hiov2DGi1BTfMBaeXatLxBI9gBaerbd9wDYLwzYbItLDharqqtubsr 4rNCHbGeaGGj0Jf9crFfpeea0xh9v8qiW7rqqrFfpeea0xe9Lq=Jc9 vqaqpepm0xbba9pwe9Q8fs0=yqaqpepae9pg0FirpepeKkFr0xfr=x fr=xb9adbaqaaeGaciGaaiaabeqaamaabaabaaGcbaWaaWbaaSqabe aacaaIZaaaaOGaam4uamaaDaaaleaacaaIXaaabaGaaGikaiaaigda caaIPaaaaaaa@3CDB@ , 3 S 1 (8) MathType@MTEF@5@5@+= feaahGart1ev3aaatCvAUfeBSjuyZL2yd9gzLbvyNv2CaerbuLwBLn hiov2DGi1BTfMBaeXatLxBI9gBaerbd9wDYLwzYbItLDharqqtubsr 4rNCHbGeaGGj0Jf9crFfpeea0xh9v8qiW7rqqrFfpeea0xe9Lq=Jc9 vqaqpepm0xbba9pwe9Q8fs0=yqaqpepae9pg0FirpepeKkFr0xfr=x fr=xb9adbaqaaeGaciGaaiaabeqaamaabaabaaGcbaWaaWbaaSqabe aacaaIZaaaaOGaam4uamaaDaaaleaacaaIXaaabaGaaGikaiaaiIda caaIPaaaaaaa@3CE2@ , 1 S 0 (8) MathType@MTEF@5@5@+= feaahGart1ev3aaatCvAUfeBSjuyZL2yd9gzLbvyNv2CaerbuLwBLn hiov2DGi1BTfMBaeXatLxBI9gBaerbd9wDYLwzYbItLDharqqtubsr 4rNCHbGeaGGj0Jf9crFfpeea0xh9v8qiW7rqqrFfpeea0xe9Lq=Jc9 vqaqpepm0xbba9pwe9Q8fs0=yqaqpepae9pg0FirpepeKkFr0xfr=x fr=xb9adbaqaaeGaciGaaiaabeqaamaabaabaaGcbaWaaWbaaSqabe aacaaIXaaaaOGaam4uamaaDaaaleaacaaIWaaabaGaaGikaiaaiIda caaIPaaaaaaa@3CDF@  и 3 P J (8) MathType@MTEF@5@5@+= feaahGart1ev3aaatCvAUfeBSjuyZL2yd9gzLbvyNv2CaerbuLwBLn hiov2DGi1BTfMBaeXatLxBI9gBaerbd9wDYLwzYbItLDharqqtubsr 4rNCHbGeaGGj0Jf9crFfpeea0xh9v8qiW7rqqrFfpeea0xe9Lq=Jc9 vqaqpepm0xbba9pwe9Q8fs0=yqaqpepae9pg0FirpepeKkFr0xfr=x fr=xb9adbaqaaeGaciGaaiaabeqaamaabaabaaGcbaWaaWbaaSqabe aacaaIZaaaaOGaamiuamaaDaaaleaacaWGkbaabaGaaGikaiaaiIda caaIPaaaaaaa@3CF3@  для J/ψ MathType@MTEF@5@5@+= feaahGart1ev3aaatCvAUfeBSjuyZL2yd9gzLbvyNv2CaerbuLwBLn hiov2DGi1BTfMBaeXatLxBI9gBaerbd9wDYLwzYbItLDharqqtubsr 4rNCHbGeaGGj0Jf9crFfpeea0xh9v8qiW7rqqrFfpeea0xe9Lq=Jc9 vqaqpepm0xbba9pwe9Q8fs0=yqaqpepae9pg0FirpepeKkFr0xfr=x fr=xb9adbaqaaeGaciGaaiaabeqaamaabaabaaGcbaGaamOsaiaai+ cacqaHipqEaaa@3B5D@ , ψ MathType@MTEF@5@5@+= feaahGart1ev3aaatCvAUfeBSjuyZL2yd9gzLbvyNv2CaerbuLwBLn hiov2DGi1BTfMBaeXatLxBI9gBaerbd9wDYLwzYbItLDharqqtubsr 4rNCHbGeaGGj0Jf9crFfpeea0xh9v8qiW7rqqrFfpeea0xe9Lq=Jc9 vqaqpepm0xbba9pwe9Q8fs0=yqaqpepae9pg0FirpepeKkFr0xfr=x fr=xb9adbaqaaeGaciGaaiaabeqaamaabaabaaGcbaGafqiYdKNbau aaaaa@39E1@  и через 3 P J (1) MathType@MTEF@5@5@+= feaahGart1ev3aaatCvAUfeBSjuyZL2yd9gzLbvyNv2CaerbuLwBLn hiov2DGi1BTfMBaeXatLxBI9gBaerbd9wDYLwzYbItLDharqqtubsr 4rNCHbGeaGGj0Jf9crFfpeea0xh9v8qiW7rqqrFfpeea0xe9Lq=Jc9 vqaqpepm0xbba9pwe9Q8fs0=yqaqpepae9pg0FirpepeKkFr0xfr=x fr=xb9adbaqaaeGaciGaaiaabeqaamaabaabaaGcbaWaaWbaaSqabe aacaaIZaaaaOGaamiuamaaDaaaleaacaWGkbaabaGaaGikaiaaigda caaIPaaaaaaa@3CEC@ , 3 S 1 (8) MathType@MTEF@5@5@+= feaahGart1ev3aaatCvAUfeBSjuyZL2yd9gzLbvyNv2CaerbuLwBLn hiov2DGi1BTfMBaeXatLxBI9gBaerbd9wDYLwzYbItLDharqqtubsr 4rNCHbGeaGGj0Jf9crFfpeea0xh9v8qiW7rqqrFfpeea0xe9Lq=Jc9 vqaqpepm0xbba9pwe9Q8fs0=yqaqpepae9pg0FirpepeKkFr0xfr=x fr=xb9adbaqaaeGaciGaaiaabeqaamaabaabaaGcbaWaaWbaaSqabe aacaaIZaaaaOGaam4uamaaDaaaleaacaaIXaaabaGaaGikaiaaiIda caaIPaaaaaaa@3CE2@  для χ cJ MathType@MTEF@5@5@+= feaahGart1ev3aaatCvAUfeBSjuyZL2yd9gzLbvyNv2CaerbuLwBLn hiov2DGi1BTfMBaeXatLxBI9gBaerbd9wDYLwzYbItLDharqqtubsr 4rNCHbGeaGGj0Jf9crFfpeea0xh9v8qiW7rqqrFfpeea0xe9Lq=Jc9 vqaqpepm0xbba9pwe9Q8fs0=yqaqpepae9pg0FirpepeKkFr0xfr=x fr=xb9adbaqaaeGaciGaaiaabeqaamaabaabaaGcbaGaeq4Xdm2aaS baaSqaaiaadogacaWGkbaabeaaaaa@3BA1@ . Соответствующие этим состояниям матричные элементы достаточно громоздкие, поэтому не приведены здесь, но матричные элементы синглетных состояний можно найти в работе [15], а октетных состояний MathType@MTEF@5@5@+= feaahGart1ev3aqatCvAUfeBSjuyZL2yd9gzLbvyNv2CaerbuLwBLn hiov2DGi1BTfMBaeXatLxBI9gBaerbd9wDYLwzYbItLDharqqtubsr 4rNCHbGeaGqiVu0Je9sqqrpepC0xbbL8F4rqqrFfpeea0xe9Lq=Jc9 vqaqpepm0xbba9pwe9Q8fs0=yqaqpepae9pg0FirpepeKkFr0xfr=x fr=xb9adbaqaaeGaciGaaiaabeqaamaabaabaaGcbaqefmuySLMyYL gaiuaajugGbabaaaaaaaaapeGaa8hfGaaa@3A95@  в [16].

Все источники значений НМЭ в той или иной степени феноменологичны. Выражения для НМЭ синглетных состояний связаны со значениями волновой функции чармония или ее производной в нуле [17, 18]:

                                      O C [ 3 S 1 (1) ]=2 N c (2J+1)|Ψ (0)| 2 , O C [ 3 P J (1) ]=2 N c (2J+1)| Ψ (0)| 2 . MathType@MTEF@5@5@+= feaahGart1ev3aaatCvAUfeBSjuyZL2yd9gzLbvyNv2CaerbuLwBLn hiov2DGi1BTfMBaeXatLxBI9gBaerbd9wDYLwzYbItLDharqqtubsr 4rNCHbGeaGGj0Jf9crFfpeea0xh9v8qiW7rqqrFfpeea0xe9Lq=Jc9 vqaqpepm0xbba9pwe9Q8fs0=yqaqpepae9pg0FirpepeKkFr0xfr=x fr=xb9adbaqaaeGaciGaaiaabeqaamaabaabaaGcbaGaeyykJe+efv 3ySLgznfgDOfdaryqr1ngBPrginfgDObYtUvgaiuaacqWFoe=tdaah aaWcbeqaaiab=jq8dbaakiaaiUfadaahaaWcbeqaaiaaiodaaaGcca WGtbWaa0baaSqaaiaaigdaaeaacaaIOaGaaGymaiaaiMcaaaGccaaI DbGaeyOkJeVaaGypaiaaikdacaWGobWaaSbaaSqaaiaadogaaeqaaO GaaGikaiaaikdacaWGkbGaey4kaSIaaGymaiaaiMcacaaI8bGaeuiQ dKLaaGikaiaaicdacaaIPaGaaGiFamaaCaaaleqabaGaaGOmaaaaki aaiYcacaaIGaGaaGiiaiaaiccacaaIGaGaaGiiaiaaiccacaaIGaGa eyykJeUae8NdX=0aaWbaaSqabeaacqWFce=qaaGccaaIBbWaaWbaaS qabeaacaaIZaaaaOGaamiuamaaDaaaleaacaWGkbaabaGaaGikaiaa igdacaaIPaaaaOGaaGyxaiabgQYiXlaai2dacaaIYaGaamOtamaaBa aaleaacaWGJbaabeaakiaaiIcacaaIYaGaamOsaiabgUcaRiaaigda caaIPaGaaGiFaiqbfI6azzaafaGaaGikaiaaicdacaaIPaGaaGiFam aaCaaaleqabaGaaGOmaaaakiaai6caaaa@8102@

Эти значения получают при расчетах в нерелятивистских потенциальных моделях с феноменологическими потенциалами или из экспериментальных данных по распаду чармониев. Октетные же состояния физически ненаблюдаемы, и поэтому наборы октетных НМЭ извлекают фитированием данных чармониев за вычетом синглетных вкладов. Хотя значения НМЭ предполагаются универсальными, результаты фитов НМЭ на разных наборах данных и особенно в различных порядках вычислений по α s MathType@MTEF@5@5@+= feaahGart1ev3aaatCvAUfeBSjuyZL2yd9gzLbvyNv2CaerbuLwBLn hiov2DGi1BTfMBaeXatLxBI9gBaerbd9wDYLwzYbItLDharqqtubsr 4rNCHbGeaGGj0Jf9crFfpeea0xh9v8qiW7rqqrFfpeea0xe9Lq=Jc9 vqaqpepm0xbba9pwe9Q8fs0=yqaqpepae9pg0FirpepeKkFr0xfr=x fr=xb9adbaqaaeGaciGaaiaabeqaamaabaabaaGcbaGaeqySde2aaS baaSqaaiaadohaaeqaaaaa@3ACA@  могут достаточно сильно различаться. Поэтому в работе мы приводим свои результаты фитирования данных по рождению J/ψ MathType@MTEF@5@5@+= feaahGart1ev3aaatCvAUfeBSjuyZL2yd9gzLbvyNv2CaerbuLwBLn hiov2DGi1BTfMBaeXatLxBI9gBaerbd9wDYLwzYbItLDharqqtubsr 4rNCHbGeaGGj0Jf9crFfpeea0xh9v8qiW7rqqrFfpeea0xe9Lq=Jc9 vqaqpepm0xbba9pwe9Q8fs0=yqaqpepae9pg0FirpepeKkFr0xfr=x fr=xb9adbaqaaeGaciGaaiaabeqaamaabaabaaGcbaGaamOsaiaai+ cacqaHipqEaaa@3B5D@  при s =200 MathType@MTEF@5@5@+= feaahGart1ev3aaatCvAUfeBSjuyZL2yd9gzLbvyNv2CaerbuLwBLn hiov2DGi1BTfMBaeXatLxBI9gBaerbd9wDYLwzYbItLDharqqtubsr 4rNCHbGeaGGj0Jf9crFfpeea0xh9v8qiW7rqqrFfpeea0xe9Lq=Jc9 vqaqpepm0xbba9pwe9Q8fs0=yqaqpepae9pg0FirpepeKkFr0xfr=x fr=xb9adbaqaaeGaciGaaiaabeqaamaabaabaaGcbaWaaOaaaeaaca WGZbaaleqaaOGaaGypaiaaikdacaaIWaGaaGimaaaa@3C1B@  ГэВ. 

5 Результаты расчетов

Все описанные ниже численные расчеты осуществлялись с помощью библиотеки численного интегрирования CUBA [19] (алгоритм интегрирования Suave) при максимальной относительной погрешности расчетов, равной 1 % MathType@MTEF@5@5@+= feaahGart1ev3aaatCvAUfeBSjuyZL2yd9gzLbvyNv2CaerbuLwBLn hiov2DGi1BTfMBaeXatLxBI9gBaerbd9wDYLwzYbItLDharqqtubsr 4rNCHbGeaGGj0Jf9crFfpeea0xh9v8qiW7rqqrFfpeea0xe9Lq=Jc9 vqaqpepm0xbba9pwe9Q8fs0=yqaqpepae9pg0FirpepeKkFr0xfr=x fr=xb9adbaqaaeGaciGaaiaabeqaamaabaabaaGcbaGaaGymaiaaic cacaaILaaaaa@3A1B@ . Матричные элементы партонных подпроцессов в НРКХД вычислялись в системе компьютерной алгебры Wolfram Mathematica с применением пакетов FeynArts [20] и FeynCalc [21]. Коллинеарные партонные распределения в лидирующем порядке по константе связи были взяты в виде численно заданных распределений MSTW2008LO [22].

Массы состояний чармония, использованные в расчетах [23]: m J/ψ =3.096 MathType@MTEF@5@5@+= feaahGart1ev3aaatCvAUfeBSjuyZL2yd9gzLbvyNv2CaerbuLwBLn hiov2DGi1BTfMBaeXatLxBI9gBaerbd9wDYLwzYbItLDharqqtubsr 4rNCHbGeaGGj0Jf9crFfpeea0xh9v8qiW7rqqrFfpeea0xe9Lq=Jc9 vqaqpepm0xbba9pwe9Q8fs0=yqaqpepae9pg0FirpepeKkFr0xfr=x fr=xb9adbaqaaeGaciGaaiaabeqaamaabaabaaGcbaGaamyBamaaBa aaleaacaWGkbGaaG4laiabeI8a5bqabaGccaaI9aGaaG4maiaai6ca caaIWaGaaGyoaiaaiAdaaaa@40FE@  ГэВ, m ψ =3.686 MathType@MTEF@5@5@+= feaahGart1ev3aaatCvAUfeBSjuyZL2yd9gzLbvyNv2CaerbuLwBLn hiov2DGi1BTfMBaeXatLxBI9gBaerbd9wDYLwzYbItLDharqqtubsr 4rNCHbGeaGGj0Jf9crFfpeea0xh9v8qiW7rqqrFfpeea0xe9Lq=Jc9 vqaqpepm0xbba9pwe9Q8fs0=yqaqpepae9pg0FirpepeKkFr0xfr=x fr=xb9adbaqaaeGaciGaaiaabeqaamaabaabaaGcbaGaamyBamaaBa aaleaacuaHipqEgaqbaaqabaGccaaI9aGaaG4maiaai6cacaaI2aGa aGioaiaaiAdaaaa@3F87@  ГэВ, m χ c0 =3.415 MathType@MTEF@5@5@+= feaahGart1ev3aaatCvAUfeBSjuyZL2yd9gzLbvyNv2CaerbuLwBLn hiov2DGi1BTfMBaeXatLxBI9gBaerbd9wDYLwzYbItLDharqqtubsr 4rNCHbGeaGGj0Jf9crFfpeea0xh9v8qiW7rqqrFfpeea0xe9Lq=Jc9 vqaqpepm0xbba9pwe9Q8fs0=yqaqpepae9pg0FirpepeKkFr0xfr=x fr=xb9adbaqaaeGaciGaaiaabeqaamaabaabaaGcbaGaamyBamaaBa aaleaacqaHhpWydaWgaaqaaiaadogacaaIWaaabeaaaeqaaOGaaGyp aiaaiodacaaIUaGaaGinaiaaigdacaaI1aaaaa@411D@  ГэВ, m χ c1 =3.510 MathType@MTEF@5@5@+= feaahGart1ev3aaatCvAUfeBSjuyZL2yd9gzLbvyNv2CaerbuLwBLn hiov2DGi1BTfMBaeXatLxBI9gBaerbd9wDYLwzYbItLDharqqtubsr 4rNCHbGeaGGj0Jf9crFfpeea0xh9v8qiW7rqqrFfpeea0xe9Lq=Jc9 vqaqpepm0xbba9pwe9Q8fs0=yqaqpepae9pg0FirpepeKkFr0xfr=x fr=xb9adbaqaaeGaciGaaiaabeqaamaabaabaaGcbaGaamyBamaaBa aaleaacqaHhpWydaWgaaqaaiaadogacaaIXaaabeaaaeqaaOGaaGyp aiaaiodacaaIUaGaaGynaiaaigdacaaIWaaaaa@411A@  ГэВ, m χ c2 =3.556 MathType@MTEF@5@5@+= feaahGart1ev3aaatCvAUfeBSjuyZL2yd9gzLbvyNv2CaerbuLwBLn hiov2DGi1BTfMBaeXatLxBI9gBaerbd9wDYLwzYbItLDharqqtubsr 4rNCHbGeaGGj0Jf9crFfpeea0xh9v8qiW7rqqrFfpeea0xe9Lq=Jc9 vqaqpepm0xbba9pwe9Q8fs0=yqaqpepae9pg0FirpepeKkFr0xfr=x fr=xb9adbaqaaeGaciGaaiaabeqaamaabaabaaGcbaGaamyBamaaBa aaleaacqaHhpWydaWgaaqaaiaadogacaaIYaaabeaaaeqaaOGaaGyp aiaaiodacaaIUaGaaGynaiaaiwdacaaI2aaaaa@4125@  ГэВ. Бранчинги распадов чармониев (относительные вероятности распадов) в нижележащие состояния и в лептонные пары [23]: Br ( χ c0 J/ψ+γ)=0.014 MathType@MTEF@5@5@+= feaahGart1ev3aaatCvAUfeBSjuyZL2yd9gzLbvyNv2CaerbuLwBLn hiov2DGi1BTfMBaeXatLxBI9gBaerbd9wDYLwzYbItLDharqqtubsr 4rNCHbGeaGGj0Jf9crFfpeea0xh9v8qiW7rqqrFfpeea0xe9Lq=Jc9 vqaqpepm0xbba9pwe9Q8fs0=yqaqpepae9pg0FirpepeKkFr0xfr=x fr=xb9adbaqaaeGaciGaaiaabeqaamaabaabaaGcbaGaaGikaiabeE 8aJnaaBaaaleaacaWGJbGaaGimaaqabaGccqGHsgIRcaWGkbGaaG4l aiabeI8a5jabgUcaRiabeo7aNjaaiMcacaaI9aGaaGimaiaai6caca aIWaGaaGymaiaaisdaaaa@4933@ , Br ( χ c1 J/ψ+γ)=0.343 MathType@MTEF@5@5@+= feaahGart1ev3aaatCvAUfeBSjuyZL2yd9gzLbvyNv2CaerbuLwBLn hiov2DGi1BTfMBaeXatLxBI9gBaerbd9wDYLwzYbItLDharqqtubsr 4rNCHbGeaGGj0Jf9crFfpeea0xh9v8qiW7rqqrFfpeea0xe9Lq=Jc9 vqaqpepm0xbba9pwe9Q8fs0=yqaqpepae9pg0FirpepeKkFr0xfr=x fr=xb9adbaqaaeGaciGaaiaabeqaamaabaabaaGcbaGaaGikaiabeE 8aJnaaBaaaleaacaWGJbGaaGymaaqabaGccqGHsgIRcaWGkbGaaG4l aiabeI8a5jabgUcaRiabeo7aNjaaiMcacaaI9aGaaGimaiaai6caca aIZaGaaGinaiaaiodaaaa@4939@ , Br ( χ c2 J/ψ+γ)=0.19 MathType@MTEF@5@5@+= feaahGart1ev3aaatCvAUfeBSjuyZL2yd9gzLbvyNv2CaerbuLwBLn hiov2DGi1BTfMBaeXatLxBI9gBaerbd9wDYLwzYbItLDharqqtubsr 4rNCHbGeaGGj0Jf9crFfpeea0xh9v8qiW7rqqrFfpeea0xe9Lq=Jc9 vqaqpepm0xbba9pwe9Q8fs0=yqaqpepae9pg0FirpepeKkFr0xfr=x fr=xb9adbaqaaeGaciGaaiaabeqaamaabaabaaGcbaGaaGikaiabeE 8aJnaaBaaaleaacaWGJbGaaGOmaaqabaGccqGHsgIRcaWGkbGaaG4l aiabeI8a5jabgUcaRiabeo7aNjaaiMcacaaI9aGaaGimaiaai6caca aIXaGaaGyoaaaa@4880@ , Br ( ψ J/ψ+X)=0.614 MathType@MTEF@5@5@+= feaahGart1ev3aaatCvAUfeBSjuyZL2yd9gzLbvyNv2CaerbuLwBLn hiov2DGi1BTfMBaeXatLxBI9gBaerbd9wDYLwzYbItLDharqqtubsr 4rNCHbGeaGGj0Jf9crFfpeea0xh9v8qiW7rqqrFfpeea0xe9Lq=Jc9 vqaqpepm0xbba9pwe9Q8fs0=yqaqpepae9pg0FirpepeKkFr0xfr=x fr=xb9adbaqaaeGaciGaaiaabeqaamaabaabaaGcbaGaaGikaiqbeI 8a5zaafaGaeyOKH4QaamOsaiaai+cacqaHipqEcqGHRaWkcaWGybGa aGykaiaai2dacaaIWaGaaGOlaiaaiAdacaaIXaGaaGinaaaa@46BA@ , Br (J/ψ e + e )=0.05971 MathType@MTEF@5@5@+= feaahGart1ev3aaatCvAUfeBSjuyZL2yd9gzLbvyNv2CaerbuLwBLn hiov2DGi1BTfMBaeXatLxBI9gBaerbd9wDYLwzYbItLDharqqtubsr 4rNCHbGeaGGj0Jf9crFfpeea0xh9v8qiW7rqqrFfpeea0xe9Lq=Jc9 vqaqpepm0xbba9pwe9Q8fs0=yqaqpepae9pg0FirpepeKkFr0xfr=x fr=xb9adbaqaaeGaciGaaiaabeqaamaabaabaaGcbaGaaGikaiaadQ eacaaIVaGaeqiYdKNaeyOKH4QaamyzamaaCaaaleqabaGaey4kaSca aOGaamyzamaaCaaaleqabaGaeyOeI0caaOGaaGykaiaai2dacaaIWa GaaGOlaiaaicdacaaI1aGaaGyoaiaaiEdacaaIXaaaaa@48B1@ , Br (J/ψ μ + μ )=0.05961 MathType@MTEF@5@5@+= feaahGart1ev3aaatCvAUfeBSjuyZL2yd9gzLbvyNv2CaerbuLwBLn hiov2DGi1BTfMBaeXatLxBI9gBaerbd9wDYLwzYbItLDharqqtubsr 4rNCHbGeaGGj0Jf9crFfpeea0xh9v8qiW7rqqrFfpeea0xe9Lq=Jc9 vqaqpepm0xbba9pwe9Q8fs0=yqaqpepae9pg0FirpepeKkFr0xfr=x fr=xb9adbaqaaeGaciGaaiaabeqaamaabaabaaGcbaGaaGikaiaadQ eacaaIVaGaeqiYdKNaeyOKH4QaeqiVd02aaWbaaSqabeaacqGHRaWk aaGccqaH8oqBdaahaaWcbeqaaiabgkHiTaaakiaaiMcacaaI9aGaaG imaiaai6cacaaIWaGaaGynaiaaiMdacaaI2aGaaGymaaaa@4A48@ . Для синглетных состояний использовались следующие НМЭ [24]: O J/ψ [ 3 S 1 (1) ]=1.3 MathType@MTEF@5@5@+= feaahGart1ev3aaatCvAUfeBSjuyZL2yd9gzLbvyNv2CaerbuLwBLn hiov2DGi1BTfMBaeXatLxBI9gBaerbd9wDYLwzYbItLDharqqtubsr 4rNCHbGeaGGj0Jf9crFfpeea0xh9v8qiW7rqqrFfpeea0xe9Lq=Jc9 vqaqpepm0xbba9pwe9Q8fs0=yqaqpepae9pg0FirpepeKkFr0xfr=x fr=xb9adbaqaaeGaciGaaiaabeqaamaabaabaaGcbaGaeyykJe+efv 3ySLgznfgDOfdaryqr1ngBPrginfgDObYtUvgaiuaacqWFoe=tdaah aaWcbeqaaiaadQeacaaIVaGaeqiYdKhaaOGaaG4wamaaCaaaleqaba GaaG4maaaakiaadofadaqhaaWcbaGaaGymaaqaaiaaiIcacaaIXaGa aGykaaaakiaai2facqGHQms8caaI9aGaaGymaiaai6cacaaIZaaaaa@5415@  ГэВ 3 MathType@MTEF@5@5@+= feaahGart1ev3aaatCvAUfeBSjuyZL2yd9gzLbvyNv2CaerbuLwBLn hiov2DGi1BTfMBaeXatLxBI9gBaerbd9wDYLwzYbItLDharqqtubsr 4rNCHbGeaGGj0Jf9crFfpeea0xh9v8qiW7rqqrFfpeea0xe9Lq=Jc9 vqaqpepm0xbba9pwe9Q8fs0=yqaqpepae9pg0FirpepeKkFr0xfr=x fr=xb9adbaqaaeGaciGaaiaabeqaamaabaabaaGcbaWaaWbaaSqabe aacaaIZaaaaaaa@38F1@ , O ψ [ 3 S 1 (1) ]=0.65 MathType@MTEF@5@5@+= feaahGart1ev3aaatCvAUfeBSjuyZL2yd9gzLbvyNv2CaerbuLwBLn hiov2DGi1BTfMBaeXatLxBI9gBaerbd9wDYLwzYbItLDharqqtubsr 4rNCHbGeaGGj0Jf9crFfpeea0xh9v8qiW7rqqrFfpeea0xe9Lq=Jc9 vqaqpepm0xbba9pwe9Q8fs0=yqaqpepae9pg0FirpepeKkFr0xfr=x fr=xb9adbaqaaeGaciGaaiaabeqaamaabaabaaGcbaGaeyykJe+efv 3ySLgznfgDOfdaryqr1ngBPrginfgDObYtUvgaiuaacqWFoe=tdaah aaWcbeqaaiqbeI8a5zaafaaaaOGaaG4wamaaCaaaleqabaGaaG4maa aakiaadofadaqhaaWcbaGaaGymaaqaaiaaiIcacaaIXaGaaGykaaaa kiaai2facqGHQms8caaI9aGaaGimaiaai6cacaaI2aGaaGynaaaa@535A@  ГэВ 3 MathType@MTEF@5@5@+= feaahGart1ev3aaatCvAUfeBSjuyZL2yd9gzLbvyNv2CaerbuLwBLn hiov2DGi1BTfMBaeXatLxBI9gBaerbd9wDYLwzYbItLDharqqtubsr 4rNCHbGeaGGj0Jf9crFfpeea0xh9v8qiW7rqqrFfpeea0xe9Lq=Jc9 vqaqpepm0xbba9pwe9Q8fs0=yqaqpepae9pg0FirpepeKkFr0xfr=x fr=xb9adbaqaaeGaciGaaiaabeqaamaabaabaaGcbaWaaWbaaSqabe aacaaIZaaaaaaa@38F1@ , O χ c0 [ 3 P 0 (1) ]=0.089 MathType@MTEF@5@5@+= feaahGart1ev3aaatCvAUfeBSjuyZL2yd9gzLbvyNv2CaerbuLwBLn hiov2DGi1BTfMBaeXatLxBI9gBaerbd9wDYLwzYbItLDharqqtubsr 4rNCHbGeaGGj0Jf9crFfpeea0xh9v8qiW7rqqrFfpeea0xe9Lq=Jc9 vqaqpepm0xbba9pwe9Q8fs0=yqaqpepae9pg0FirpepeKkFr0xfr=x fr=xb9adbaqaaeGaciGaaiaabeqaamaabaabaaGcbaGaeyykJe+efv 3ySLgznfgDOfdaryqr1ngBPrginfgDObYtUvgaiuaacqWFoe=tdaah aaWcbeqaaiabeE8aJnaaBaaabaGaam4yaiaaicdaaeqaaaaakiaaiU fadaahaaWcbeqaaiaaiodaaaGccaWGqbWaa0baaSqaaiaaicdaaeaa caaIOaGaaGymaiaaiMcaaaGccaaIDbGaeyOkJeVaaGypaiaaicdaca aIUaGaaGimaiaaiIdacaaI5aaaaa@55B6@  ГэВ 5 MathType@MTEF@5@5@+= feaahGart1ev3aaatCvAUfeBSjuyZL2yd9gzLbvyNv2CaerbuLwBLn hiov2DGi1BTfMBaeXatLxBI9gBaerbd9wDYLwzYbItLDharqqtubsr 4rNCHbGeaGGj0Jf9crFfpeea0xh9v8qiW7rqqrFfpeea0xe9Lq=Jc9 vqaqpepm0xbba9pwe9Q8fs0=yqaqpepae9pg0FirpepeKkFr0xfr=x fr=xb9adbaqaaeGaciGaaiaabeqaamaabaabaaGcbaWaaWbaaSqabe aacaaI1aaaaaaa@38F3@ .

Основной вклад в рождение J/ψ MathType@MTEF@5@5@+= feaahGart1ev3aaatCvAUfeBSjuyZL2yd9gzLbvyNv2CaerbuLwBLn hiov2DGi1BTfMBaeXatLxBI9gBaerbd9wDYLwzYbItLDharqqtubsr 4rNCHbGeaGGj0Jf9crFfpeea0xh9v8qiW7rqqrFfpeea0xe9Lq=Jc9 vqaqpepm0xbba9pwe9Q8fs0=yqaqpepae9pg0FirpepeKkFr0xfr=x fr=xb9adbaqaaeGaciGaaiaabeqaamaabaabaaGcbaGaamOsaiaai+ cacqaHipqEaaa@3B5D@  вносят подпроцессы с начальными глюонами, оценка для вклада подпроцессов с кварками для полных сечений составляет (в улучшенной модели испарения цвета) около 10 % MathType@MTEF@5@5@+= feaahGart1ev3aaatCvAUfeBSjuyZL2yd9gzLbvyNv2CaerbuLwBLn hiov2DGi1BTfMBaeXatLxBI9gBaerbd9wDYLwzYbItLDharqqtubsr 4rNCHbGeaGGj0Jf9crFfpeea0xh9v8qiW7rqqrFfpeea0xe9Lq=Jc9 vqaqpepm0xbba9pwe9Q8fs0=yqaqpepae9pg0FirpepeKkFr0xfr=x fr=xb9adbaqaaeGaciGaaiaabeqaamaabaabaaGcbaGaaGymaiaaic dacaaIGaGaaGyjaaaa@3AD5@  при s =200 MathType@MTEF@5@5@+= feaahGart1ev3aaatCvAUfeBSjuyZL2yd9gzLbvyNv2CaerbuLwBLn hiov2DGi1BTfMBaeXatLxBI9gBaerbd9wDYLwzYbItLDharqqtubsr 4rNCHbGeaGGj0Jf9crFfpeea0xh9v8qiW7rqqrFfpeea0xe9Lq=Jc9 vqaqpepm0xbba9pwe9Q8fs0=yqaqpepae9pg0FirpepeKkFr0xfr=x fr=xb9adbaqaaeGaciGaaiaabeqaamaabaabaaGcbaWaaOaaaeaaca WGZbaaleqaaOGaaGypaiaaikdacaaIWaGaaGimaaaa@3C1B@  ГэВ [25]. В данной работе мы оцениваем доли кварковых вкладов в НРКХД.

Вклад октетных состояний ψ MathType@MTEF@5@5@+= feaahGart1ev3aaatCvAUfeBSjuyZL2yd9gzLbvyNv2CaerbuLwBLn hiov2DGi1BTfMBaeXatLxBI9gBaerbd9wDYLwzYbItLDharqqtubsr 4rNCHbGeaGGj0Jf9crFfpeea0xh9v8qiW7rqqrFfpeea0xe9Lq=Jc9 vqaqpepm0xbba9pwe9Q8fs0=yqaqpepae9pg0FirpepeKkFr0xfr=x fr=xb9adbaqaaeGaciGaaiaabeqaamaabaabaaGcbaGafqiYdKNbau aaaaa@39E1@  в рождение J/ψ MathType@MTEF@5@5@+= feaahGart1ev3aaatCvAUfeBSjuyZL2yd9gzLbvyNv2CaerbuLwBLn hiov2DGi1BTfMBaeXatLxBI9gBaerbd9wDYLwzYbItLDharqqtubsr 4rNCHbGeaGGj0Jf9crFfpeea0xh9v8qiW7rqqrFfpeea0xe9Lq=Jc9 vqaqpepm0xbba9pwe9Q8fs0=yqaqpepae9pg0FirpepeKkFr0xfr=x fr=xb9adbaqaaeGaciGaaiaabeqaamaabaabaaGcbaGaamOsaiaai+ cacqaHipqEaaa@3B5D@  мы не учитываем из-за их малости по сравнению с вкладами аналогичных состояний J/ψ MathType@MTEF@5@5@+= feaahGart1ev3aaatCvAUfeBSjuyZL2yd9gzLbvyNv2CaerbuLwBLn hiov2DGi1BTfMBaeXatLxBI9gBaerbd9wDYLwzYbItLDharqqtubsr 4rNCHbGeaGGj0Jf9crFfpeea0xh9v8qiW7rqqrFfpeea0xe9Lq=Jc9 vqaqpepm0xbba9pwe9Q8fs0=yqaqpepae9pg0FirpepeKkFr0xfr=x fr=xb9adbaqaaeGaciGaaiaabeqaamaabaabaaGcbaGaamOsaiaai+ cacqaHipqEaaa@3B5D@  и практически идентичной с ними зависимости от p T MathType@MTEF@5@5@+= feaahGart1ev3aaatCvAUfeBSjuyZL2yd9gzLbvyNv2CaerbuLwBLn hiov2DGi1BTfMBaeXatLxBI9gBaerbd9wDYLwzYbItLDharqqtubsr 4rNCHbGeaGGj0Jf9crFfpeea0xh9v8qiW7rqqrFfpeea0xe9Lq=Jc9 vqaqpepm0xbba9pwe9Q8fs0=yqaqpepae9pg0FirpepeKkFr0xfr=x fr=xb9adbaqaaeGaciGaaiaabeqaamaabaabaaGcbaGaamiCamaaBa aaleaacaWGubaabeaaaaa@3A01@  на доступных нам областях фитирования НМЭ (так как оба вклада описываются одинаковыми матричными элементами). Можно считать малые октетные вклады ψ MathType@MTEF@5@5@+= feaahGart1ev3aaatCvAUfeBSjuyZL2yd9gzLbvyNv2CaerbuLwBLn hiov2DGi1BTfMBaeXatLxBI9gBaerbd9wDYLwzYbItLDharqqtubsr 4rNCHbGeaGGj0Jf9crFfpeea0xh9v8qiW7rqqrFfpeea0xe9Lq=Jc9 vqaqpepm0xbba9pwe9Q8fs0=yqaqpepae9pg0FirpepeKkFr0xfr=x fr=xb9adbaqaaeGaciGaaiaabeqaamaabaabaaGcbaGafqiYdKNbau aaaaa@39E1@  эффективно включенными в прямое рождение соответствующих состояний J/ψ MathType@MTEF@5@5@+= feaahGart1ev3aaatCvAUfeBSjuyZL2yd9gzLbvyNv2CaerbuLwBLn hiov2DGi1BTfMBaeXatLxBI9gBaerbd9wDYLwzYbItLDharqqtubsr 4rNCHbGeaGGj0Jf9crFfpeea0xh9v8qiW7rqqrFfpeea0xe9Lq=Jc9 vqaqpepm0xbba9pwe9Q8fs0=yqaqpepae9pg0FirpepeKkFr0xfr=x fr=xb9adbaqaaeGaciGaaiaabeqaamaabaabaaGcbaGaamOsaiaai+ cacqaHipqEaaa@3B5D@ .

В качестве масштабов факторизации μ F MathType@MTEF@5@5@+= feaahGart1ev3aaatCvAUfeBSjuyZL2yd9gzLbvyNv2CaerbuLwBLn hiov2DGi1BTfMBaeXatLxBI9gBaerbd9wDYLwzYbItLDharqqtubsr 4rNCHbGeaGGj0Jf9crFfpeea0xh9v8qiW7rqqrFfpeea0xe9Lq=Jc9 vqaqpepm0xbba9pwe9Q8fs0=yqaqpepae9pg0FirpepeKkFr0xfr=x fr=xb9adbaqaaeGaciGaaiaabeqaamaabaabaaGcbaGaeqiVd02aaS baaSqaaiaadAeaaeqaaaaa@3AB4@  и перенормировки μ R MathType@MTEF@5@5@+= feaahGart1ev3aaatCvAUfeBSjuyZL2yd9gzLbvyNv2CaerbuLwBLn hiov2DGi1BTfMBaeXatLxBI9gBaerbd9wDYLwzYbItLDharqqtubsr 4rNCHbGeaGGj0Jf9crFfpeea0xh9v8qiW7rqqrFfpeea0xe9Lq=Jc9 vqaqpepm0xbba9pwe9Q8fs0=yqaqpepae9pg0FirpepeKkFr0xfr=x fr=xb9adbaqaaeGaciGaaiaabeqaamaabaabaaGcbaGaeqiVd02aaS baaSqaaiaadkfaaeqaaaaa@3AC0@  использовалась поперечная масса чармониев M T = M 2 + p T 2 MathType@MTEF@5@5@+= feaahGart1ev3aaatCvAUfeBSjuyZL2yd9gzLbvyNv2CaerbuLwBLn hiov2DGi1BTfMBaeXatLxBI9gBaerbd9wDYLwzYbItLDharqqtubsr 4rNCHbGeaGGj0Jf9crFfpeea0xh9v8qiW7rqqrFfpeea0xe9Lq=Jc9 vqaqpepm0xbba9pwe9Q8fs0=yqaqpepae9pg0FirpepeKkFr0xfr=x fr=xb9adbaqaaeGaciGaaiaabeqaamaabaabaaGcbaGaamytamaaBa aaleaacaWGubaabeaakiaai2dadaGcaaqaaiaad2eadaahaaWcbeqa aiaaikdaaaGccqGHRaWkcaWGWbWaa0baaSqaaiaadsfaaeaacaaIYa aaaaqabaaaaa@401D@  в коллинеарной модели и масса чармониев M MathType@MTEF@5@5@+= feaahGart1ev3aaatCvAUfeBSjuyZL2yd9gzLbvyNv2CaerbuLwBLn hiov2DGi1BTfMBaeXatLxBI9gBaerbd9wDYLwzYbItLDharqqtubsr 4rNCHbGeaGGj0Jf9crFfpeea0xh9v8qiW7rqqrFfpeea0xe9Lq=Jc9 vqaqpepm0xbba9pwe9Q8fs0=yqaqpepae9pg0FirpepeKkFr0xfr=x fr=xb9adbaqaaeGaciGaaiaabeqaamaabaabaaGcbaGaamytaaaa@38D9@  в подходе ПМГ. Для корректного расчета распадов чармониев C'C+X MathType@MTEF@5@5@+= feaahGart1ev3aaatCvAUfeBSjuyZL2yd9gzLbvyNv2CaerbuLwBLn hiov2DGi1BTfMBaeXatLxBI9gBaerbd9wDYLwzYbItLDharqqtubsr 4rNCHbGeaGGj0Jf9crFfpeea0xh9v8qiW7rqqrFfpeea0xe9Lq=Jc9 vqaqpepm0xbba9pwe9Q8fs0=yqaqpepae9pg0FirpepeKkFr0xfr=x fr=xb9adbaqaaeGaciGaaiaabeqaamaabaabaaGcbaWefv3ySLgznf gDOfdaryqr1ngBPrginfgDObYtUvgaiuaacqWFce=qcaaINaGaeyOK H4Qae8NaXpKaey4kaSIaamiwaaaa@4964@  учитывался эффект отдачи в виде сдвига по поперечному импульсу p TC ( M C / M C' ) p TC' MathType@MTEF@5@5@+= feaahGart1ev3aaatCvAUfeBSjuyZL2yd9gzLbvyNv2CaerbuLwBLn hiov2DGi1BTfMBaeXatLxBI9gBaerbd9wDYLwzYbItLDharqqtubsr 4rNCHbGeaGGj0Jf9crFfpeea0xh9v8qiW7rqqrFfpeea0xe9Lq=Jc9 vqaqpepm0xbba9pwe9Q8fs0=yqaqpepae9pg0FirpepeKkFr0xfr=x fr=xb9adbaqaaeGaciGaaiaabeqaamaabaabaaGcbaGaamiCamaaBa aaleaacaWGubWefv3ySLgznfgDOfdaryqr1ngBPrginfgDObYtUvga iuaacqWFce=qaeqaaOGaeyisISRaaGikaiaad2eadaWgaaWcbaGae8 NaXpeabeaakiaai+cacaWGnbWaaSbaaSqaaiab=jq8djaaiEcaaeqa aOGaaGykaiaadchadaWgaaWcbaGaamivaiab=jq8djaaiEcaaeqaaa aa@53BC@ .

Фитирование октетных НМЭ проводилось на наборе экспериментальных данных коллабораций PHENIX [26, 27] и STAR [28, 29] по рождению J/ψ MathType@MTEF@5@5@+= feaahGart1ev3aaatCvAUfeBSjuyZL2yd9gzLbvyNv2CaerbuLwBLn hiov2DGi1BTfMBaeXatLxBI9gBaerbd9wDYLwzYbItLDharqqtubsr 4rNCHbGeaGGj0Jf9crFfpeea0xh9v8qiW7rqqrFfpeea0xe9Lq=Jc9 vqaqpepm0xbba9pwe9Q8fs0=yqaqpepae9pg0FirpepeKkFr0xfr=x fr=xb9adbaqaaeGaciGaaiaabeqaamaabaabaaGcbaGaamOsaiaai+ cacqaHipqEaaa@3B5D@  в протон-протонных столкновениях при s =200 MathType@MTEF@5@5@+= feaahGart1ev3aaatCvAUfeBSjuyZL2yd9gzLbvyNv2CaerbuLwBLn hiov2DGi1BTfMBaeXatLxBI9gBaerbd9wDYLwzYbItLDharqqtubsr 4rNCHbGeaGGj0Jf9crFfpeea0xh9v8qiW7rqqrFfpeea0xe9Lq=Jc9 vqaqpepm0xbba9pwe9Q8fs0=yqaqpepae9pg0FirpepeKkFr0xfr=x fr=xb9adbaqaaeGaciGaaiaabeqaamaabaabaaGcbaWaaOaaaeaaca WGZbaaleqaaOGaaGypaiaaikdacaaIWaGaaGimaaaa@3C1B@  ГэВ в различных быстротных диапазонах, причем совместно в областях применимости ПМГ ( p T <1 MathType@MTEF@5@5@+= feaahGart1ev3aaatCvAUfeBSjuyZL2yd9gzLbvyNv2CaerbuLwBLn hiov2DGi1BTfMBaeXatLxBI9gBaerbd9wDYLwzYbItLDharqqtubsr 4rNCHbGeaGGj0Jf9crFfpeea0xh9v8qiW7rqqrFfpeea0xe9Lq=Jc9 vqaqpepm0xbba9pwe9Q8fs0=yqaqpepae9pg0FirpepeKkFr0xfr=x fr=xb9adbaqaaeGaciGaaiaabeqaamaabaabaaGcbaGaamiCamaaBa aaleaacaWGubaabeaakiaaiYdacaaIXaaaaa@3B8C@  ГэВ) и КПМ ( p T >5 MathType@MTEF@5@5@+= feaahGart1ev3aaatCvAUfeBSjuyZL2yd9gzLbvyNv2CaerbuLwBLn hiov2DGi1BTfMBaeXatLxBI9gBaerbd9wDYLwzYbItLDharqqtubsr 4rNCHbGeaGGj0Jf9crFfpeea0xh9v8qiW7rqqrFfpeea0xe9Lq=Jc9 vqaqpepm0xbba9pwe9Q8fs0=yqaqpepae9pg0FirpepeKkFr0xfr=x fr=xb9adbaqaaeGaciGaaiaabeqaamaabaabaaGcbaGaamiCamaaBa aaleaacaWGubaabeaakiaai6dacaaI1aaaaa@3B92@  ГэВ) в предположении независимости НМЭ от выбора модели факторизации. Одинаковая зависимость от p T MathType@MTEF@5@5@+= feaahGart1ev3aaatCvAUfeBSjuyZL2yd9gzLbvyNv2CaerbuLwBLn hiov2DGi1BTfMBaeXatLxBI9gBaerbd9wDYLwzYbItLDharqqtubsr 4rNCHbGeaGGj0Jf9crFfpeea0xh9v8qiW7rqqrFfpeea0xe9Lq=Jc9 vqaqpepm0xbba9pwe9Q8fs0=yqaqpepae9pg0FirpepeKkFr0xfr=x fr=xb9adbaqaaeGaciGaaiaabeqaamaabaabaaGcbaGaamiCamaaBa aaleaacaWGubaabeaaaaa@3A01@  вкладов 1 S 0 (8) MathType@MTEF@5@5@+= feaahGart1ev3aaatCvAUfeBSjuyZL2yd9gzLbvyNv2CaerbuLwBLn hiov2DGi1BTfMBaeXatLxBI9gBaerbd9wDYLwzYbItLDharqqtubsr 4rNCHbGeaGGj0Jf9crFfpeea0xh9v8qiW7rqqrFfpeea0xe9Lq=Jc9 vqaqpepm0xbba9pwe9Q8fs0=yqaqpepae9pg0FirpepeKkFr0xfr=x fr=xb9adbaqaaeGaciGaaiaabeqaamaabaabaaGcbaWaaWbaaSqabe aacaaIXaaaaOGaam4uamaaDaaaleaacaaIWaaabaGaaGikaiaaiIda caaIPaaaaaaa@3CDF@  и 3 P J (8) MathType@MTEF@5@5@+= feaahGart1ev3aaatCvAUfeBSjuyZL2yd9gzLbvyNv2CaerbuLwBLn hiov2DGi1BTfMBaeXatLxBI9gBaerbd9wDYLwzYbItLDharqqtubsr 4rNCHbGeaGGj0Jf9crFfpeea0xh9v8qiW7rqqrFfpeea0xe9Lq=Jc9 vqaqpepm0xbba9pwe9Q8fs0=yqaqpepae9pg0FirpepeKkFr0xfr=x fr=xb9adbaqaaeGaciGaaiaabeqaamaabaabaaGcbaWaaWbaaSqabe aacaaIZaaaaOGaamiuamaaDaaaleaacaWGkbaabaGaaGikaiaaiIda caaIPaaaaaaa@3CF3@  в прямом рождении J/ψ MathType@MTEF@5@5@+= feaahGart1ev3aaatCvAUfeBSjuyZL2yd9gzLbvyNv2CaerbuLwBLn hiov2DGi1BTfMBaeXatLxBI9gBaerbd9wDYLwzYbItLDharqqtubsr 4rNCHbGeaGGj0Jf9crFfpeea0xh9v8qiW7rqqrFfpeea0xe9Lq=Jc9 vqaqpepm0xbba9pwe9Q8fs0=yqaqpepae9pg0FirpepeKkFr0xfr=x fr=xb9adbaqaaeGaciGaaiaabeqaamaabaabaaGcbaGaamOsaiaai+ cacqaHipqEaaa@3B5D@  не позволяет раздельно извлекать соответствующие им НМЭ в рамках одной модели факторизации, поэтому их значения находят обычно только в виде линейной комбинации, однако совместный фит в КПМ и ПМГ (куда НМЭ входят в двух разных линейных комбинациях) дает возможность найти оба значения O J/ψ [ 1 S 0 (8) ] MathType@MTEF@5@5@+= feaahGart1ev3aaatCvAUfeBSjuyZL2yd9gzLbvyNv2CaerbuLwBLn hiov2DGi1BTfMBaeXatLxBI9gBaerbd9wDYLwzYbItLDharqqtubsr 4rNCHbGeaGGj0Jf9crFfpeea0xh9v8qiW7rqqrFfpeea0xe9Lq=Jc9 vqaqpepm0xbba9pwe9Q8fs0=yqaqpepae9pg0FirpepeKkFr0xfr=x fr=xb9adbaqaaeGaciGaaiaabeqaamaabaabaaGcbaGaeyykJe+efv 3ySLgznfgDOfdaryqr1ngBPrginfgDObYtUvgaiuaacqWFoe=tdaah aaWcbeqaaiaadQeacaaIVaGaeqiYdKhaaOGaaG4wamaaCaaaleqaba GaaGymaaaakiaadofadaqhaaWcbaGaaGimaaqaaiaaiIcacaaI4aGa aGykaaaakiaai2facqGHQms8aaa@5122@  и O J/ψ [ 3 P 0 (8) ] MathType@MTEF@5@5@+= feaahGart1ev3aaatCvAUfeBSjuyZL2yd9gzLbvyNv2CaerbuLwBLn hiov2DGi1BTfMBaeXatLxBI9gBaerbd9wDYLwzYbItLDharqqtubsr 4rNCHbGeaGGj0Jf9crFfpeea0xh9v8qiW7rqqrFfpeea0xe9Lq=Jc9 vqaqpepm0xbba9pwe9Q8fs0=yqaqpepae9pg0FirpepeKkFr0xfr=x fr=xb9adbaqaaeGaciGaaiaabeqaamaabaabaaGcbaGaeyykJe+efv 3ySLgznfgDOfdaryqr1ngBPrginfgDObYtUvgaiuaacqWFoe=tdaah aaWcbeqaaiaadQeacaaIVaGaeqiYdKhaaOGaaG4wamaaCaaaleqaba GaaG4maaaakiaadcfadaqhaaWcbaGaaGimaaqaaiaaiIcacaaI4aGa aGykaaaakiaai2facqGHQms8aaa@5121@ . Кроме того, использовалась связь между НМЭ, обусловленная спиновой симметрией тяжелых кварков в лидирующем по υ MathType@MTEF@5@5@+= feaahGart1ev3aaatCvAUfeBSjuyZL2yd9gzLbvyNv2CaerbuLwBLn hiov2DGi1BTfMBaeXatLxBI9gBaerbd9wDYLwzYbItLDharqqtubsr 4rNCHbGeaGGj0Jf9crFfpeea0xh9v8qiW7rqqrFfpeea0xe9Lq=Jc9 vqaqpepm0xbba9pwe9Q8fs0=yqaqpepae9pg0FirpepeKkFr0xfr=x fr=xb9adbaqaaeGaciGaaiaabeqaamaabaabaaGcbaGaeqyXduhaaa@39CE@  порядке НРКХД:

                                    O χ cJ [ 3 P J (1) ]=(2J+1) O χ c0 [ 3 P 0 (1) ], O χ cJ [ 3 S 1 (8) ]=(2J+1) O χ c0 [ 3 S 1 (8) ], MathType@MTEF@5@5@+= feaahGart1ev3aaatCvAUfeBSjuyZL2yd9gzLbvyNv2CaerbuLwBLn hiov2DGi1BTfMBaeXatLxBI9gBaerbd9wDYLwzYbItLDharqqtubsr 4rNCHbGeaGGj0Jf9crFfpeea0xh9v8qiW7rqqrFfpeea0xe9Lq=Jc9 vqaqpepm0xbba9pwe9Q8fs0=yqaqpepae9pg0FirpepeKkFr0xfr=x fr=xb9adbaqaaeGaciGaaiaabeqaamaabaabaaGcbaGaeyykJe+efv 3ySLgznfgDOfdaryqr1ngBPrginfgDObYtUvgaiuaacqWFoe=tdaah aaWcbeqaaiabeE8aJnaaBaaabaGaam4yaiaadQeaaeqaaaaakiaaiU fadaahaaWcbeqaaiaaiodaaaGccaWGqbWaa0baaSqaaiaadQeaaeaa caaIOaGaaGymaiaaiMcaaaGccaaIDbGaeyOkJeVaaGypaiaaiIcaca aIYaGaamOsaiabgUcaRiaaigdacaaIPaGaeyykJeUae8NdX=0aaWba aSqabeaacqaHhpWydaWgaaqaaiaadogacaaIWaaabeaaaaGccaaIBb WaaWbaaSqabeaacaaIZaaaaOGaamiuamaaDaaaleaacaaIWaaabaGa aGikaiaaigdacaaIPaaaaOGaaGyxaiabgQYiXlaaiYcacaaIGaGaaG iiaiaaiccacaaIGaGaaGiiaiaaiccacaaIGaGaaGiiaiaaiccacqGH Pms4cqWFoe=tdaahaaWcbeqaaiabeE8aJnaaBaaabaGaam4yaiaadQ eaaeqaaaaakiaaiUfadaahaaWcbeqaaiaaiodaaaGccaWGtbWaa0ba aSqaaiaaigdaaeaacaaIOaGaaGioaiaaiMcaaaGccaaIDbGaeyOkJe VaaGypaiaaiIcacaaIYaGaamOsaiabgUcaRiaaigdacaaIPaGaeyyk JeUae8NdX=0aaWbaaSqabeaacqaHhpWydaWgaaqaaiaadogacaaIWa aabeaaaaGccaaIBbWaaWbaaSqabeaacaaIZaaaaOGaam4uamaaDaaa leaacaaIXaaabaGaaGikaiaaiIdacaaIPaaaaOGaaGyxaiabgQYiXl aaiYcaaaa@92A8@

                                                      O J/ψ [ 3 P J (8) ]=(2J+1) O J/ψ [ 3 P 0 (8) ]. MathType@MTEF@5@5@+= feaahGart1ev3aaatCvAUfeBSjuyZL2yd9gzLbvyNv2CaerbuLwBLn hiov2DGi1BTfMBaeXatLxBI9gBaerbd9wDYLwzYbItLDharqqtubsr 4rNCHbGeaGGj0Jf9crFfpeea0xh9v8qiW7rqqrFfpeea0xe9Lq=Jc9 vqaqpepm0xbba9pwe9Q8fs0=yqaqpepae9pg0FirpepeKkFr0xfr=x fr=xb9adbaqaaeGaciGaaiaabeqaamaabaabaaGcbaGaeyykJe+efv 3ySLgznfgDOfdaryqr1ngBPrginfgDObYtUvgaiuaacqWFoe=tdaah aaWcbeqaaiaadQeacaaIVaGaeqiYdKhaaOGaaG4wamaaCaaaleqaba GaaG4maaaakiaadcfadaqhaaWcbaGaamOsaaqaaiaaiIcacaaI4aGa aGykaaaakiaai2facqGHQms8caaI9aGaaGikaiaaikdacaWGkbGaey 4kaSIaaGymaiaaiMcacqGHPms4cqWFoe=tdaahaaWcbeqaaiaadQea caaIVaGaeqiYdKhaaOGaaG4wamaaCaaaleqabaGaaG4maaaakiaadc fadaqhaaWcbaGaaGimaaqaaiaaiIcacaaI4aGaaGykaaaakiaai2fa cqGHQms8caaIUaaaaa@66D2@

Значения октетных НМЭ, полученные при фитировании экспериментальных данных, расположены в таблице, приведенная погрешность соответствует 1 среднеквадратичному отклонению. Результаты расчетов сечений для кинематики экспериментов PHENIX [26] и STAR [28] помещены на рис. 5.1, 5.2, 5.3 вместе с соответствующими им кривыми спектров (теоретические расчеты для экспериментальных данных 2007 года [27] здесь не приведены, так как они полностью совпадают с представленными на рис. 5.1 и 5.2). Светло-зеленым цветом на графиках показаны неопределенности при <<сшивании>> факторизаций, вычисленные с помощью выражения (3).

 

Таблица

 Результаты фитирования НМЭ при p T <1 MathType@MTEF@5@5@+= feaahGart1ev3aaatCvAUfeBSjuyZL2yd9gzLbvyNv2CaerbuLwBLn hiov2DGi1BTfMBaeXatLxBI9gBaerbd9wDYLwzYbItLDharqqtubsr 4rNCHbGeaGGj0Jf9crFfpeea0xh9v8qiW7rqqrFfpeea0xe9Lq=Jc9 vqaqpepm0xbba9pwe9Q8fs0=yqaqpepae9pg0FirpepeKkFr0xfr=x fr=xb9adbaqaaeGaciGaaiaabeqaamaabaabaaGcbaGaaCiCamaaBa aaleaacaWHubaabeaakiaahYdacaWHXaaaaa@3B92@  ГэВ (ПМГ) и p T >5 MathType@MTEF@5@5@+= feaahGart1ev3aaatCvAUfeBSjuyZL2yd9gzLbvyNv2CaerbuLwBLn hiov2DGi1BTfMBaeXatLxBI9gBaerbd9wDYLwzYbItLDharqqtubsr 4rNCHbGeaGGj0Jf9crFfpeea0xh9v8qiW7rqqrFfpeea0xe9Lq=Jc9 vqaqpepm0xbba9pwe9Q8fs0=yqaqpepae9pg0FirpepeKkFr0xfr=x fr=xb9adbaqaaeGaciGaaiaabeqaamaabaabaaGcbaGaaCiCamaaBa aaleaacaWHubaabeaakiaah6dacaWH1aaaaa@3B98@  ГэВ (КПМ)

Table

 Result for LDMEs fitting within domains of p T <1 MathType@MTEF@5@5@+= feaahGart1ev3aaatCvAUfeBSjuyZL2yd9gzLbvyNv2CaerbuLwBLn hiov2DGi1BTfMBaeXatLxBI9gBaerbd9wDYLwzYbItLDharqqtubsr 4rNCHbGeaGGj0Jf9crFfpeea0xh9v8qiW7rqqrFfpeea0xe9Lq=Jc9 vqaqpepm0xbba9pwe9Q8fs0=yqaqpepae9pg0FirpepeKkFr0xfr=x fr=xb9adbaqaaeGaciGaaiaabeqaamaabaabaaGcbaGaaCiCamaaBa aaleaacaWHubaabeaakiaahYdacaWHXaaaaa@3B92@  GeV (SGR) and p T >5 MathType@MTEF@5@5@+= feaahGart1ev3aaatCvAUfeBSjuyZL2yd9gzLbvyNv2CaerbuLwBLn hiov2DGi1BTfMBaeXatLxBI9gBaerbd9wDYLwzYbItLDharqqtubsr 4rNCHbGeaGGj0Jf9crFfpeea0xh9v8qiW7rqqrFfpeea0xe9Lq=Jc9 vqaqpepm0xbba9pwe9Q8fs0=yqaqpepae9pg0FirpepeKkFr0xfr=x fr=xb9adbaqaaeGaciGaaiaabeqaamaabaabaaGcbaGaaCiCamaaBa aaleaacaWHubaabeaakiaah6dacaWH1aaaaa@3B98@  GeV (CPM) 

  O J/ψ [ 1 S 0 (8) ] MathType@MTEF@5@5@+= feaahGart1ev3aaatCvAUfeBSjuyZL2yd9gzLbvyNv2CaerbuLwBLn hiov2DGi1BTfMBaeXatLxBI9gBaerbd9wDYLwzYbItLDharqqtubsr 4rNCHbGeaGGj0Jf9crFfpeea0xh9v8qiW7rqqrFfpeea0xe9Lq=Jc9 vqaqpepm0xbba9pwe9Q8fs0=yqaqpepae9pg0FirpepeKkFr0xfr=x fr=xb9adbaqaaeGaciGaaiaabeqaamaabaabaaGcbaGaeyykJe+efv 3ySLgznfgDOfdaryqr1ngBPrginfgDObYtUvgaiuaacqWFoe=tdaah aaWcbeqaaiaadQeacaaIVaGaeqiYdKhaaOGaaG4wamaaCaaaleqaba GaaGymaaaakiaadofadaqhaaWcbaGaaGimaaqaaiaaiIcacaaI4aGa aGykaaaakiaai2facqGHQms8aaa@5122@ , ГэВ 3 MathType@MTEF@5@5@+= feaahGart1ev3aaatCvAUfeBSjuyZL2yd9gzLbvyNv2CaerbuLwBLn hiov2DGi1BTfMBaeXatLxBI9gBaerbd9wDYLwzYbItLDharqqtubsr 4rNCHbGeaGGj0Jf9crFfpeea0xh9v8qiW7rqqrFfpeea0xe9Lq=Jc9 vqaqpepm0xbba9pwe9Q8fs0=yqaqpepae9pg0FirpepeKkFr0xfr=x fr=xb9adbaqaaeGaciGaaiaabeqaamaabaabaaGcbaWaaWbaaSqabe aacaaIZaaaaaaa@38F1@  

  (9.66±0.52) 10 2 MathType@MTEF@5@5@+= feaahGart1ev3aaatCvAUfeBSjuyZL2yd9gzLbvyNv2CaerbuLwBLn hiov2DGi1BTfMBaeXatLxBI9gBaerbd9wDYLwzYbItLDharqqtubsr 4rNCHbGeaGGj0Jf9crFfpeea0xh9v8qiW7rqqrFfpeea0xe9Lq=Jc9 vqaqpepm0xbba9pwe9Q8fs0=yqaqpepae9pg0FirpepeKkFr0xfr=x fr=xb9adbaqaaeGaciGaaiaabeqaamaabaabaaGcbaGaaGikaiaaiM dacaaIUaGaaGOnaiaaiAdacqGHXcqScaaIWaGaaGOlaiaaiwdacaaI YaGaaGykaiabgwSixlaaigdacaaIWaWaaWbaaSqabeaacqGHsislca aIYaaaaaaa@46D7@  

  O J/ψ [ 3 P 0 (8) ] MathType@MTEF@5@5@+= feaahGart1ev3aaatCvAUfeBSjuyZL2yd9gzLbvyNv2CaerbuLwBLn hiov2DGi1BTfMBaeXatLxBI9gBaerbd9wDYLwzYbItLDharqqtubsr 4rNCHbGeaGGj0Jf9crFfpeea0xh9v8qiW7rqqrFfpeea0xe9Lq=Jc9 vqaqpepm0xbba9pwe9Q8fs0=yqaqpepae9pg0FirpepeKkFr0xfr=x fr=xb9adbaqaaeGaciGaaiaabeqaamaabaabaaGcbaGaeyykJe+efv 3ySLgznfgDOfdaryqr1ngBPrginfgDObYtUvgaiuaacqWFoe=tdaah aaWcbeqaaiaadQeacaaIVaGaeqiYdKhaaOGaaG4wamaaCaaaleqaba GaaG4maaaakiaadcfadaqhaaWcbaGaaGimaaqaaiaaiIcacaaI4aGa aGykaaaakiaai2facqGHQms8aaa@5121@ , ГэВ 5 MathType@MTEF@5@5@+= feaahGart1ev3aaatCvAUfeBSjuyZL2yd9gzLbvyNv2CaerbuLwBLn hiov2DGi1BTfMBaeXatLxBI9gBaerbd9wDYLwzYbItLDharqqtubsr 4rNCHbGeaGGj0Jf9crFfpeea0xh9v8qiW7rqqrFfpeea0xe9Lq=Jc9 vqaqpepm0xbba9pwe9Q8fs0=yqaqpepae9pg0FirpepeKkFr0xfr=x fr=xb9adbaqaaeGaciGaaiaabeqaamaabaabaaGcbaWaaWbaaSqabe aacaaI1aaaaaaa@38F3@  

  (1.29±0.19) 10 2 MathType@MTEF@5@5@+= feaahGart1ev3aaatCvAUfeBSjuyZL2yd9gzLbvyNv2CaerbuLwBLn hiov2DGi1BTfMBaeXatLxBI9gBaerbd9wDYLwzYbItLDharqqtubsr 4rNCHbGeaGGj0Jf9crFfpeea0xh9v8qiW7rqqrFfpeea0xe9Lq=Jc9 vqaqpepm0xbba9pwe9Q8fs0=yqaqpepae9pg0FirpepeKkFr0xfr=x fr=xb9adbaqaaeGaciGaaiaabeqaamaabaabaaGcbaGaaGikaiaaig dacaaIUaGaaGOmaiaaiMdacqGHXcqScaaIWaGaaGOlaiaaigdacaaI 5aGaaGykaiabgwSixlaaigdacaaIWaWaaWbaaSqabeaacqGHsislca aIYaaaaaaa@46D1@  

  O J/ψ [ 3 S 1 (8) ] MathType@MTEF@5@5@+= feaahGart1ev3aaatCvAUfeBSjuyZL2yd9gzLbvyNv2CaerbuLwBLn hiov2DGi1BTfMBaeXatLxBI9gBaerbd9wDYLwzYbItLDharqqtubsr 4rNCHbGeaGGj0Jf9crFfpeea0xh9v8qiW7rqqrFfpeea0xe9Lq=Jc9 vqaqpepm0xbba9pwe9Q8fs0=yqaqpepae9pg0FirpepeKkFr0xfr=x fr=xb9adbaqaaeGaciGaaiaabeqaamaabaabaaGcbaGaeyykJe+efv 3ySLgznfgDOfdaryqr1ngBPrginfgDObYtUvgaiuaacqWFoe=tdaah aaWcbeqaaiaadQeacaaIVaGaeqiYdKhaaOGaaG4wamaaCaaaleqaba GaaG4maaaakiaadofadaqhaaWcbaGaaGymaaqaaiaaiIcacaaI4aGa aGykaaaakiaai2facqGHQms8aaa@5125@ , ГэВ 3 MathType@MTEF@5@5@+= feaahGart1ev3aaatCvAUfeBSjuyZL2yd9gzLbvyNv2CaerbuLwBLn hiov2DGi1BTfMBaeXatLxBI9gBaerbd9wDYLwzYbItLDharqqtubsr 4rNCHbGeaGGj0Jf9crFfpeea0xh9v8qiW7rqqrFfpeea0xe9Lq=Jc9 vqaqpepm0xbba9pwe9Q8fs0=yqaqpepae9pg0FirpepeKkFr0xfr=x fr=xb9adbaqaaeGaciGaaiaabeqaamaabaabaaGcbaWaaWbaaSqabe aacaaIZaaaaaaa@38F1@  

  (1.95±1.59) 10 3 MathType@MTEF@5@5@+= feaahGart1ev3aaatCvAUfeBSjuyZL2yd9gzLbvyNv2CaerbuLwBLn hiov2DGi1BTfMBaeXatLxBI9gBaerbd9wDYLwzYbItLDharqqtubsr 4rNCHbGeaGGj0Jf9crFfpeea0xh9v8qiW7rqqrFfpeea0xe9Lq=Jc9 vqaqpepm0xbba9pwe9Q8fs0=yqaqpepae9pg0FirpepeKkFr0xfr=x fr=xb9adbaqaaeGaciGaaiaabeqaamaabaabaaGcbaGaaGikaiaaig dacaaIUaGaaGyoaiaaiwdacqGHXcqScaaIXaGaaGOlaiaaiwdacaaI 5aGaaGykaiabgwSixlaaigdacaaIWaWaaWbaaSqabeaacqGHsislca aIZaaaaaaa@46DA@  

  O χ c0 [ 3 S 1 (8) ] MathType@MTEF@5@5@+= feaahGart1ev3aaatCvAUfeBSjuyZL2yd9gzLbvyNv2CaerbuLwBLn hiov2DGi1BTfMBaeXatLxBI9gBaerbd9wDYLwzYbItLDharqqtubsr 4rNCHbGeaGGj0Jf9crFfpeea0xh9v8qiW7rqqrFfpeea0xe9Lq=Jc9 vqaqpepm0xbba9pwe9Q8fs0=yqaqpepae9pg0FirpepeKkFr0xfr=x fr=xb9adbaqaaeGaciGaaiaabeqaamaabaabaaGcbaGaeyykJe+efv 3ySLgznfgDOfdaryqr1ngBPrginfgDObYtUvgaiuaacqWFoe=tdaah aaWcbeqaaiabeE8aJnaaBaaabaGaam4yaiaaicdaaeqaaaaakiaaiU fadaahaaWcbeqaaiaaiodaaaGccaWGtbWaa0baaSqaaiaaigdaaeaa caaIOaGaaGioaiaaiMcaaaGccaaIDbGaeyOkJepaaa@5149@ , ГэВ 3 MathType@MTEF@5@5@+= feaahGart1ev3aaatCvAUfeBSjuyZL2yd9gzLbvyNv2CaerbuLwBLn hiov2DGi1BTfMBaeXatLxBI9gBaerbd9wDYLwzYbItLDharqqtubsr 4rNCHbGeaGGj0Jf9crFfpeea0xh9v8qiW7rqqrFfpeea0xe9Lq=Jc9 vqaqpepm0xbba9pwe9Q8fs0=yqaqpepae9pg0FirpepeKkFr0xfr=x fr=xb9adbaqaaeGaciGaaiaabeqaamaabaabaaGcbaWaaWbaaSqabe aacaaIZaaaaaaa@38F1@  

  (8.55±2.91) 10 3 MathType@MTEF@5@5@+= feaahGart1ev3aaatCvAUfeBSjuyZL2yd9gzLbvyNv2CaerbuLwBLn hiov2DGi1BTfMBaeXatLxBI9gBaerbd9wDYLwzYbItLDharqqtubsr 4rNCHbGeaGGj0Jf9crFfpeea0xh9v8qiW7rqqrFfpeea0xe9Lq=Jc9 vqaqpepm0xbba9pwe9Q8fs0=yqaqpepae9pg0FirpepeKkFr0xfr=x fr=xb9adbaqaaeGaciGaaiaabeqaamaabaabaaGcbaGaaGikaiaaiI dacaaIUaGaaGynaiaaiwdacqGHXcqScaaIYaGaaGOlaiaaiMdacaaI XaGaaGykaiabgwSixlaaigdacaaIWaWaaWbaaSqabeaacqGHsislca aIZaaaaaaa@46DA@  

  χ 2 /n.d.f. MathType@MTEF@5@5@+= feaahGart1ev3aaatCvAUfeBSjuyZL2yd9gzLbvyNv2CaerbuLwBLn hiov2DGi1BTfMBaeXatLxBI9gBaerbd9wDYLwzYbItLDharqqtubsr 4rNCHbGeaGGj0Jf9crFfpeea0xh9v8qiW7rqqrFfpeea0xe9Lq=Jc9 vqaqpepm0xbba9pwe9Q8fs0=yqaqpepae9pg0FirpepeKkFr0xfr=x fr=xb9adbaqaaeGaciGaaiaabeqaamaabaabaaGcbaGaeq4Xdm2aaW baaSqabeaacaaIYaaaaOGaaG4laiaad6gacaaIUaGaamizaiaai6ca caWGMbGaaGOlaaaa@4059@  

  0.76 MathType@MTEF@5@5@+= feaahGart1ev3aaatCvAUfeBSjuyZL2yd9gzLbvyNv2CaerbuLwBLn hiov2DGi1BTfMBaeXatLxBI9gBaerbd9wDYLwzYbItLDharqqtubsr 4rNCHbGeaGGj0Jf9crFfpeea0xh9v8qiW7rqqrFfpeea0xe9Lq=Jc9 vqaqpepm0xbba9pwe9Q8fs0=yqaqpepae9pg0FirpepeKkFr0xfr=x fr=xb9adbaqaaeGaciGaaiaabeqaamaabaabaaGcbaGaaGimaiaai6 cacaaI3aGaaGOnaaaa@3AFA@  

   

Рис. 5.1. Слева — данные PHENIX [26] и зависимость сечения рождения J/ψ от поперечного импульса: коллинеарный вклад (оранжевая штриховая линия, см. онлайн-версию статьи журнала здесь и далее), неколлинеарный (синяя пунктирная), от распадов χcJ (коричневая штрихпунктирная), кварковых подпроцессов (черная штрихпунктирная с двумя точками), «сшитое» сечение J/ψ (зеленая сплошная). Справа — спектр рождения J/ψ

Fig. 5.1. On the left — differential cross section of prompt J/ψ production versus transverse momentum pT: the collinear (orange dashed line, see the online version of the article here and further), noncollinear (blue
dotted), χcJ decay (brown dash-dotted), quark subprocesses (black dash-dot-dotted) contributions, the matched cross-section (green solid). Experimental data is taken from the PHENIX collaboration paper [26]. On the right — spectrum of J/ψ production

 

Рис. 5.2. Слева — данные PHENIX [27] и зависимость сечения рождения J/ψ от поперечного импульса: коллинеарный вклад (оранжевая штриховая линия), неколлинеарный (синяя пунктирная), от распадов χcJ (коричневая штрихпунктирная), кварковых подпроцессов (черная штрихпунктирная с двумя точками), «сшитое» сечение J/ψ (зеленая сплошная). Справа — спектр рождения J/ψ

Fig. 5.2. On the left — differential cross section of prompt J/ψ production versus transverse momentum pT: the collinear (orange dashed line), noncollinear (blue dotted), χcJ decay (brown dash-dotted), quark
subprocesses (black dash-dot-dotted) contributions, the matched cross-section (green solid). Experimental data is taken from the PHENIX collaboration paper [27]. On the right — spectrum of J/ψ production

 

Рис. 5.3. Слева — данные STAR [28] и зависимость сечения рождения J/ψ от поперечного импульса: коллинеарный вклад (оранжевая штриховая линия), неколлинеарный (синяя пунктирная), от распадов χcJ (коричневая штрихпунктирная), кварковых подпроцессов (черная штрихпунктирная с двумя точками), «сшитое» сечение J/ψ (зеленая сплошная). Справа — спектр рождения J/ψ

Fig. 5.3. On the left — differential cross section of prompt J/ψ production versus transverse momentum pT: the collinear (orange dashed line), noncollinear (blue dotted), χcJ decay (brown dash-dotted), quark
subprocesses (black dash-dot-dotted) contributions, the matched cross-section (green solid). Experimental data is taken from the STAR collaboration paper [28]. On the right — spectrum of J/ψ production

 

Дополнительную неопределенность в предсказания сечений вносят выбор жесткого масштаба и погрешность НМЭ. Однако при вычислении спектров эти неопределенности практически исчезают. На графиках изображены, кроме основных теоретически предсказанных спектров, также кривые, соответствующие минимальной неопределенности при варьировании разных масштабов в 2 раза в большую и меньшую сторону. Погрешность НМЭ влияет на форму кривой спектра крайне слабо, поэтому на графиках ее невозможно увидеть.

 

Рис. 5.4. Слева — сечение рождения J/ψ в кинематике SPD NICA: коллинеарный вклад (оранжевая штриховая линия), неколлинеарный (синяя пунктирная), от распадов χcJ (коричневая штрихпунктирная), от кварковых подпроцессов (черная штрихпунктирная с двумя точками), «сшитое» сечение J/ψ (зеленая сплошная), неопределенность от варьирования жесткого масштаба (серая область). Справа — спектр рождения J/ψ

Fig. 5.4. On the left — prediction for differential cross section of prompt J/ψ production versus transverse momentum pT at SPD NICA kinematics: the collinear (yellow dashed line), noncollinear (blue dotted), χcJ
decay (brown dash-dotted), quark subprocesses (black dash-dot-dotted) contributions, the matched cross-section (green solid), hard scale variation uncertainty (gray shaded area). On the right — spectrum
of J/ψ production

 

Наши расчеты показывают, что вклад подпроцессов с кварками составляет для центральной быстротной области при s =200 MathType@MTEF@5@5@+= feaahGart1ev3aaatCvAUfeBSjuyZL2yd9gzLbvyNv2CaerbuLwBLn hiov2DGi1BTfMBaeXatLxBI9gBaerbd9wDYLwzYbItLDharqqtubsr 4rNCHbGeaGGj0Jf9crFfpeea0xh9v8qiW7rqqrFfpeea0xe9Lq=Jc9 vqaqpepm0xbba9pwe9Q8fs0=yqaqpepae9pg0FirpepeKkFr0xfr=x fr=xb9adbaqaaeGaciGaaiaabeqaamaabaabaaGcbaWaaOaaaeaaca WGZbaaleqaaOGaaGypaiaaikdacaaIWaGaaGimaaaa@3C1B@  ГэВ около 3 % MathType@MTEF@5@5@+= feaahGart1ev3aaatCvAUfeBSjuyZL2yd9gzLbvyNv2CaerbuLwBLn hiov2DGi1BTfMBaeXatLxBI9gBaerbd9wDYLwzYbItLDharqqtubsr 4rNCHbGeaGGj0Jf9crFfpeea0xh9v8qiW7rqqrFfpeea0xe9Lq=Jc9 vqaqpepm0xbba9pwe9Q8fs0=yqaqpepae9pg0FirpepeKkFr0xfr=x fr=xb9adbaqaaeGaciGaaiaabeqaamaabaabaaGcbaGaaG4maiaaic cacaaILaaaaa@3A1D@ , а вклад от распадов χ cJ J/ψ+γ MathType@MTEF@5@5@+= feaahGart1ev3aaatCvAUfeBSjuyZL2yd9gzLbvyNv2CaerbuLwBLn hiov2DGi1BTfMBaeXatLxBI9gBaerbd9wDYLwzYbItLDharqqtubsr 4rNCHbGeaGGj0Jf9crFfpeea0xh9v8qiW7rqqrFfpeea0xe9Lq=Jc9 vqaqpepm0xbba9pwe9Q8fs0=yqaqpepae9pg0FirpepeKkFr0xfr=x fr=xb9adbaqaaeGaciGaaiaabeqaamaabaabaaGcbaGaeq4Xdm2aaS baaSqaaiaadogacaWGkbaabeaakiabgkziUkaadQeacaaIVaGaeqiY dKNaey4kaSIaeq4SdCgaaa@4377@  ограничен 7 % MathType@MTEF@5@5@+= feaahGart1ev3aaatCvAUfeBSjuyZL2yd9gzLbvyNv2CaerbuLwBLn hiov2DGi1BTfMBaeXatLxBI9gBaerbd9wDYLwzYbItLDharqqtubsr 4rNCHbGeaGGj0Jf9crFfpeea0xh9v8qiW7rqqrFfpeea0xe9Lq=Jc9 vqaqpepm0xbba9pwe9Q8fs0=yqaqpepae9pg0FirpepeKkFr0xfr=x fr=xb9adbaqaaeGaciGaaiaabeqaamaabaabaaGcbaGaaG4naiaaic cacaaILaaaaa@3A21@ , при этом экспериментальная оценка для вкладов от распадов χ cJ MathType@MTEF@5@5@+= feaahGart1ev3aaatCvAUfeBSjuyZL2yd9gzLbvyNv2CaerbuLwBLn hiov2DGi1BTfMBaeXatLxBI9gBaerbd9wDYLwzYbItLDharqqtubsr 4rNCHbGeaGGj0Jf9crFfpeea0xh9v8qiW7rqqrFfpeea0xe9Lq=Jc9 vqaqpepm0xbba9pwe9Q8fs0=yqaqpepae9pg0FirpepeKkFr0xfr=x fr=xb9adbaqaaeGaciGaaiaabeqaamaabaabaaGcbaGaeq4Xdm2aaS baaSqaaiaadogacaWGkbaabeaaaaa@3BA1@  составляет около 30 % MathType@MTEF@5@5@+= feaahGart1ev3aaatCvAUfeBSjuyZL2yd9gzLbvyNv2CaerbuLwBLn hiov2DGi1BTfMBaeXatLxBI9gBaerbd9wDYLwzYbItLDharqqtubsr 4rNCHbGeaGGj0Jf9crFfpeea0xh9v8qiW7rqqrFfpeea0xe9Lq=Jc9 vqaqpepm0xbba9pwe9Q8fs0=yqaqpepae9pg0FirpepeKkFr0xfr=x fr=xb9adbaqaaeGaciGaaiaabeqaamaabaabaaGcbaGaaG4maiaaic dacaaIGaGaaGyjaaaa@3AD7@  [26].

Также мы приводим предсказания рождения J/ψ MathType@MTEF@5@5@+= feaahGart1ev3aaatCvAUfeBSjuyZL2yd9gzLbvyNv2CaerbuLwBLn hiov2DGi1BTfMBaeXatLxBI9gBaerbd9wDYLwzYbItLDharqqtubsr 4rNCHbGeaGGj0Jf9crFfpeea0xh9v8qiW7rqqrFfpeea0xe9Lq=Jc9 vqaqpepm0xbba9pwe9Q8fs0=yqaqpepae9pg0FirpepeKkFr0xfr=x fr=xb9adbaqaaeGaciGaaiaabeqaamaabaabaaGcbaGaamOsaiaai+ cacqaHipqEaaa@3B5D@  в кинематике SPD NICA при s =27 MathType@MTEF@5@5@+= feaahGart1ev3aaatCvAUfeBSjuyZL2yd9gzLbvyNv2CaerbuLwBLn hiov2DGi1BTfMBaeXatLxBI9gBaerbd9wDYLwzYbItLDharqqtubsr 4rNCHbGeaGGj0Jf9crFfpeea0xh9v8qiW7rqqrFfpeea0xe9Lq=Jc9 vqaqpepm0xbba9pwe9Q8fs0=yqaqpepae9pg0FirpepeKkFr0xfr=x fr=xb9adbaqaaeGaciGaaiaabeqaamaabaabaaGcbaWaaOaaaeaaca WGZbaaleqaaOGaaGypaiaaikdacaaI3aaaaa@3B68@  ГэВ с использованием фитированных НМЭ. Как видно на рис. 5.4, с уменьшением энергии s MathType@MTEF@5@5@+= feaahGart1ev3aaatCvAUfeBSjuyZL2yd9gzLbvyNv2CaerbuLwBLn hiov2DGi1BTfMBaeXatLxBI9gBaerbd9wDYLwzYbItLDharqqtubsr 4rNCHbGeaGGj0Jf9crFfpeea0xh9v8qiW7rqqrFfpeea0xe9Lq=Jc9 vqaqpepm0xbba9pwe9Q8fs0=yqaqpepae9pg0FirpepeKkFr0xfr=x fr=xb9adbaqaaeGaciGaaiaabeqaamaabaabaaGcbaWaaOaaaeaaca WGZbaaleqaaaaa@391A@  область перехода из одной факторизации в другую смещается в сторону более малых значений p T MathType@MTEF@5@5@+= feaahGart1ev3aaatCvAUfeBSjuyZL2yd9gzLbvyNv2CaerbuLwBLn hiov2DGi1BTfMBaeXatLxBI9gBaerbd9wDYLwzYbItLDharqqtubsr 4rNCHbGeaGGj0Jf9crFfpeea0xh9v8qiW7rqqrFfpeea0xe9Lq=Jc9 vqaqpepm0xbba9pwe9Q8fs0=yqaqpepae9pg0FirpepeKkFr0xfr=x fr=xb9adbaqaaeGaciGaaiaabeqaamaabaabaaGcbaGaamiCamaaBa aaleaacaWGubaabeaaaaa@3A01@ . Оценка вклада кварковых подпроцессов составляет меньше 4 % MathType@MTEF@5@5@+= feaahGart1ev3aaatCvAUfeBSjuyZL2yd9gzLbvyNv2CaerbuLwBLn hiov2DGi1BTfMBaeXatLxBI9gBaerbd9wDYLwzYbItLDharqqtubsr 4rNCHbGeaGGj0Jf9crFfpeea0xh9v8qiW7rqqrFfpeea0xe9Lq=Jc9 vqaqpepm0xbba9pwe9Q8fs0=yqaqpepae9pg0FirpepeKkFr0xfr=x fr=xb9adbaqaaeGaciGaaiaabeqaamaabaabaaGcbaGaaGinaiaaic cacaaILaaaaa@3A1E@ , доля распадов χ cJ MathType@MTEF@5@5@+= feaahGart1ev3aaatCvAUfeBSjuyZL2yd9gzLbvyNv2CaerbuLwBLn hiov2DGi1BTfMBaeXatLxBI9gBaerbd9wDYLwzYbItLDharqqtubsr 4rNCHbGeaGGj0Jf9crFfpeea0xh9v8qiW7rqqrFfpeea0xe9Lq=Jc9 vqaqpepm0xbba9pwe9Q8fs0=yqaqpepae9pg0FirpepeKkFr0xfr=x fr=xb9adbaqaaeGaciGaaiaabeqaamaabaabaaGcbaGaeq4Xdm2aaS baaSqaaiaadogacaWGkbaabeaaaaa@3BA1@  равна около 9 % MathType@MTEF@5@5@+= feaahGart1ev3aaatCvAUfeBSjuyZL2yd9gzLbvyNv2CaerbuLwBLn hiov2DGi1BTfMBaeXatLxBI9gBaerbd9wDYLwzYbItLDharqqtubsr 4rNCHbGeaGGj0Jf9crFfpeea0xh9v8qiW7rqqrFfpeea0xe9Lq=Jc9 vqaqpepm0xbba9pwe9Q8fs0=yqaqpepae9pg0FirpepeKkFr0xfr=x fr=xb9adbaqaaeGaciGaaiaabeqaamaabaabaaGcbaGaaGyoaiaaic cacaaILaaaaa@3A23@ .

Заключение

Показано, что спектры по поперечному импульсу J/ψ MathType@MTEF@5@5@+= feaahGart1ev3aaatCvAUfeBSjuyZL2yd9gzLbvyNv2CaerbuLwBLn hiov2DGi1BTfMBaeXatLxBI9gBaerbd9wDYLwzYbItLDharqqtubsr 4rNCHbGeaGGj0Jf9crFfpeea0xh9v8qiW7rqqrFfpeea0xe9Lq=Jc9 vqaqpepm0xbba9pwe9Q8fs0=yqaqpepae9pg0FirpepeKkFr0xfr=x fr=xb9adbaqaaeGaciGaaiaabeqaamaabaabaaGcbaGaamOsaiaai+ cacqaHipqEaaa@3B5D@  -мезонов в протон-протонных столкновениях хорошо описываются в нерелятивистской квантовой хромодинамике в модели, сочетающей метод пересуммирования мягких глюонов и коллинеарную партонную модель, с использованием метода обратных погрешностей для <<сшивки>> теоретических расчетов в промежуточной области поперечных импульсов. Используя экспериментальные данные, полученные при энергии s =200 MathType@MTEF@5@5@+= feaahGart1ev3aaatCvAUfeBSjuyZL2yd9gzLbvyNv2CaerbuLwBLn hiov2DGi1BTfMBaeXatLxBI9gBaerbd9wDYLwzYbItLDharqqtubsr 4rNCHbGeaGGj0Jf9crFfpeea0xh9v8qiW7rqqrFfpeea0xe9Lq=Jc9 vqaqpepm0xbba9pwe9Q8fs0=yqaqpepae9pg0FirpepeKkFr0xfr=x fr=xb9adbaqaaeGaciGaaiaabeqaamaabaabaaGcbaWaaOaaaeaaca WGZbaaleqaaOGaaGypaiaaikdacaaIWaGaaGimaaaa@3C1B@  ГэВ коллаборацией PHENIX, мы фитировали значения октетных непертурбативных матричных элементов, которые использовались для предсказания сечения рождения и спектра по поперечному импульсу J/ψ MathType@MTEF@5@5@+= feaahGart1ev3aaatCvAUfeBSjuyZL2yd9gzLbvyNv2CaerbuLwBLn hiov2DGi1BTfMBaeXatLxBI9gBaerbd9wDYLwzYbItLDharqqtubsr 4rNCHbGeaGGj0Jf9crFfpeea0xh9v8qiW7rqqrFfpeea0xe9Lq=Jc9 vqaqpepm0xbba9pwe9Q8fs0=yqaqpepae9pg0FirpepeKkFr0xfr=x fr=xb9adbaqaaeGaciGaaiaabeqaamaabaabaaGcbaGaamOsaiaai+ cacqaHipqEaaa@3B5D@  -мезонов в кинематике эксперимента SPD NICA при энергии s =27 MathType@MTEF@5@5@+= feaahGart1ev3aaatCvAUfeBSjuyZL2yd9gzLbvyNv2CaerbuLwBLn hiov2DGi1BTfMBaeXatLxBI9gBaerbd9wDYLwzYbItLDharqqtubsr 4rNCHbGeaGGj0Jf9crFfpeea0xh9v8qiW7rqqrFfpeea0xe9Lq=Jc9 vqaqpepm0xbba9pwe9Q8fs0=yqaqpepae9pg0FirpepeKkFr0xfr=x fr=xb9adbaqaaeGaciGaaiaabeqaamaabaabaaGcbaWaaOaaaeaaca WGZbaaleqaaOGaaGypaiaaikdacaaI3aaaaa@3B68@  ГэВ. Показано, что суммарный вклад от процесса кварк-кварковой аннигиляции и от распада вышележащих по массе состояний чармония в рождение J/ψ MathType@MTEF@5@5@+= feaahGart1ev3aaatCvAUfeBSjuyZL2yd9gzLbvyNv2CaerbuLwBLn hiov2DGi1BTfMBaeXatLxBI9gBaerbd9wDYLwzYbItLDharqqtubsr 4rNCHbGeaGGj0Jf9crFfpeea0xh9v8qiW7rqqrFfpeea0xe9Lq=Jc9 vqaqpepm0xbba9pwe9Q8fs0=yqaqpepae9pg0FirpepeKkFr0xfr=x fr=xb9adbaqaaeGaciGaaiaabeqaamaabaabaaGcbaGaamOsaiaai+ cacqaHipqEaaa@3B5D@  -мезонов не превышает 10 %.

×

About the authors

Vladimir A. Saleev

Samara National Research University

Email: saleev@samsu.ru
ORCID iD: 0000-0003-0505-5564

Doctor of Physical and Mathematical Sciences, professor, head of the Department of General and Theoretical Physics

Russian Federation, Samara

Kirill K. Shilyaev

Samara National Research University

Author for correspondence.
Email: kirill.k.shilyaev@gmail.com
ORCID iD: 0009-0005-0531-883X

postgraduate student of the Department of General and Theoretical Physics

Russian Federation, Samara

References

  1. Arbuzov A. [et al.] On the physics potential to study the gluon content of proton and deuteron at NICA SPD. Progress in Particle and Nuclear Physics, 2021, vol. 119, p. 103858. DOI: https://doi.org/10.1016/j.ppnp.2021.103858.
  2. Anufriev A.V., Saleev V.A. High-Energy Production of ηc Mesons in Proton-Proton Collisions. Physics of Particles and Nuclei, 2024, vol. 55, issue 4, pp. 836–840. DOI: https://doi.org/10.1134/S106377962470031X.
  3. Boer D., den Dunnen W.J. TMD evolution and the Higgs transverse momentum distribution. Nuclear Physics B, 2014, vol. 886, pp. 421–435. DOI: https://doi.org/10.1016/j.nuclphysb.2014.07.006.
  4. Sun P., Xiao B.-W., Yuan F. Gluon Distribution Functions and Higgs Boson Production at Moderate Transverse Momentum. Physical Review D, 2011, vol. 84, issue 9, p. 094005. DOI: https://doi.org/10.1103/PhysRevD.84.094005.
  5. Collins J. Foundation of Perturbative QCD. Cambridge: Cambridge University Press, 2011, 624 p. DOI: https://doi.org/10.1017/CBO9780511975592.020.
  6. Echevarria M.G., Kasemets T., Lansberg J.-P., Pisano C., Signori A. Matching factorization theorems with an inverse-error weighting. Physics Letters. Section B, 2018, vol. 781, pp. 161–168. DOI: https://doi.org/10.1016/j.physletb.2018.03.075.
  7. Collins J.C., Soper D.E., Sterman G.F. Transverse Momentum Distribution in Drell-Yan Pair and W and Z Boson Production. Nuclear Physics B, 1985, vol. 250, pp. 199–224. DOI: https://doi.org/10.1016/0550-3213(85)90479-1.
  8. Collins J.C., Soper D.E. Back-To-Back Jets in QCD. Nuclear Physics B, 1981, vol. 193, issue 2, pp. 381–443. DOI: https://doi.org/10.1016/0550-3213(81)90339-4.
  9. Bor J., Boer D. TMD evolution study of the cos 2ϕ azimuthal asymmetry in unpolarized J/ψ production at EIC. Physical Review D, 2022, vol. 106, issue 1, p. 014030. DOI: https://doi.org/10.1103/PhysRevD.106.014030.
  10. Aybat S.M., Rogers T.C. TMD Parton Distribution and Fragmentation Functions with QCD Evolution. Physical Review D, 2011, vol. 83, issue 11, p. 114042. DOI: https://doi.org/10.1103/PhysRevD.83.114042.
  11. Lepage G.P., Magnea L., Nakhleh C. Improved nonrelativistic QCD for heavy-quark physics. Physical Review D, 1992, vol. 46, pp. 4052–4067. DOI: https://doi.org/10.1103/PhysRevD.46.4052.
  12. Bodwin G.T., Braaten E., Lepage G.P. Rigorous QCD analysis of inclusive annihilation and production of heavy quarkonium. Physical Review D, 1995, vol. 51, pp. 1125–1171. DOI: https://doi.org/10.1103/PhysRevD.55.5853.
  13. Kühn J.H., Kaplan J., Safiani E.G.O. Electromagnetic Annihilation of e+ e- Into Quarkonium States with Even Charge Conjugation. Nuclear Physics B, 1979, vol. 157, pp. 125–144. DOI: https://doi.org/10.1016/0550-3213(79)90055-5.
  14. Cho P., Leibovich A.K. Color-octet quarkonia production. Physical Review D, 1996, vol. 53, pp. 150–162. DOI: https://doi.org/10.1103/PhysRevD.53.150.
  15. Gastmans R., Troost W., Wu T.T. Cross-Sections for Gluon + Gluon → Heavy Quarkonium ++ Gluon. Physics Letters. Section B, 1987, vol. 184, issues 2–3, pp. 257–260. DOI: https://doi.org/10.1016/0370-2693(87)90578-8.
  16. Cho P., Leibovich A.K. Color-octet quarkonia production. II. Physical Review D, 1996, vol. 53, issue 11, pp. 6203–6217. DOI: https://doi.org/10.1103/PhysRevD.53.6203.
  17. Lucha W., Schoberl F.F., Gromes D. Bound states of quarks. Physics Reports, 1991, vol. 200, issue 4, pp. 127–240. DOI: https://doi.org/10.1016/0370-1573(91)90001-3.
  18. Eichten E.J., Quigg C. Quarkonium wave functions at the origin. Physical Review D, 1995, vol. 52, issue 3, pp. 1726–1728. DOI: https://doi.org/10.1103/PhysRevD.52.1726.
  19. Hanh T. Cuba — a library for multidimensional numerical integration. Computer Physics Communications, 2005, vol. 168, issue 2, pp. 78–95. DOI: https://doi.org/10.1016/j.cpc.2005.01.010.
  20. Hahn T. Generating Feynman diagrams and amplitudes with FeynArts 3. Computer Physics Communications, 2001, vol. 140, issue 3, pp. 418–431. DOI: https://doi.org/10.1016/s0010-4655(01)00290-9.
  21. Shtabovenko V., Mertig R., Orellana F. FeynCalc 9.3: New features and improvements. Computer Physics Communications, 2020, vol. 256, p. 107478. DOI: https://doi.org/10.1016/j.cpc.2020.107478.
  22. Martin A.D., Stirling W.J., Thorne R.S., Watt G. Parton distributions for the LHC. The European Physical Journal C, 2009, vol. 63, pp. 189–285. DOI: https://doi.org/10.1140/epjc/s10052-009-1072-5.
  23. Zyla P.A. [et al.] Review of Particle Physics. Progress of Theoretical and Experimental Physics, 2020, vol. 2020, issue 8, p. 083C01. DOI: https://doi.org/10.1093/ptep/ptaa104.
  24. Braaten E., Kniehl B.A., Lee J. Polarization of prompt J/ψ at the Fermilab Tevatron. Physical Review D, 2000, vol. 62, issue 9, p. 094005. DOI: https://doi.org/10.1103/PhysRevD.62.094005.
  25. Chernyshev A.A., Saleev V.A. Single and pair J/ψ production in the improved color evaporation model using the parton Reggeization approach. Physical Review D, 2022, vol. 106, issue 11, p. 114006. DOI: https://doi.org/10.1103/PhysRevD.106.114006.
  26. Adare A. [et al.] Ground and excited state charmonium production in p + p collisions at √s = 200 GeV. Physical Review D, 2012, vol. 85, p. 092004. DOI: https://doi.org/10.1103/PhysRevD.85.092004.
  27. Adare A. [et al.] J/ψ production versus transverse momentum and rapidity in p+p collisions at √s = 200-GeV. Physical Review Letters, 2007, vol. 98, p. 232002. DOI: https://doi.org/10.1103/PhysRevLett.98.232002.
  28. Adam J. [et al.] J/ψ production cross section and its dependence on charged-particle multiplicity in p + p collisions at √s = 200 GeV. Physics Letters B, 2018, vol. 786, pp. 87–93. DOI: https://doi.org/10.1016/j.physletb.2018.09.029.
  29. Abelev B.I. [et al.] J/psi production at high transverse momentum in p + p and Cu+Cu collisions at √sNN = 200 GeV. Physical Review C, 2009, vol. 80, issue 4, p. 041902. DOI: https://doi.org/10.1103/PhysRevC.80.041902.

Supplementary files

Supplementary Files
Action
1. JATS XML
2. Fig. 5.1. On the left — differential cross section of prompt J/ψ production versus transverse momentum pT: the collinear (orange dashed line, see the online version of the article here and further), noncollinear (blue dotted), χcJ decay (brown dash-dotted), quark subprocesses (black dash-dot-dotted) contributions, the matched cross-section (green solid). Experimental data is taken from the PHENIX collaboration paper [26]. On the right — spectrum of J/ψ production

Download (145KB)
3. Fig. 5.2. On the left — differential cross section of prompt J/ψ production versus transverse momentum pT: the collinear (orange dashed line), noncollinear (blue dotted), χcJ decay (brown dash-dotted), quark subprocesses (black dash-dot-dotted) contributions, the matched cross-section (green solid). Experimental data is taken from the PHENIX collaboration paper [27]. On the right — spectrum of J/ψ production

Download (204KB)
4. Fig. 5.3. On the left — differential cross section of prompt J/ψ production versus transverse momentum pT: the collinear (orange dashed line), noncollinear (blue dotted), χcJ decay (brown dash-dotted), quark subprocesses (black dash-dot-dotted) contributions, the matched cross-section (green solid). Experimental data is taken from the STAR collaboration paper [28]. On the right — spectrum of J/ψ production

Download (191KB)
5. Fig. 5.4. On the left — prediction for differential cross section of prompt J/ψ production versus transverse momentum pT at SPD NICA kinematics: the collinear (yellow dashed line), noncollinear (blue dotted), χcJ decay (brown dash-dotted), quark subprocesses (black dash-dot-dotted) contributions, the matched cross-section (green solid), hard scale variation uncertainty (gray shaded area). On the right — spectrum of J/ψ production

Download (181KB)

Copyright (c) 2024 Saleev V.A., Shilyaev K.K.

Creative Commons License
This work is licensed under a Creative Commons Attribution 4.0 International License.

Согласие на обработку персональных данных с помощью сервиса «Яндекс.Метрика»

1. Я (далее – «Пользователь» или «Субъект персональных данных»), осуществляя использование сайта https://journals.rcsi.science/ (далее – «Сайт»), подтверждая свою полную дееспособность даю согласие на обработку персональных данных с использованием средств автоматизации Оператору - федеральному государственному бюджетному учреждению «Российский центр научной информации» (РЦНИ), далее – «Оператор», расположенному по адресу: 119991, г. Москва, Ленинский просп., д.32А, со следующими условиями.

2. Категории обрабатываемых данных: файлы «cookies» (куки-файлы). Файлы «cookie» – это небольшой текстовый файл, который веб-сервер может хранить в браузере Пользователя. Данные файлы веб-сервер загружает на устройство Пользователя при посещении им Сайта. При каждом следующем посещении Пользователем Сайта «cookie» файлы отправляются на Сайт Оператора. Данные файлы позволяют Сайту распознавать устройство Пользователя. Содержимое такого файла может как относиться, так и не относиться к персональным данным, в зависимости от того, содержит ли такой файл персональные данные или содержит обезличенные технические данные.

3. Цель обработки персональных данных: анализ пользовательской активности с помощью сервиса «Яндекс.Метрика».

4. Категории субъектов персональных данных: все Пользователи Сайта, которые дали согласие на обработку файлов «cookie».

5. Способы обработки: сбор, запись, систематизация, накопление, хранение, уточнение (обновление, изменение), извлечение, использование, передача (доступ, предоставление), блокирование, удаление, уничтожение персональных данных.

6. Срок обработки и хранения: до получения от Субъекта персональных данных требования о прекращении обработки/отзыва согласия.

7. Способ отзыва: заявление об отзыве в письменном виде путём его направления на адрес электронной почты Оператора: info@rcsi.science или путем письменного обращения по юридическому адресу: 119991, г. Москва, Ленинский просп., д.32А

8. Субъект персональных данных вправе запретить своему оборудованию прием этих данных или ограничить прием этих данных. При отказе от получения таких данных или при ограничении приема данных некоторые функции Сайта могут работать некорректно. Субъект персональных данных обязуется сам настроить свое оборудование таким способом, чтобы оно обеспечивало адекватный его желаниям режим работы и уровень защиты данных файлов «cookie», Оператор не предоставляет технологических и правовых консультаций на темы подобного характера.

9. Порядок уничтожения персональных данных при достижении цели их обработки или при наступлении иных законных оснований определяется Оператором в соответствии с законодательством Российской Федерации.

10. Я согласен/согласна квалифицировать в качестве своей простой электронной подписи под настоящим Согласием и под Политикой обработки персональных данных выполнение мною следующего действия на сайте: https://journals.rcsi.science/ нажатие мною на интерфейсе с текстом: «Сайт использует сервис «Яндекс.Метрика» (который использует файлы «cookie») на элемент с текстом «Принять и продолжить».