FUNCTIONAL DIVERSIFICATION OF THE CAROTENOID-CIS-TRANS-ISOMERASES CrtISO, CrtISO-L1, AND CrtISO-L2 IN TOMATO SPECIES (SOLANUM, SECTION LYCOPERSICON)
- Authors: Efremov G.I.1, Shchennikova A.V.1, Kochieva E.Z.1
-
Affiliations:
- Federal State Institution “Federal Research Centre “Fundamentals of Biotechnology” of the Russian Academy of Sciences"
- Issue: Vol 508, No 1 (2023)
- Pages: 9-13
- Section: Articles
- URL: https://medbiosci.ru/2686-7389/article/view/135661
- DOI: https://doi.org/10.31857/S2686738922600686
- EDN: https://elibrary.ru/MOKOFP
- ID: 135661
Cite item
Full Text
Abstract
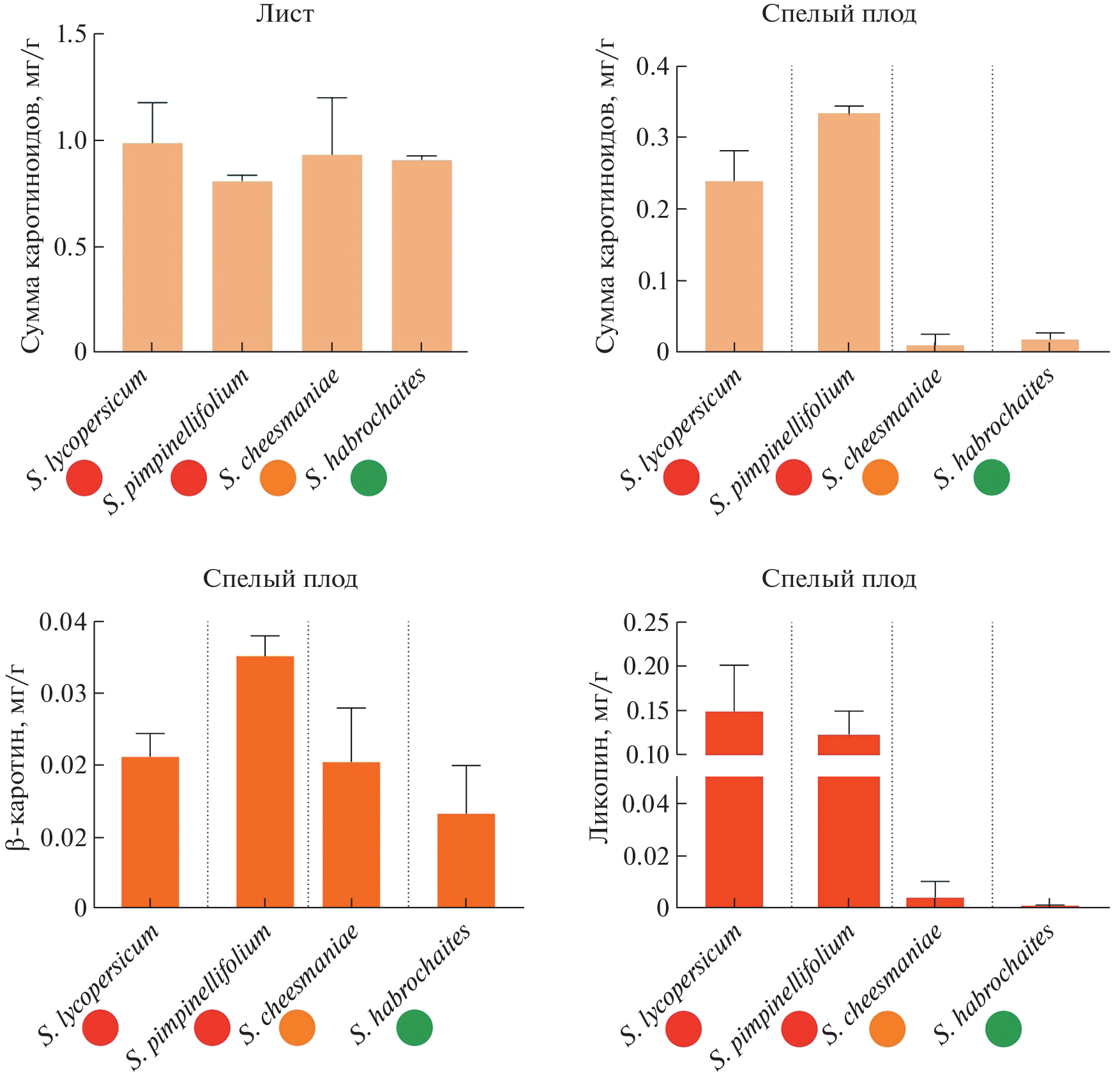
The expression of the genes of carotenoid-cis-trans isomerases CrtISO, CrtISO-L1 and CrtISO-L2 was studied in comparison with the content of carotenoids in tomato species with different ripe fruit colors: green (Solanum habrochaites), yellow (S. cheesmaniae) and red (S. pimpinellifolium and S. lycopersicum). More ancient origin of CrtISO-L2 was shown in relation to CrtISO and CrtISO-L1. A similar content of total carotenoids (leaves) and β-carotene (ripe fruits) was found between the samples. Unlike fruits of S. habrochaites and S. cheesmaniae, red fruits accumulated lycopene and 20-30 times more total carotenoids. The highest level of transcripts both in leaves and in ripe fruits was detected for CrtISO. The CrtISO-L1 and CrtISO-L2 were transcribed high in leaves and low in fruits, except for the high expression of CrtISO-L2 in S. lycopersicum fruits. No relationship was observed between the content of carotenoids and the level of gene expression in the fruit. In the leaves, a positive correlation between the amount of carotenoids and the levels of CrtISO-L1 and CrtISO-L2 transcripts was found.
About the authors
G. I. Efremov
Federal State Institution “Federal Research Centre “Fundamentals of Biotechnology” of the Russian Academy of Sciences"
Author for correspondence.
Email: gleb_efremov@mail.ru
Russian Federation, Moscow
A. V. Shchennikova
Federal State Institution “Federal Research Centre “Fundamentals of Biotechnology” of the Russian Academy of Sciences"
Email: gleb_efremov@mail.ru
Russian Federation, Moscow
E. Z. Kochieva
Federal State Institution “Federal Research Centre “Fundamentals of Biotechnology” of the Russian Academy of Sciences"
Email: gleb_efremov@mail.ru
Russian Federation, Moscow
References
- Sandmann G. // New Phytol. 2021. V. 232. P. 479–493.
- Wei J., Xu M., Zhang D., et al. // Acta Biochim. Biophys. Sin. (Shanghai). 2010. V. 42. P. 457.
- Duduit J.R., Kosentka P.Z., Miller M.A., et al. // Hortic. Res. 2022. V. 9. Article uhac084.
- Valenta K., Kalbitzer U., Razafimandimby D., et al. // Sci. Rep. 2018. V. 8. P. 14302.
- Fantini E., Falcone G., Frusciante S., et al. // Plant Physiol. 2013. V. 163. P. 986.
- Efremov G.I., Dzhos E.A., Ashikhmin A.A., et al. // Russ. J. Plant. Physiol. 2022. V. 69. P. 352–362.
- Isaacson T., Ronen G., Zamir D., et al. // Plant Cell. 2002. V. 14. P. 333.
- Peralta I.E., Spooner D.M., Knapp S. // Systematic Botany Monographs. 2008. V. 84. P. 1–186.
- Sato S., Tabata S., Hirakawa H., et al. // Nature. 2012. V. 485. P. 635–641.
- Osorio C.E. // Front. Plant Sci. 2019. V. 10. Article 1235.
- D'Andrea L., Rodriguez-Concepcion M. // Front. Plant Sci. 2019. V. 10. Article 1071.
- Kilambi H.V., Manda K., Rai A., et al. // J. Exp. Bot. 2017. V. 68. P. 4803-4819.
- Pinheiro T.T., Peres L.E.P., Purgatto E., et al. // Plant Cell Rep. 2019. V. 38. P. 623.
- Park H., Kreunen S.S., Cuttriss A.J., et al. // Plant Cell. 2002. V. 14. P. 321–332.
Supplementary files





