Построение квазиоптимальной по быстродействию и энергозатратам замкнутой системы управления электроустановкой
- Авторы: Хорошавин В.С.1, Грудинин В.С.1
-
Учреждения:
- Вятский государственный университет
- Выпуск: Том 32, № 2 (2022)
- Страницы: 279-294
- Раздел: Электротехнологии и электрооборудование
- Статья получена: 09.06.2025
- Статья одобрена: 09.06.2025
- Статья опубликована: 11.06.2025
- URL: https://medbiosci.ru/2658-4123/article/view/296313
- DOI: https://doi.org/10.15507/2658-4123.032.202202.279-294
- ID: 296313
Цитировать
Полный текст
Аннотация
Введение. Эффективность и работоспособность электротехнологических процессов и установок в динамических режимах их функционирования характеризуются быстродействием, низкими энергозатратами, точностью в переходных процессах и устойчивостью желаемого конечного состояния. Предлагается на базе особого оптимального управления совместить построение систем перехода и стабилизации как в части определения алгоритма управления с минимальными энергозатратами в функции состояний объекта, так и в части определения параметров и условий движения с минимальным отклонением от заданной траектории. Последнее обеспечивает в устойчивой замкнутой системе программного движения эффективные
решения по критериям быстродействия и энергосбережения.
Материалы и методы. В качестве основного метода нахождения оптимального программного управления используется принцип максимума, дополненный для исследования особых режимов аппаратом условий общности положения для нелинейных объектов с расширением пространства координат, учитывающий вхождение времени и критерий оптимальности. Аппарат условий общности положения использован и для решения задач энергосбережения путем линеаризации в большом исходного объекта. Квазиоптимальность по быстродействию и энергозатратам достигается минимизацией энергии по параметру программного движения, противоречиво влияющему на время переходного процесса и амплитуду управления.
Результаты исследования. Для оценки вычислительных трудностей, быстродействия, энергосбережения, точности и устойчивости приведен пример управления инерционным объектом по различным критериям. Получена структура простой в технической реализации замкнутой квазиоптимальной системы со стационарной обратной связью.
Обсуждение и заключение. Формализованность подхода к построению квазиоптимальных систем на основе условий общности положения позволяет использовать его в задачах многокритериальной оптимизации и системах автоматизированного проектирования энергоемких промышленных, транспортных, сельскохозяйственных электроустановок.
Полный текст
Введение
Для электротехнических процессов и установок актуальна задача повышения эффективности работы, так как 70 % вырабатываемой электроэнергии потребляют электроприводы, 10 % – электротермические установки1. Установки инфракрасного излучения, светотехнические и насосные установки являются энергоемкими в современных технологиях выращивания сельскохозяйственных культур в защищенном грунте [1]. Многие процессы и установки, особенно тепловые, имеют большую инерционность, то есть длительные динамические режимы перехода в устойчивое требуемое выходное состояние. Динамические режимы электроустановок как объектов управления с достаточной точностью описываются обыкновенными дифференциальными уравнениями, а в качестве управляющих воздействий служат ограниченные электрические переменные: обычно амплитуда, частота или скважность напряжения или тока.
В технических приложениях задачи оптимального перехода формулируются как задачи быстродействия, на минимум ресурсов (энерго- и ресурсосбережения) и точности (программного движения). Утверждается, что оптимальное энергосберегающее управление электрической сушильной камерой позволяет при определенных граничных условиях сэкономить до 60 % потребляемой электроэнергии [2]. Но известные алгоритмы оптимального быстродействия и энергосбережения отыскиваются в виде программного (то есть в функции времени) управления, не обеспечивают устойчивости конечного состояния объекта и в лучшем случае могут быть реализованы в форме нестационарной обратной связи.
Цель работы – применить особое оптимальное управление в качестве единого подхода для нахождения алгоритма управления с минимальными энергозатратами в функции состояний объекта, а также определить параметры и условия программного движения, обеспечивающие эффекты быстродействия и энергосбережения в устойчивой замкнутой системе управления электроустановкой.
Обзор литературы
Для решения оптимальных задач в технических приложениях используется принцип максимума Понтрягина, так как он, в отличие от классического вариационного исчисления, позволяет найти кусочно-непрерывное управление и учесть ограничения на переменные объекта2. Оптимальное управление отыскивается как функция зависящих от времени вспомогательных переменных, вводимых принципом максимума. Но в задачах быстродействия и на минимум ресурсов, нелинейных по координатам с линейным управлением, возможно существование особого режима, когда принцип максимума не устанавливает однозначной связи между оптимальным управлением и вспомогательными переменными3. Известные способы вычисления особого управления используют вспомогательные переменные непосредственно или с помощью скобок Пуассона [3; 4]. Найти решение для вспомогательных переменных, даже в функции времени, сложно, а для построения замкнутой системы в функции координат, позволяющей компенсировать действующие на объект возмущения, невозможно из-за неразрешимости двухточечной граничной задачи, к которой сводится решение оптимальной задачи. В задачах энергосбережения с квадратичным по управлению критерием особых режимов не возникает, но даже если оптимальное управление в функции времени будет получено, то синтез замкнутой системы осуществляется с помощью зависящих от времени и граничных условий обратных связей [2]. Тогда как для простоты технической реализации системы требуются стационарные обратные связи.
Для достижения предельного быстродействия или минимума ресурсов в задачах с линейным управлением необходимо кусочно-постоянное управление с максимально возможными амплитудами воздействия, что ведет к перерегулированию координат, а моменты переключения определяются нелинейными нестационарными поверхностями переключения или стыковки особых и неособых траекторий [5; 6]. Поэтому алгоритмы оптимального быстродействия неприменимы в задачах программного движения или оптимального по точности управления по достижению минимального отклонения от заданной траектории, особенно для объектов с длительными и частыми динамическими режимами перехода [7]. К тому же при оптимальном быстродействии не обеспечивается устойчивость конечного состояния в отличие от программного движения, гарантирующего ее на полубесконечном интервале времени.
Что касается связи решений задач управления с критериями быстродействия и энергосбережения, то известны противоположные точки зрения: от их полного противопоставления, что объясняется необходимостью больших энергозатрат для увеличения быстродействия, до их полного совпадения, что справедливо при управлении в большом, когда при больших диапазонах задания начального и конечного состояний выхода минимальные энергозатраты получаются при максимально возможном управлении, то есть как в задаче быстродействия4 [8]. Сравнительные анализы оценки критериев быстродействия, энергозатрат и точности (программного движения) выполнены при управлении реальными тепловыми процессами в металлургии и теплоснабжении [9‒11]. На основе анализа особых, в смысле принципа максимума, режимов в задачах с линейным вхождением управления показано, что алгоритмы оптимальных управлений по быстродействию и на минимум ресурсов совпадают, если критерий на минимум ресурсов физически адекватно отражает поступление энергии в управляемый процесс [12].
Исходя из обзора литературы, можно говорить об актуальности разработки подхода по совмещенному определению алгоритма управления на базе принципа максимума и его особенностей в функции состояний объекта. Подход важен для построения устойчивой замкнутой системы управления.
Материалы и методы
Пусть математическое описание объекта управления (электроустановки) задается системой обыкновенных дифференциальных уравнений, нелинейных по координатам с линейным скалярным управлением в векторно-матричной форме:
(1)
где вектор координат объекта; U – управление, 0 ≤ U ≤ 1; элементы вектор-столбцов A(x), B(x) непрерывны и дифференцируемы по x.
Задачами системы управления являются, во-первых, выработка ограниченного управления в функции времени или координат, переводящего объект из начального состояния x(0) в конечное x(T) за незаданное или заранее заданное время и обеспечивающего минимум критерию оптимальности в виде интегрального функционала, учитывающего временные или энергетические затраты или отклонение текущей траектории от заданной (задача оптимального управления); во-вторых, последующая стабилизация конечного состояния в замкнутой системе со стационарными обратными связями (задача устойчивости или, в конечном счете, обеспечения работоспособности установки).
Для решения первой задачи оптимального управления с определением существования особого режима и вычисления особого управления в явном виде от координат и параметров нелинейного объекта, что необходимо на практике для синтеза замкнутой системы с обратной связью, применим аппарат условий общности положения (УОП) для нелинейных объектов. УОП был выведен в работе В. А. Олейникова для задач быстродействия и расширен для задач на минимум ресурсов в одном из наших исследований5.
Покажем применение УОП для нелинейных объектов в расширенном пространстве координат в задаче программного движения с критерием
(2)
учитывающим квадратичные отклонения текущей выходной координаты объекта от требуемой [13]. Задача (1), (2) является нелинейной по координатам, поэтому в ней при использовании принципа максимума, даже для линейных объектов, возможно возникновение особых ситуаций, если на некотором интервале времени :
(3)
где ψ – вектор вспомогательных переменных, вводимых принципом максимума, из уравнения
Условие существования особого режима (3) требует анализа вспомогательных переменных ψ(t). Чтобы его избежать, в аппарате УОП вычисляются векторы Bj, j = 2,…, n + 2, по рекуррентному соотношению:
(4)
где
После образования матрицы Dn+2 размером (n + 2) ∙ (n + 2) из векторов (B1 … Bn+2) и приравнивания к нулю определителя det Dn+2 = 0 находятся уравнения особых траекторий и особых управлений, множество которых можно расширить путем приравнивания к нулю функциональных элементов матрицы Dn+2, так как при этом тождественно выполняются условия особого режима (3).
При исследовании функциональных элементов матрицы Dn+2 учитываются не только особые режимы задачи программного движения, но и задач быстродействия и на минимум ресурсов с линейным управлением, так как в матрицу Dn+2 вложены матрицы
проверяемые в этих задачах. Таким образом, свойства оптимального по быстродействию управления являются характерными для объекта и сохраняются при других критериях оптимальности, а в целом проверка УОП позволяет выявить общие свойства оптимального управления в задачах быстродействия, на минимум ресурсов и программного движения.
Интегральный критерий энергозатрат для большинства электротехнических устройств имеет вид
(5)
Как и М. Атанс и П. Фалб, предположим, что «U(t) – скаляр, пропорциональный напряжению или току, тогда величина U 2(t) пропорциональна мощности, а пропорционален энергии, израсходованной на интервале [t0, T ]»6. Такой критерий энергозатрат используется в большинстве работ, но иногда, как заметил Ю. П. Петров, «в задачах частотного управления рекомендуется использовать критерий так как потери на гистерезис и вихревые токи пропорциональны соответственно первой и второй степени частоты электрического сигнала»7.
Задача энергосбережения (1), (5) нелинейна по управлению, поэтому особых режимов в ней не возникает, и при ее решении можно однозначно выразить оптимальное программное управление, как отмечает В. И. Ловчаков, через вспомогательные переменные с помощью принципа максимума или множители Лагранжа в классическом вариационном исчислении или методом динамического программирования [2].
Чтобы исключить трудоемкую операцию нахождения дополнительных переменных, предложен способ поиска дифференциального уравнения для оптимального управления в функции координат объекта, основанный на применении аппарата УОП для нелинейных объектов, для чего производится приведение исходной задачи (1), (5) к редуцированной задаче с линейным вхождением управления, в которой возможно существование особого режима. Как мы писали в одной из предыдущих работ, «УОП для нелинейных объектов в расширенном пространстве координат Rn+2 применяются к редуцированной задаче энергосбережения (1), (5):
Из выражения для детерминанта и элементов матрицы Dn+2 = (B1 B2 … Bn Bn+1 Bn+2), вычисленных с учетом замены U на y по рекуррентному соотношению (4), в общем случае получается множество особых управлений y и его производных по времени в функции координат редуцированного объекта
а после обратной замены переменных управления в редуцированной задаче на переменные управления в исходной задаче
получается дифференциальное уравнение для оптимального программного управления в функции координат исходного объекта»8. А именно:
Постоянные интегрирования в общем решении системы дифференциальных уравнений объекта (1) и дифференциального уравнения для оптимального программного управления (6) определяются из решения двухточечной граничной задачи для заданных состояний выхода объекта и его (n – 1) производных в начальный и конечный фиксированный момент времени T. Получаемое управление и соответствующие фазовые траектории являются трансцендентными функциями от времени, и замкнутая система может быть реализована с помощью нелинейных функциональных преобразователей, нестационарной обратной связи или путем аппроксимации траекторий и управления [2; 14–16].
Что касается второй задачи, стабилизации, то алгоритмы быстродействия и энергосбережения не обеспечивают устойчивость конечного состояния. Алгоритм программного движения может гарантировать устойчивость, поэтому для его эффективности по быстродействию и энергосбережению предлагается ввести в желаемый закон движения выходной координаты объекта такой параметр τ, который противоречиво влияет на время переходного процесса T и амплитуду управляющего воздействия U. Таким параметром, исходя из физических соображений по второму закону Ньютона, может быть мера инерционности процесса. Если взять апериодическое звено первого порядка с дифференциальной связью , то T прямо пропорционально τ и составляет (3÷4)τ, а амплитуда U обратно пропорциональна τ. Тогда выбор параметра τ дает эффективные решения для значений T и U, так как нельзя уменьшить значение одного, не увеличивая значение другого9. Найти оптимальные значения быстродействия T и энергии E как интеграла от квадрата управления U можно из экстремума энергии E по параметру τ при переходе из начального состояния xнач в конечное xкон за время T по условию
(7)
Если при вычисленном по (7) τопт выполняются ограничения по управлению и координатам, то в задаче программного движения с критерием (2) при
(8)
обеспечивается квазиоптимальное (в смысле локальной оптимальности, в отличие от глобальной оптимальности при оптимальном программном управлении) управление по быстродействию и энергозатратам.
Устойчивость квазиоптимальной системы можно проверить по функции Ляпунова методами качественной теории дифференциальных уравнений или критериев устойчивости [17]. Структура замкнутой квазиоптимальной системы для линейных объектов управления содержит линейные стационарные обратные связи с коэффициентами передачи, зависящими от параметра τопт.
Результаты исследования
Покажем применение предложенных на основе особого оптимального управления подходов в решении задач оптимального и квазиоптимального управления линейным объектом, динамика которого описывается линейным дифференциальным уравнением
(9)
где коэффициент усиления и постоянная времени равны 1, на управление и состояние наложены ограничения 0 ≤ U ≤ 1, 0 ≤ x1 ≤ 1. Граничные условия x1нач = 0, x1кон = xк. Выбор объекта объясняется меньшей громоздкостью вычислений и большей прозрачностью результатов для оценки вычислительных, временных и энергетических затрат и оценки устойчивости получаемых решений.
Задача оптимального энергосберегающего управления
УОП в расширенном пространстве координат R3 применяются к редуцированной задаче
Вычисляются векторы Bj, j = 1, 2, 3, по соотношению (4), и образуется матрица D3:
Из det D3 = 0 определяется особое управление в редуцированной задаче y – x0 = 0, после перехода к оптимальному управлению в исходной задаче решается система дифференциальных уравнений
Общим решением системы дифференциальных уравнений объекта и управления являются
Постоянные интегрирования определяются из граничных условий. Пусть x1(0) = 0, x1кон = 0,5 при T = 2. Графики переходных процессов для координаты x1*(t) = 0,069(et + e–t) и оптимального программного управления U *(t) = 0,138e t приведены на рисунке 1. При этом затраты энергии что на 30,7 % меньше, чем энергозатраты в разомкнутой системе с управлением U*(t) = 0,5 на интервале времени t [0, 3]. Но аналитически выразить U* через x1* из-за трансцендентности невозможно, к тому же нужно будет дополнительно решать задачу стабилизации конечного состояния.
Fig. 1. Trajectories x1 * and U* of optimal programmed control
Задача квазиоптимального управления
Рассмотрим задачу программного движения для объекта (9) с критерием
учитывающим переход из x1(0) = 0 в x1(T → ∞) = xк c минимальными квадратичными отклонениями от переходного процесса апериодического звена с U = xк.
Применим УОП в расширенном пространстве координат R3 к поставленной задаче
После вычисления векторов Bj, j = 1, 2, 3, по соотношению (4) образуем матрицу D3 = (B1 B2 B3):
из элементов которой
определяются в функции времени особая траектория, совпадающая с желаемой по критерию (10), и особое управление, являющееся оптимальным в задаче программного движения
(11)
После исключения времени в последних находится управление в замкнутой системе, линейно зависящее от координаты x1:
(12)
На рисунке 2 приведена графическая иллюстрация связей между переменными в уравнении (12). Из уравнений (11) и (12) следует, что начальная амплитуда управления U(x1(0) = 0) обратно пропорциональна параметру τ. При τ ≤ τмин (рис. 2) начальный участок управления в программном движении, как в задаче быстродействия, принадлежит ограничению на управление U = 1 и чем больше xк, тем при больших τмин выходим на это ограничение, что следует и из связи . Это означает, что при больших диапазонах заданных граничных условий в программном движении исчезает эффект энергосберегающего управления и оно приближается к оптимальному управлению по быстродействию [2].
Fig. 2. Relationships of variables in the program motion
Величина энергии, затрачиваемой на переход из x1(0) = 0 в xк за время T = 3τ при управлении (13), равна
Минимум энергии Е по параметру τ определится из условия
откуда τопт = 0,58. Отметим, что полученный параметр τопт не зависит от xк. Зависимость энергии E от параметра τ при x = 0,5 показана на рисунке 3. Спадающий в положительном направлении τ участок функции E(τ) характеризует эффективные по быстродействию и энергозатратам режимы [18]. Оптимальное в программном движении решение с τопт = 0,58 дает 9,3 % относительной экономии энергии, по сравнению с управлением в разомкнутой системе с τ = 1, что существенно ниже 30,7 % экономии энергии при оптимальном программном управлении, но при программном движении обеспечивается устойчивость конечного состояния.
При выборе xк > τмин, то есть, когда τмин > τопт (рис. 2, 3), переходим на восходящую ветвь функции E(τ), быстродействие и энергозатраты непротиворечивы, их эффекты хотя и снижаются, но сохраняются по сравнению с τ = 1. Отметим, что выбор меньшего τ дает больший эффект по быстродействию или производительности установки, чем эффект по энергозатратам, что следует из слабой вогнутости кривой E(τ). При больших xк наблюдается более выраженный экстремум в зависимости E(τ). Графики переходных процессов в программном движении с τопт = 0,58 и τ = 1 для xк = 0,5 приведены на рисунке 4.
Fig. 3. Dependence of the energy E on the parameter τ in the program motion
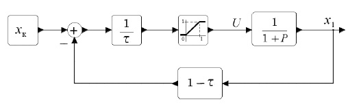
Структура позиционной системы управления, квазиоптимальной по быстродействию и энергозатратам, полученная из (12) с τопт и технически просто реализуемая, приведена на рисунке 5. Если граничные условия xк > τопт или τмин > τопт, то xк > τопт или τмин > τопт, то для ограничения амплитуды управления введено звено насыщения с линейным участком единичного наклона в диапазоне [0, 1].
Fig. 5. Structure of the positional control system
Непосредственное применение результатов данной работы можно показать на примере оптимального энергосберегающего управления сушильной камерой, приведенного в работе В. И. Ловчакова [2]. Хотя поведение объекта описывается дифференциальным уравнением второго порядка, для конкретных граничных условий можно построить адекватную модель первого порядка с помощью метода наименьших квадратов по кривой переходного процесса или частотных характеристик. Далее, применяя пошагово методику данной работы, можно в замкнутой устойчивой системе получить квазиоптимальное по энергозатратам и быстродействию управление, обеспечивающее 10–30 % экономии электроэнергии и в 1,5–2,0 раза большее быстродействие при корректном сравнении с управлением в разомкнутой системе, соответствующим конечному значению выходной координаты.
Обсуждение и заключение
В целом предлагаемый подход к построению оптимальных систем по критериям быстродействия, энергосбережения и точности на основе УОП для нелинейных объектов в расширенном пространстве координат показал свою результативность и эффективность. Квазиоптимальность по энергозатратам и быстродействию в устойчивом динамическом режиме достигается тем, что в задаче программного движения выполняется минимизация энергии по параметру программного движения, противоречиво влияющему на время переходного процесса и амплитуду управляющего воздействия. Формализованность подхода предполагает его использование в задачах многокритериальной оптимизации и системах автоматизированного проектирования.
В дальнейшем предлагается применять подход к объектам большей размерности с учетом структурно-функциональных особенностей, различных представлений дифференциальных уравнений объекта в нормальной форме или с отражением физической сущности. Не решена задача достижения предельного энергосбережения, получаемого при оптимальном программном управлении, с алгоритмом и структурой устройства определения частных решений и обеспечивающего устойчивость замкнутой стационарной системы.
Результаты работы могут быть использованы при исследовании динамических режимов электроустановок в промышленных и сельскохозяйственных тепловых процессах (жилые и нежилые помещения, теплицы, печи, сушильные камеры, автоклавы); в светотехнических установках; на транспорте в автономных электроприводах; в мехатронных и робототехнических устройствах, например для обеспечения мягкого пуска электроприводов, и в других процессах и установках [19; 20].
1 Браславский И. Я., Ишматов Э. Ш., Поляков В. Н. Энергосберегающий асинхронный электропривод : учеб. пособие для вузов. М. : Издательский центр «Академия», 2004. 256 с. URL: http://log-in.ru/books/energosberegayushiiy-asinkhronnyiy-elektroprivod-braslavskiiy-i-ya-ishmatov-z-sh-polyakov-v-n-tekhnika/ (дата обращения: 20.01.2022) ; Автоматическое управление электротермическими установками : учебник для вузов / А. Д. Свенчанский [и др.]. М. : Энергоатомиздат, 1990. 416 с. URL: https://search.rsl.ru/ru/record/01001521815 (дата обращения: 20.01.2022).
2 Математическая теория оптимальных процессов / Л. С. Понтрягин [и др.]. М. : Наука, 1969. 384 с. URL: https://search.rsl.ru/ru/record/01006401476 (дата обращения: 20.01.2022).
3 Габасов Р., Кириллова Ф. М. Особые оптимальные управления. М. : Наука, 1973. 314 с. URL: https://litgu.ru/knigi/tehnicheskie_nauki/308008-osobye-optimalnye-upravleniya.html (дата обращения: 20.01.2022).
4 Макеева А. В. Оптимальное по быстродействию управление одной линейной системой второго порядка // Сборник докладов всерос. науч.-практ. конф. с междунар. участием «Фундаментальные и прикладные проблемы механики, математики, информатики». Пермь : ФГБОУ ВО «Пермский государственный национальный исследовательский университет», 2015. С. 68–71. URL: https://elibrary.ru/item.asp?id=24231084&pff=1 (дата обращения: 24.01.2022).
5 Олейников В. А. Оптимальное управление технологическими процессами в нефтяной и газовой промышленности. Л. : Недра, 1982. 216 с. URL: https://search.rsl.ru/ru/record/01001089712 (дата обращения: 24.01.2022) ; Хорошавин В. С., Зотов А. В. Особое оптимальное управление нелинейными объектами : моногр. Киров : Науч. изд-во ВятГУ, 2019. 219 с. URL: https://www.elibrary.ru/item.asp?id=37523319 (дата обращения: 24.01.2022).
6 Атанс М., Фалб П. Оптимальное управление. М. : Машиностроение, 1968. 734 с. URL: https://search.rsl.ru/ru/record/01005951981 (дата обращения: 24.01.2022).
7 Петров Ю. П. Оптимальное управление электроприводом с учетом ограничений по нагреву. Л. : Энергия, 1971. 144 с. URL: https://search.rsl.ru/ru/record/01007323479 (дата обращения: 24.01.2022).
8 Хорошавин В. С., Зотов А. В. Особое оптимальное управление нелинейными объектами.
9 Евланов Л. Г. Теория и практика принятия решений. М. : Экономика, 1984. 176 с. URL: https://hram-sveta.ru/9189-teoriya-i-praktika-prinyatiya-resheniy.html (дата обращения: 24.01.2022).
Об авторах
Валерий Степанович Хорошавин
Вятский государственный университет
Автор, ответственный за переписку.
Email: khoroshavin@vyatsu.ru
ORCID iD: 0000-0002-4355-3866
ResearcherId: G-5298-2018
профессор кафедры электропривода и автоматизации промышленных установок, доктор технических наук
Россия, 610000,г. Киров, ул. Московская, д. 36Виктор Степанович Грудинин
Вятский государственный университет
Email: grudinin@vyatsu.ru
ORCID iD: 0000-0002-1615-6195
ResearcherId: G-5550-2018
доцент кафедры электропривода и автоматизации промышленных установок, кандидат технических наук
Россия, 610000,г. Киров, ул. Московская, д. 36Список литературы
- Доманов В. И., Певчева Е. В. Анализ основных узлов энергосистемы тепличного комбината и способов снижения энергозатрат // Промышленные АСУ и контроллеры. 2017. № 3. С. 3–10. URL:https://www.elibrary.ru/item.asp?id=29115500 (дата обращения: 20.01.2022).
- Ловчаков В. И. Аппроксимационный подход к синтезу систем регулирования на основе оптимального программного управления // Известия Тульского государственного университета. Технические науки. 2017. № 3. С. 225–236. URL: https://clck.ru/h7ejP (дата обращения: 20.01.2022).
- Nikol’skii M. S. Singular Sets of Extremal Controls in Optimal Control Problems // Proceedings of the Steklov Institute of Mathematics. 2019. Vol. 304. P. 236–240. doi: https://doi.org/10.4213/tm3970
- Цинцадзе З. Вычисление особого оптимального управления в квазилинейных управляемых системах со смешанными ограничениями // Компьютерные науки и телекоммуникации. 2005. № 2.С. 71–73. URL: http://gesj.internet-academy.org.ge/ru/list_aut_artic_ru.php?b_sec=&list_aut=1248 (дата обращения: 24.01.2022).
- Gao Z. On Discrete Time Optimal Control: A Closed-Form Solution // Proceeding of the 2004 American Control Conference (30 June – 2 July 2004). Boston, 2004. P. 52–58. URL: https://folk.ntnu.no/skoge/prost/proceedings/acc04/Papers/0009_WeA02.6.pdf (дата обращения: 24.01.2022).
- A Simple Discrete-Time Tracking Differentiator and Its Application to Speed and Position Detection System for a Maglev Train / H. Zhang [et al.] // IEEE Transactions on Control Systems Technology.2018. Vol. 27, Issue 4. P. 1728–1734. doi: https://doi.org/10.1109/TCST.2018.2832139
- Филимонов Н. Б. Проблема качества процессов управления: смена оптимизационной парадигмы // Мехатроника, автоматизация, управление. 2010. № 12. С. 2–10. URL: https://www.elibrary.ru/item.asp?id=15510887 (дата обращения: 20.01.2022).
- Табунщиков Ю. А., Бродач М. М. Экспериментальное исследование оптимального управления расходом энергии // АВОК. 2006. № 1. С. 32–36. URL: https://www.abok.ru/for_spec/articles.php?nid=3132 (дата обращения: 20.01.2022).
- Плешивцева Ю. Э., Попов А. В., Дьяконов А. И. Двумерная задача оптимального по типовым критериям качества управления процессом сквозного индукционного нагрева // Вестник Самарского государственного технического университета. Серия «Технические науки». 2014. № 2.С. 148–163. URL: https://journals.eco-vector.com/1991-8542/article/view/19977/16230 (дата обращения: 25.01.2022).
- Панферов В. И., Анисимова Е. Ю., Нагорная А. Н. Об оптимальном управлении тепловым режимом зданий // Вестник Южно-Уральского государственного университета. Серия: Энергетика.2007. № 20. С. 3–9. URL: https://cyberleninka.ru/article/n/ob-optimalnom-upravlenii-teplovym-rezhimom-zdaniy (дата обращения: 20.01.2022).
- Biyik E., Kahraman A. A Predictive Control Strategy for Optimal Management of Peak Load,Thermal Comfort, Energy Storage and Renewables in Multi-Zone Buildings [Электронный ресурс] //Journal of Building Engineering. 2019. Vol. 25. URL: https://app.dimensions.ai/details/publication/pub.1117015634 (дата обращения: 20.01.2022).
- Хорошавин В. С. Сравнение алгоритмов управления тепловым процессом по быстродействию и на минимум ресурсов // Известия Тульского государственного университета. Технические науки. 2020. № 7. С. 211–216. URL: https://www.elibrary.ru/item.asp?id=43895260 (дата обращения:20.01.2022).
- Хорошавин В. С., Грудинин В. С. Синтез программного движения на основе особого оптимального управления // Мехатроника, автоматизация, управление. 2021. Т. 22, № 8. С. 395–403. doi:https://doi.org/10.17587/mau.22.395-403
- Дубровин В. С., Никулин В. В. Способ построения управляемых функциональных генераторов // Наукоемкие технологии в космических исследованиях Земли. 2013. Т. 5, № 2. С. 16–23.URL: https://www.elibrary.ru/item.asp?id=22897398 (дата обращения: 24.01.2022).
- Moreau L., Aeyels D. Periodic Output Feedback Stabilization of Single-Input Single-Output Continuous-Time Systems with Odd Relative Degree // Systems & Control Letters. 2004. Vol. 51, Issue 5.P. 395–406. doi: https://doi.org/10.1016/j.sysconle.2003.10.001
- Шумафов М. М. Стабилизация линейных систем управления. Проблема назначения полюсов. Обзор // Вестник СПбГУ. Математика. Механика. Астрономия. 2019. Т. 6, № 4. C. 564–591. doi:https://doi.org/10.21638/11701/spbu01.2019.404
- Борковская И. М., Пыжкова О. Н. Задачи управления и стабилизации для гибридных динамических систем // Труды БГТУ. Серия 3: Физико-математические науки и информатика. 2018. № 2.С. 5–9. URL: https://elibrary.ru/item.asp?id=36367417 (дата обращения: 24.01.2022).
- Колесников В. Л., Бракович А. И., Жук Я. А. Решение многокритериальных задач, оптимальных по Парето // Труды БГТУ. Серия 3: Физико-математические науки и информатика. 2014.№ 6. С. 128–130. URL: https://elibrary.ru/item.asp?id=27707178 (дата обращения: 24.01.2022).
- Mahmoud M. S., AL-Sunni F. M. Control and Optimization of Distributed Generation Systems.Cham : Springer, 2015. 578 p. doi: https://doi.org/10.1007/978-3-319-16910-1_1 ( дата обращения: 20.01.2022).
- Review of Optimum Temperature, Humidity, and Vapour Pressure Deficit for Microclimate Evaluation and Control in Greenhouse Cultivation of Tomato: a Review / R. R. Shamshiri [et al.] // International Agrophysics. 2018. Issue 32. P. 287–302. doi: https://doi.org/10.1515/intag-2017-0005
Дополнительные файлы
























