Nanoplastic influence on the siliceous sponge Lubomirskia baicalensis
- Authors: Danilovtseva E.N.1, Pal’shin V.A.1, Zelinskiy S.N.1, Annenkov V.V.1
-
Affiliations:
- Limnological Institute of the Siberian Branch of the Russian Academy of Sciences
- Issue: No 6 (2023)
- Pages: 253-260
- Section: Articles
- URL: https://medbiosci.ru/2658-3518/article/view/282906
- DOI: https://doi.org/10.31951/2658-3518-2023-A-6-253
- ID: 282906
Cite item
Full Text
Abstract
Effects of plastic nanoparticles on the Baikal siliceous sponge Lubomirskia baicalensis (Pallas, 1773), including the whole organism and primmorphs, were studied. A vital fluorescence dye was applied to visualize the spicules formed during the experiment. Polystyrene, polyvinyl chloride, and poly(methyl methacrylate) nanoparticles were found to be able to penetrate into the sponge body and cause toxic effects (decreased spicule production) starting from concentrations of 0.005-0.01 mg/L. This is a relatively high concentration, unthinkable in normal water bodies. On the other hand, the duration of the experiment (three months) is negligible compared to the life span of the sponge. Further experiments should aim to elucidate the fate of nanoplastics within sponges, the balance between plastic consumption, excretion and degradation, possibly involving sponge symbionts.
Full Text
1. Introduction
Plastic pollution is considered a formidable threat to humanity in this century. Nanoplastic is the least studied substance due to the great difficulty in its determination in the environment and living organisms. These small particles (less than 500 nm) are not visible under optical microscopy and can be tightly mixed with a variety of organic and inorganic compounds. Nanoplastics, especially particles smaller than 200 nm, are considered very dangerous due to their potential ability to penetrate living cells by endocytosis (Manzanares and Ceña, 2020). We recently estimated how much nanoplastic can be formed when commercial plastics such as polystyrene (PS), polyvinyl chloride (PVC), and poly(methyl methacrylate) (PMMA) are mechanically broken down (Annenkov et al., 2021). Nanoparticles were a minor fraction in this process compared to microplastics. Certainly, microplastics in water bodies can break down into smaller particles by photo- and chemodestruction, but the same factors should break down nanoparticles to a greater extent, since smaller particles are more active in any reactions. Thus, we estimated the actual amount of nanoplastics in water bodies to be many times lower than 0.01 mg/L.
Since it is difficult to study nanoplastics in the field, there are many works focusing on laboratory experiments with commercial or specially synthesized nanoparticles. In a study of the heterotrophic dinoflagellate Gymnodinium corollarium Sundström, Kremp et Daugbjerg (Annenkov et al., 2023), we found that 0.01 mg/L of nanoplastic was a nontoxic concentration; moreover, these organisms can assimilate and degrade nanoparticles of plastic. On the other hand, the filtrating organisms, such as sponges, can accumulate significant amounts of nanoplastic even at low concentrations in the environment.
There are few works on the effect of nanoplastics on sponges. Recently, it was found that microplastics of 2-10 µm in size are expelled from the sponge body in 1-2 hours (Funch et al., 2023). Microplastic particles of 1 µm size at a concentration of 1 mg/L were non-toxic to temperate zone sponge species (Tethya bergquistae and Crella incrustans) (Baird, 2016). Nanoparticles of 100-500 nm can penetrate the sponge (Willenz and Van de Vyver, 1982; Turon et al., 1997; Leys and Eerkes-Medrano, 2006), but these were short-term experiments (no more than 4 h), and no information about the state of the sponge under the action of plastic was possible to obtain.
We have developed several vital fluorescent dyes that stain growing siliceous spicules (Annenkov et al., 2017; Annenkov et al., 2019; Danilovtseva et al., 2019). These dyes allow the growth of spicules in sponges and sponge primmorphs (3D cell culture) to be monitored and thus provide information on the sponge health. In this work, we evaluated the effects of plastic nanoparticles on the Baikal sponge Lubomirskia baicalensis (Pallas, 1773), including the whole organism and primmorphs.
2. Materials and methods
2.1. Sponge samples and cultivation of primmorphs
Experiments with sponge samples were carried out according to (Annenkov et al., 2014). Samples of L. baicalensis were collected near the settlement of Bolshiye Koty, in the southwestern part of Lake Baikal, at a depth of 10 meters. Sponge specimens (4-5 cm in length) were grown in 3 L aquariums at 3±1°C under air barbotage with daily 2/3 water changes. Luminescent lamps (color temperature 6500 K) were used for illumination of the aquariums in 12h/12h light/dark cycle.
Primmorphs were obtained similar to (Custodio et al., 1998). Briefly, sponge samples were cut under Baikal water (3 °C) into ≈1-2 mm particles. The particles and water were transferred into 50 mL conical plastic tubes (sponge to water ratio ≈ 1: 20) and gently shaken for 15 min on a rotary shaker. The suspension was then filtered through 100 μm nylon mesh, and the resulting cells were harvested by sedimentation (1 h, 3 °C) and washed again with Baikalian water. The cell suspension was placed in 400 ml plastic containers with 200 ml of Baikal water containing 0.002 % ampicillin. The containers were kept under the same conditions as the sponge samples when cultured. Every day for two weeks, 75% of the water was replaced with fresh water containing the antibiotic. After two weeks, the obtained primmorphs (1 mm or more in diameter) were transferred to new containers with water and antibiotic, and a 75% water change was performed weekly throughout the experiment.
Additives (plastic nanoparticles, dye) were added at each water change.
2.2. Chemical reagents
Bottled Baikalian water was used for sponge cultivation. The chemical composition of this water is described in (Suturin et al., 2002). NBD-N2 dye was obtained according to (Annenkov et al., 2010). Fluorescent nanoparticles were synthesized according our previous articles (Annenkov et al., 2021; Annenkov et al., 2023). Other chemicals were purchased from Sigma-Aldrich, Fisher or Acros Chemicals and used without further treatment.
2.3. Study of the primmorphs and sponge tissues
Primmorphs were placed on a coverslip, cut into 2-4 pieces (depending on the size of the primmorph), each piece was transferred to a separate coverslip, flattened with a glass slide, and examined using epifluorescence microscopy. When the experiment was designed to count the number of spicules per dry weight of the primmorph, two pre-weighed coverslips were used. After counting the spicules by epifluorescence microscopy, the sample was dried over anhydrous CaCl2 for two weeks and in vacuo to constant weight. Counting experiments were performed in at least four repetitions. Sponge samples for microscopy were prepared by cutting ≈ 1 mm slices from the sponge apex or middle of the sponge body.
Light and fluorescent microscopy was performed with MOTIC AE-31T inverted microscope with a HBO 103 W/2 OSRAM mercury lamp. Excitation was performed at 470 nm for green and yellow emission and 365 nm for blue emission.
3. Results and discussion
Two series of sponge experiments were carried out. The first short-term experiment consisted of an 8-day cultivation at extremely high concentrations of nanoplastic (0.1 and 1 mg/L, Fig. 1). PS and PVC nanoparticles entered the sponge body at a concentration of 1 mg/L, with a tendency to concentrate into 10-20 μm clusters similar to sponge cell size (Fig 1A). In the case of 0.1 mg/L, only single clusters of plastic were detected (Fig. 1C). In the second experiment, 0.01 and 0.1 mg/L PS and PVC nanoparticles were added to the culture medium for two months. The sponges with 0.01 mg/L nanoparticles looked healthy after two months, while the sponges with 0.1 mg/L plastic turned partially white after one month of experiment and completely collapsed after two months.
Fig.1. The sponge L. baicalensis in an aquarium and fluorescence images of sponge slices after 8 days of culturing in the presence of nanoplastics. Red fluorescence – chloroplasts, green – plastic nanoparticles. A - PS 200 nm, B and C -PVC 85 nm particles. Particles were stained with dibenzylfluorescein. Plastic concentration was 1 (A and B) and 0.1 (C) mg/L. Scale bars represent 25 (A), 50(B) and 75 (C) µm.
It should be mentioned that L. baicalensis is a very difficult organism for laboratory experiments. Long-term experiments are unlikely, as the sponge may die after 1-2 months of cultivation without exposure to any harmful factors. In addition, the moment of death of a sponge is difficult to record. Primmorphs, a 3D culture of self-organizing sponge cells, are a good model for long-term experiments. L. baicalensis primmorphs can live as spherical structures of 1-8 mm in size for up to nine months. Spicules are formed in primmorphs, and the death of a primmorph is easily detected by its destruction.
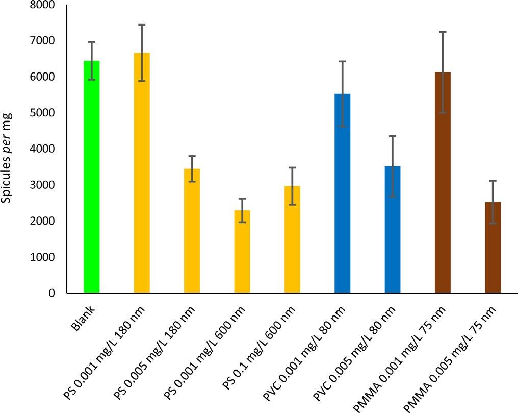
We performed two series of experiments with primmorphs of L. baicalensis. First (Fig. 2), PVC and PS nanoparticles were added at a concentration of 0.01-10 mg/L. The fluorescent dye NBD-N2 was added to detect the spicules formed during the experiment. After one month, we found a more than threefold reduction in the number of new spicules in the presence of plastic at any concentration tested. The following experiment (Fig. 3) shows no effect of nanoplastics at a concentration of 0.001 mg/L for three months. Sub-micrometer PS particles of 600 nm reduced spicule formation at a concentration of 0.001 mg/L. All three plastics were toxic at a concentration of 0.005 mg/L.
Fig.2. Dependence of the number of spicules per dry weight of primmorph (mg) on nanoplastic concentration. NBD-N2 dye (0.5 μM) was added to the culture medium as a vital dye for new spicules. PVC particle size was 65 nm and PS – 200 nm. The cultivation time was one month.
Fig.3. Dependence of the number of spicules per dry weight of primmorph (mg) on nanoplastic concentration. NBD-N2 dye (0.5 μM) was added to the culture medium as a vital dye for new spicules. The cultivation time was three months.
4. Conclusions
Our experiments showed that polystyrene, polyvinyl chloride, and poly(methyl methacrylate) nanoparticles can penetrate into the sponge body and cause toxic effects (decreased spicule production) starting from concentrations of 0.005-0.01 mg/L. This is a relatively high concentration, unthinkable in normal water bodies. On the other hand, three months of experiment is negligible compared to the life span of a sponge. Further experiments should aim to elucidate the fate of nanoplastics within sponges, the balance between plastic consumption, excretion and degradation, possibly involving sponge symbionts.
Acknowledgements
This work was supported by Ministry of Science and Higher Education of the Russian Federation, Project # 122012600070-9.
Conflict of interest
The authors declare no conflict of interest.
About the authors
E. N. Danilovtseva
Limnological Institute of the Siberian Branch of the Russian Academy of Sciences
Email: annenkov@lin.irk.ru
Russian Federation, Ulan-Batorskaya Str., 3, Irkutsk, 664033
V. A. Pal’shin
Limnological Institute of the Siberian Branch of the Russian Academy of Sciences
Email: annenkov@lin.irk.ru
Russian Federation, Ulan-Batorskaya Str., 3, Irkutsk, 664033
S. N. Zelinskiy
Limnological Institute of the Siberian Branch of the Russian Academy of Sciences
Email: annenkov@lin.irk.ru
Russian Federation, Ulan-Batorskaya Str., 3, Irkutsk, 664033
V. V. Annenkov
Limnological Institute of the Siberian Branch of the Russian Academy of Sciences
Author for correspondence.
Email: annenkov@lin.irk.ru
Russian Federation, Ulan-Batorskaya Str., 3, Irkutsk, 664033
References
- Annenkov V.V., Danilovtseva E.N., Zelinskiy S.N. et al. 2010. Novel fluorescent dyes based on oligopropylamines for the in vivo staining of eukaryotic unicellular algae. Analytical Biochemistry 407:44–51. doi: 10.1016/j.ab.2010.07.032
- Annenkov V.V., Glyzina O.Yu., Verkhozina O.N. et al. 2014. Fluorescent amines as a new tool for study of siliceous sponges. Silicon 6(4):227-231 doi: 10.1007/s12633-014-9220-4
- Annenkov V.V., Zelinskiy S.N., Pal’shin V.A. et al. 2019. Coumarin based fluorescent dye for monitoring of siliceous structures in living organisms. Dyes and Pigments 160:336–343. doi: 10.1016/j.dyepig.2018.08.020
- Annenkov V.V., Danilovtseva E.N., Zelinskiy S.N. et al. 2021. Submicro- and nanoplastics: how much can be expected in water bodies? Environmental Pollution 278:116910, doi: 10.1016/j.envpol.2021.116910
- Annenkov V.V., Pal’shin V.A., Annenkova N.V. et al. 2023. Uptake and Effects of Nanoplastics on the Dinoflagellate Gymnodinium corollarium. Environmental Toxicology and Chemistry 42(5):1124-1133. doi: 10.1002/etc.5604
- Baird C.A. 2016. Measuring the effects of microplastics on sponges. A thesis for the degree of Master of Science in Marine Biology. Wellington, Victoria University. http://researcharchive.vuw.ac.nz/handle/10063/6749
- Custodio M.R., Prokic I., Steffen R. et al. 1998. Primmorphs generated from dissociated cells of the sponge Suberites domuncula: a model system for studies of cell proliferation and cell death. Mech. Ageing Dev. 105, 45–59. doi: 10.1016/S0047-6374(98)00078-5
- Danilovtseva E.N., Palshin V.A., Zelinskiy S.N. et al. 2019. Fluorescent dyes for the study of siliceous sponges. Limnology and Freshwater Biology 5:302-307. doi: 10.31951/2658-3518-2019-A-5-302
- Funch P., Kealy R.A., Goldstein J. et al. 2023. Fate of microplastic captured in the marine demosponge Halichondria panicea. Marine Pollution Bulletin 194A:115403, doi: 10.1016/j.marpolbul.2023.115403
- Leys S.P., Eerkes-Medrano D.I. 2006. Feeding in a Calcareous Sponge: Particle Uptake by Pseudopodia. The Biological Bulletin 211(2):157–171, doi: 10.2307/4134590
- Manzanares D., Ceña V. 2020. Endocytosis: the nanoparticle and submicron nanocompounds gateway into the cell. Pharmaceutics 12:371. doi: 10.3390/pharmaceutics12040371
- Suturin A.N., Paradina L.F., Epov V.N. et al. 2002. Development of a standard sample of composition of deep Baikalian water. Chemistry for Sustainable Development 10:473–482.
- Turon X., Galera J., Uriz M. J. 1997. Clearance rates and aquiferous systems in two sponges with contrasting life-history strategies. The Journal of Experimental Zoology 278(1): 22-36. doi: 10.1002/(SICI)1097-010X(19970501)278:1<22::AID-JEZ3>3.0.CO;2-8
- Willenz P., Van de Vyver G. 1982. Endocytosis of latex beads by the exopinacoderm in the fresh water sponge Ephydatia fluviatilis: an in vitro and in situ study in SEM and TEM. Journal of Ultrastructure Research 79(3):294–306, doi: 10.1016/S0022-5320(82)90005-3
Supplementary files





