Amino acid fund of blood serum of European migrating species of Chiroptera: Vespertilio murinus (Linnaeus, 1758) and Pipistrellus nathusii (Keyserling et blasius, 1839) of the Ural fauna
- Authors: Kovalchuk L.A.1, Mishchenko V.A.1,2, Chernaya L.V.1, Bolshakov V.N.1
-
Affiliations:
- Institution of Science Institute of Plant and Animal Ecology of the Ural Branch of the Russian Academy of Sciences
- Federal Research Institute of Viral Infections “Virom” of the Russian Consumer Protection Agency
- Issue: Vol 516, No 1 (2024)
- Pages: 20-25
- Section: Articles
- URL: https://medbiosci.ru/2686-7389/article/view/263912
- DOI: https://doi.org/10.31857/S2686738924030046
- EDN: https://elibrary.ru/VUDULU
- ID: 263912
Cite item
Full Text
Abstract
The amino acid pool of free amino acids in the blood serum of two European migratory bat species: V. murinus and P. nathusii living in the Urals was studied. Statistically significant differences were noted in the formation of the main metabolic groups of free amino acids in yearlings of migratory species: GGAA, NEAA, EAA, SAA (p < 0.05). In yearlings of the P. nathusii: GGAA predominates – 79.7% and EAA – 49.4%, and in the yearlings of the V. murinus: GGAA predominates – 74.9% and NEAA – 58.4%. Comparative analysis showed no differences between V. murinus and P. nathusii in the percentage of AAA and BCAA (p > 0.05). Statistically significant differences were noted in the formation of metabolic groups of amino acids in the blood of yearlings of migratory species of bats and the resident species of pond bat (p < 0.05).
Keywords
Full Text
ВВЕДЕНИЕ
Фаунистический комплекс рукокрылых Уральского региона включает типично европейские виды: P. nathusii и V. murinus, обитающие в короткий летний период в регионе с континентальным климатом, но совершающие сезонные дальние миграции от летних убежищ к местам зимовки [1, 2]. И, если районы размножения двухцветных кожанов и лесных нетопырей приурочены географически к северо-восточным и восточным местам обитания, то пути мигрирующих популяций этих видов в районы зимовки пролегают в южном и юго-западном направлениях [3–6]. Протяженность миграционных путей может достигать 3000–4000 км [7, 8]. Основными движущими силами миграции являются экологические и биогеографические факторы, такие как сезонность, пространственно-временное распределение ресурсов, среда обитания в условиях глобальных изменений, хищничество и конкуренция [9]. Экстремальные климатические флуктуации, нарушая или изменяя фенологию миграционного поведения рукокрылых, активно влияют на их выживание и размножение [10]. Миграционный период летучих мышей представляет собой одну из наиболее серьезных физиологических проблем, учитывая, что в жизни животных стратегия миграции требует повышенных энергетических затрат [11].
Исследования эколого-физиологических процессов, обеспечивающих миграционную стратегию и устойчивость адаптации мигрирующих видов рукокрылых к биотическим и абиотическим факторам среды, имеют решающее значение при разрешении проблем как сохранения биоразнообразия и рационального использования ресурсов животного мира, так и при осуществлении долговременного мониторинга численности и устойчивости популяций рукокрылых. Авторами ранее показано, что летучие мыши, как и все позвоночные, обладающие достаточно развитой кровеносной и иммунной системами, демонстрируют реакцию на воздействие широкого спектра факторов окружающей среды [12, 13]. Поскольку особое значение в поддержании гомеостаза приобретает оптимальное состояние аминокислотного пула, защищающего организм от повреждения и обеспечивающего возможности энергетического и пластического обмена, цель данного исследования – оценка фонда свободных аминокислот крови мигрирующих видов летучих мышей.
МАТЕРИАЛЫ И МЕТОДЫ
Отлов и содержание животных (n = 34) в лаборатории осуществлялись с соблюдением международных принципов Хельсинской декларации о гуманном отношении к животным, используемых для экспериментальных и научных целей [14]. Протоколы с использованием экспериментальных животных утверждены комиссией по биоэтике Института экологии растений и животных УрО РАН (протокол № 11 от 29.04.2022). Животные отловлены паутинными сетями во второй декаде июля – в период выведения потомства на побережье оз. Большой Кисегач (Челябинская область).
Исследуемая группа животных представлена сеголетками двух видов летучих мышей, совершающих дальние сезонные миграции: нетопырь лесной (P. nathusii) – перелетный вид, обитающий в лесной и лесостепной зонах Южного Урала и по всему региону, и двухцветный кожан (V. murinus) – перелетный и широко распространенный на Урале вид [1]. Для сравнения использовали прудовую ночницу (Myotis dasycneme, Boie, 1825) – оседлый вид, формирующий крупные выводковые колонии на Среднем и Южном Урале [1]. Животных без признаков заболеваний доставляли в лабораторию в отдельных контейнерах в день отлова.
Учитывая функциональную роль свободных аминокислот (АК) в регуляции основных метаболических процессов биосинтеза белка, нуклеиновых кислот, гормонов, а также в иммунологических процессах [15], оценка состояния аминокислотного фонда в тканях летучих мышей позволяет оценить его значение в адаптационных возможностях мигрирующих видов при перманентных климатических флуктуациях в местах обитания. Методы пробоподготовки и выполнения анализа свободных аминокислот в сыворотке крови летучих мышей с помощью ионообменной жидкостной хроматографии на автоматическом анализаторе AAA-339M (Mikrotechna, Чехия) подробно описаны в работе [16]. Рассчитывали суммарные концентрации и процентное содержание заменимых аминокислот (ЗАК): аланин, аспарагин, аспарагиновая кислота, глутамин, глутаминовая кислота, глицин, серин, тирозин, цистеин, пролин; незаменимых (НАК): треонин, валин, лизин, лейцин, изолейцин, метионин, фенилаланин, аргинин, гистидин, триптофан; гликогенных (ГГАК): глицин, треонин, глутаминовая кислота и глутамин, аланин, аргинин, гистидин, серин, валин, аспарагин и аспарагиновая кислота, цистеин, метионин, триптофан, пролин; серосодержащих (ССАК): цистеин, метионин, таурин; АК с разветвленной углеродной цепью (АКРУЦ): валин, лейцин, изолейцин; ароматических аминокислот (АРАК): фенилаланин, тирозин. Выполнен анализ 384 аминокислотных проб. Результаты обработаны с использованием пакета лицензионных прикладных программ “Statistica for Windows V 10.0”. Метод главных компонент (PCA) реализован посредством статистической среды R (R 3.1.2, пакет “Ade4” [17].
РЕЗУЛЬТАТЫ И ИХ ОБСУЖДЕНИЕ
Качественный состав аминокислотного спектра сыворотки крови исследуемых рукокрылых представлен 22 АК. По суммарной концентрации эссенциальных и заменимых аминокислот значимых различий между самками и самцами subadultus не отмечено (p < 0.05). Суммарный вклад свободных АК в сыворотке крови мигрирующего вида лесного нетопыря 2701.3 ± 555.4 мкмоль/л, что в 1.8 раза выше, чем у двухцветного кожана 1488.5 ± 161.7 мкмоль/л и в 2.9 раза выше, чем у оседлого вида – прудовой ночницы 934.7 ± 67.7 мкмоль/л (табл. 1). Повышенный фонд АК обеспечивает как субстратную поддержку обменных процессов, так и участие в формировании иммунной системы летучих мышей, мигрирующих на дальние расстояния. По содержанию метаболических групп в процентах от общего пула АК у лесного нетопыря преобладают ГГАК – 79.7 % и НАК – 49.4 %, а у двухцветного кожана ГГАК – 74.9 % и ЗАК – 58.4 % в сравнении с прудовыми ночницами (табл. 1).
Таблица 1. Метаболические группы АК (%) и содержание свободных аминокислот (мкмоль/л) в сыворотке крови летучих мышей
АК, % | I. V. murinus | II. P. nathusii | III. M. dasycneme | Permutation ANOVA Permutation Tukey’s | ||
± SEboot [95% CIboot] | I–II | I–III | II–III | |||
Гликогеннные (ГГАК) | 74.89 ± 1.02 [72.85–76.79] | 79.69 ± 0.40* [78.95–80.50] | 64.01 ± 2.9*▲ [57.51–69.81] | Pr(|Fran| ≥ 20.77) = 0.0001 | ||
0.01 | 0.01 | 0.02 | ||||
Заменимые (ЗАК) | 58.36 ± 1.34 [55.70–60.86] | 44.37 ± 2.24* [40.55–49.04] | 47.93 ± 2.73* [41.84–53.43] | Pr(|Fran| ≥14.07) = 0.001 | ||
0.002 | 0.01 | 0.42 | ||||
Незаменимые (НАК) | 32.02 ± 1.65 [28.84–35.26] | 49.42 ± 2.97* [43.43–54.66] | 37.01 ± 0.97 [35.07–39.17] | Pr(|Fran| ≥ 15.29) = 0.001 | ||
0.002 | 0.15 | 0.03 | ||||
Серосодержащие (ССАК) | 8.99 ± 0.53 [7.95–10.04] | 6.02 ± 0.67* [4.56–7.17] | 14.44 ± 1.81*▲ [10.75–18.46] | Pr(|Fran| ≥ 14.43) = 0.0001 | ||
0.01 | 0.02 | 0.02 | ||||
С разветвленной углеродной цепью (АКРУЦ) | 6.43 ± 1.01 [4.55–8.50] | 8.51 ± 1.15 [4.97–12.02] | 15.18 ± 0.56*▲ [14.05–16.42] | Pr(|Fran| ≥ 12.13) = 0.002 | ||
0.23 | 0.01 | 0.02 | ||||
Ароматические (АРАК) | 4.75 ± 0.64 [3.53–6.02] | 3.03 ± 0.46 [2.15–3.97] | 7.92 ± 0.68*▲ [6.54–9.44] | Pr(|Fran| ≥ 8.17) = 0.01 | ||
0.11 | 0.05 | 0.02 | ||||
Фонд свободных АК, мкмоль/л | 1488.5 ± 161.7 [1206.8–1834.3] | 2701.3 ± 555.4 [1614.7–3781.7] | 934.7 ± 67.7*▲ [790.4–1079.0] | Pr(|Fran| ≥ 4.83) = 0.02 | ||
0.05 | 0.05 | 0.04 | ||||
Примечание: * – статистически значимые различия: I и II, I и III (p < 0.05); ▲ – статистически значимые различия: II и III (p < 0.05); ± SEboot – среднее арифметическое и ошибка среднего бутстреп-распределения; [95% CIboot] – доверительный интервал бутстреп-распределения.
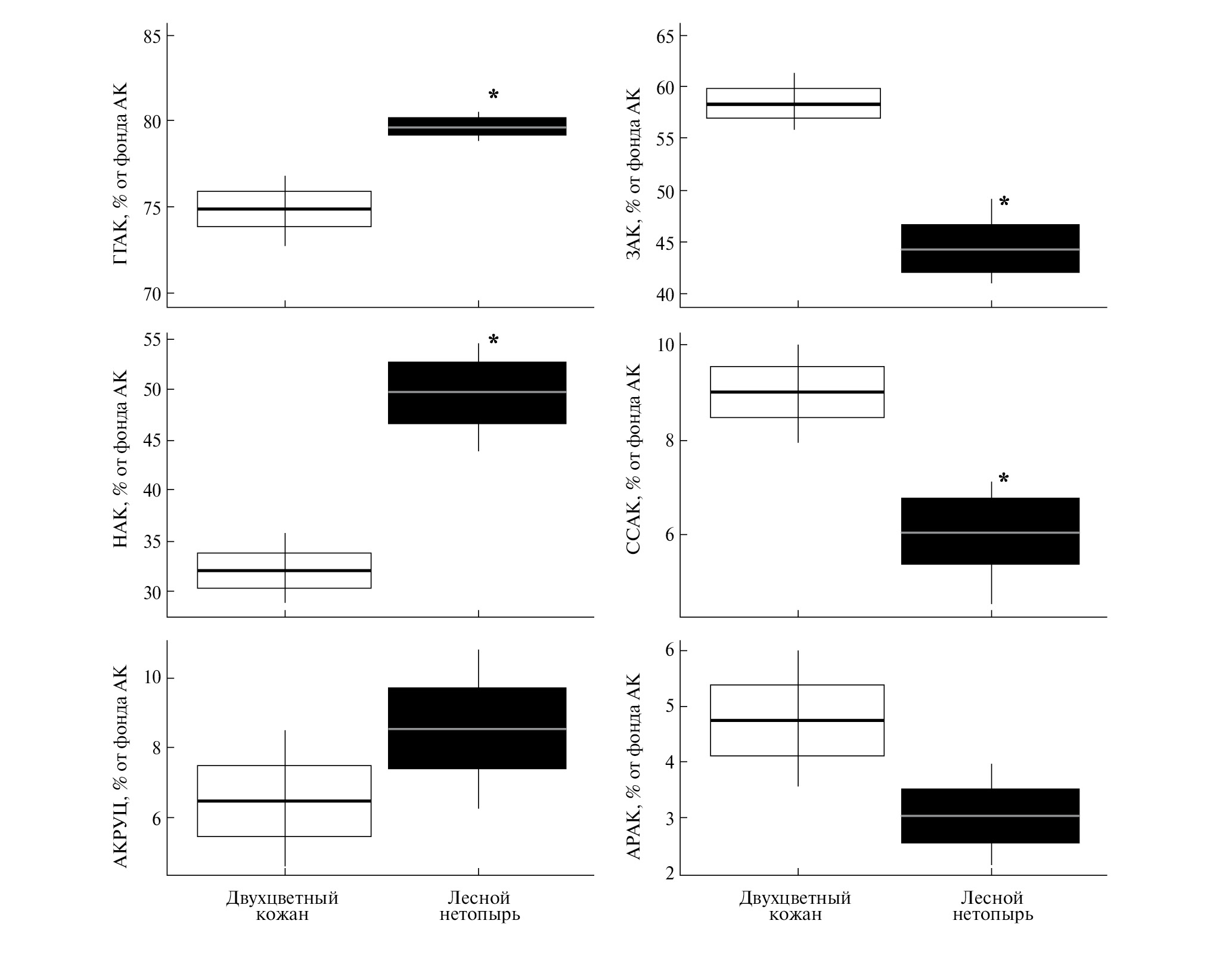
Отмечены значимые видовые различия и в процентном отношении по содержанию метаболической группы – серосодержащих аминокислот у P. nathusii и V. murinus (p = 0.01) (рис. 1). В сыворотке крови лесного нетопыря и двухцветного кожана отсутствуют значимые различия по содержанию АК с разветвленной углеродной цепью (p = 0.23) и ароматических АК (p = 0.11), являющихся как дополнительным источником энергии и обладающих иммуномодулирующими свойствами, так и энергетическими субстратами для синтеза биологически активных веществ и медиаторов, что, несомненно, отражает единство специфических путей метаболизма мигрирующих рукокрылых (рис. 1). Высокий уровень метаболически активного гликогенного пула P. nathusii (2147 мкмоль/л) и V. murinus (1114 мкмоль/л) демонстрирует потребность перелетных летучих мышей в энергетических субстратах на поддержание гомеостаза, обеспечивающего гормональную поддержку роста, развития и репродуктивных функций животных (рис. 1). Суммарный вклад гликогенных аминокислот лизина и глицина, необходимых для стимуляции гормона роста и ускоренного заживления ран, в крови перелетных видов составляет у V. murinus (323.3 мкмоль/л) и P. nathusii (394.6 мкмоль/л), что более чем в 2 раза превышает содержание этих АК у представителя оседлого вида (163.7 мкмоль/л). Лизин, выступающий в качестве антиоксиданта, участвует в регуляции иммунологических функций и в процессах детоксикации ксенобиотиков [15]. Сравнительный анализ показал в сыворотке крови повышенное (в 2 раза) суммарное содержание АК (глицин, глутаминовая кислота и цистеин), обеспечивающих биосинтез трипептида – глутатиона, участвующего в детоксикации продуктов метаболизма перелетных видов летучих мышей в сравнительном варианте с прудовой ночницей [18].
Рис. 1. Содержание метаболических групп аминокислот (% от суммарного фонда) в сыворотке крови перелетных видов летучих мышей. Середина боксплота – среднее арифметическое, границы боксплота – ошибка среднего, “усы” боксплота – доверительный интервал бутстреп-распределения; * – статистически значимые различия между группами “двухцветный кожан” – “лесной нетопырь”.
Следует отметить у животных наличие полного спектра функционально значимых незаменимых АК. У лесного нетопыря в сыворотке крови содержание изолейцина в 2.6 раза, триптофана в 3.1 раза, аргинина в 8.0 раз, валина в 3.7 раза, лейцина в 2.2 раза выше, чем у двухцветного кожана. Аминокислоты с разветвленной углеродной цепью: валин, изолейцин, лейцин участвуют в синтезе белка, способствуют восстановлению костной и мышечных тканей и поддержанию метаболических процессов в мышцах животных при длительных перелетах [15]. Повышенное содержание треонина (в 2.1–2.6 раза) наблюдали в крови исследованных перелетных видов: двухцветного кожана (103.2 мкмоль/л) и лесного нетопыря (130.8 мкмоль/л) по сравнению с прудовой ночницей (49.4 мкмоль/л). Треонин, принимая участие в синтезе коллагена и эластина, обеспечивает комплексное восстановление поврежденных мышечных волокон. Содержание аргинина (84.3 мкмоль/л) в сыворотке крови у двухцветного кожана в 6 раз выше, чем у ночницы прудовой (14.4 мкмоль/л), а в плазме крови нетопыря лесного содержание аргинина (686.2 мкмоль/л) составляет 25.4 % от фонда свободных АК. Как незаменимая аминокислота, аргинин увеличивает мышечную массу и уменьшает объем жировой ткани, способствуя нормализации состояния соединительной ткани рукокрылых при подготовке к длительному сезонному полету [19]. Повышенное содержание аргинина сопровождается стимуляцией фагоцитарной активности нейтрофилов и образованием ряда цитокинов [20]. Повышенное содержание отмечено в сыворотке крови V. murinus и P. nathusii триптофана, влияющего на углеводный обмен в организме и модулирующего иммунологические функции через ряд метаболитов, включая серотонин и мелатонин [15, 19]. Наряду с выявленными едиными закономерностями метаболизма функционально значимых АК при поддержании гомеостаза, показана и определенная разнонаправленность в мобилизации механизмов аварийного регулирования аминокислотного фонда мигрирующих и оседлых летучих мышей. Опираясь на публикации исследователей и полученные нами результаты, можно полагать, что формирование фонда свободных аминокислот и их дериватов у летучих мышей регламентировано биотическими и абиотическими факторами среды.
Метод многомерного анализа (PCA) плазмы крови позволяет визуализировать степень содержания метаболических групп свободных аминокислот, модифицирующих основные метаболические потоки в организме трех видов рукокрылых, обитателей уральской фауны, подтверждая результаты представленного исследования (рис. 2). При 95 % доверительном интервале показано, что 52.2 % общей дисперсии метаболических групп аминокислотного фонда плазмы крови рукокрылых приходится на первую главную компоненту (РС1), а 35.6 % – на вторую (РС2) (рис. 2). По представленным переменным первая и вторая главные компоненты обусловливают значимую пространственную дифференциацию основных метаболических групп аминокислот крови двухцветного кожана и лесного нетопыря относительно прудовой ночницы. Первая компонента разделяет кластер прудовой ночницы и группы двухцветного кожана и лесного нетопыря. Показаны высокие коэффициенты корреляции с РС1 и значимый вклад в компоненту ГГАК (31.44 %), ССАК (25.2 %), АРАК (23.20 %), АКРУЦ (17.80 %) (рис. 2).
Рис. 2. Метаболические группы аминокислот сыворотки крови (% от общего фонда АК) летучих мышей в пространстве первых двух главных компонент. PC1, PC2 – оси главных компонент, % – процент дисперсии данных, объясненных главной компонентой; стрелки отражают корреляцию главных компонент с исходными показателями; эллипсы представляют собой 95% доверительные области.
Большой процент гликогенных аминокислот приходится в основном на двухцветного кожана и лесного нетопыря (рис. 2). Значимый вклад во вторую главную компоненту отмечен для ЗАК (44.36 %) и НАК (43.39 %) при достаточно высоких коэффициентах корреляции с РС2. Вторая главная компонента четко разделяет группировки двухцветного кожана и лесного нетопыря. Заменимые аминокислоты преобладают в сыворотке крови двухцветного кожана, незаменимые – у лесного нетопыря (рис. 2).
В исследовании наследственно обусловленных модуляций свободных аминокислот как необходимого энергетического и пластического фонда в сыворотке крови летучих мышей выявлены существенные резервные возможности азотистого метаболизма мигрирующих видов: двухцветного кожана и лесного нетопыря. Проиллюстрирована определяющая роль гликогенных аминокислот (ГГАК) и пула незаменимых АК, способствующих высокой резистентности организма к сезонной изменчивости ежегодного жизненного цикла в период длительной трансконтинентальной миграции.
Можно предположить, что видовая специфика метаболических групп свободных аминокислот сыворотки крови двухцветного кожана и лесного нетопыря обеспечивает миграционную стратегию и адаптивную устойчивость животных как к выживанию при длительных сезонных перелетах, так и их успешному освоению новых мест обитания.
Таким образом, полученные результаты исследований параметров аминокислотного спектра сыворотки крови двухцветного кожана и лесного нетопыря могут быть приняты в качестве референтных при мониторинге популяций перелетных видов летучих мышей и при их использовании как видов-биоиндикаторов.
БЛАГОДАРНОСТИ
Авторы выражают признательность с. н. с. Южно-Уральского федерального научного центра минералогии и геоэкологии УрО РАН, к. б. н. Снитько В.П. за существенную помощь во время проведения полевых исследований.
КОНФЛИКТ ИНТЕРЕСОВ
Авторы данной работы заявляют, что у них нет конфликта интересов.
ИСТОЧНИК ФИНАНСИРОВАНИЯ
Данная работа финансировалась за счет средств бюджета Института экологии растений и животных УрО РАН в рамках государственного задания (№ 122021000091–2). Никаких дополнительных грантов на проведение или руководство данным конкретным исследованием получено не было.
СОБЛЮДЕНИЕ ЭТИЧЕСКИХ СТАНДАРТОВ
Отлов и содержание животных в лаборатории осуществлялись с соблюдением международных принципов Хельсинской декларации о гуманном отношении к животным, используемых для экспериментальных и научных целей [14]. Протокол с использованием экспериментальных животных был одобрен комиссией по биоэтике Института экологии растений и животных УрО РАН (протокол № 11 от 29.04.2022).
About the authors
L. A. Kovalchuk
Institution of Science Institute of Plant and Animal Ecology of the Ural Branch of the Russian Academy of Sciences
Author for correspondence.
Email: kovalchuk@ipae.uran.ru
Russian Federation, Yekaterinburg
V. A. Mishchenko
Institution of Science Institute of Plant and Animal Ecology of the Ural Branch of the Russian Academy of Sciences; Federal Research Institute of Viral Infections “Virom” of the Russian Consumer Protection Agency
Email: kovalchuk@ipae.uran.ru
Russian Federation, Yekaterinburg; Yekaterinburg
L. V. Chernaya
Institution of Science Institute of Plant and Animal Ecology of the Ural Branch of the Russian Academy of Sciences
Email: kovalchuk@ipae.uran.ru
Russian Federation, Yekaterinburg
V. N. Bolshakov
Institution of Science Institute of Plant and Animal Ecology of the Ural Branch of the Russian Academy of Sciences
Email: kovalchuk@ipae.uran.ru
Academician of the RAS
Russian Federation, YekaterinburgReferences
- Большаков В.Н., Орлов О.Л., Снитько В.П. Летучие мыши Урала. Екатеринбург: Академкнига, 2005.
- Strelkov P.P. Seasonal Distribution of Migratory Bat Species (Chiroptera, Vespertilionidae) in Eastern Europe and Adjacent Territories // Myotis. 1999. V. 37. P. 7–25.
- Fleming T.H., Eby P. Ecology of Bat Migration // Bat ecology (Kunz T. H., Fenton M. B., eds.). Chicago, Illinois: University of Chicago Press, 2003. P. 156–208.
- Dietz C., Kiefer A. Bats of Britain and Europe. London: Bloomsbury Publishing, 2016.
- Pētersons G. Seasonal Migrations of North-Eastern Populations of Nathusius’ Bat Pipistrellus Nathusii (Chiroptera) // Myotis. 2004. V. 41–42. P. 29–56.
- Sachanowicz K., Ciechanowski M., Tryjanowski P., et al. Wintering Range of Pipistrellus Nathusii (Chiroptera) in Central Europe: Has the Species Extended to the North-East Using Heat Islands? // Mammalia. 2018. V. 83(3). P. 260–271.
- Alcalde J. T., Jiménez M., Brila I., et al. Transcontinental 2200 km Migration of a Nathusius’ Pipistrelle (Pipistrellus Nathusii) across Europe // Mammalia. 2021. V. 85(2). P. 161–163.
- Vasenkov D., Sidorchuk N., Desmet J. F., et al. Bats Can Migrate Farther Than It Was Previously Known: A New Longest Migration Record by Nathusius’ Pipistrelle Pipistrellus Nathusii (Chiroptera: Vespertilionidae) // Mammalia. 2022. V. 86(5). P. 524–526.
- Alerstam T., Hedenström A., Åkesson S. Long-distance Migration: Evolution and Determinants // Oikos. 2003.V. 103(2). P. 247–260.
- Frick W.F., Reynolds D.S., Kunz T.H. Influence of Climate and Reproductive Timing on Demography of Little Brown Myotis Myotis Lucifugus // Journal Animal Ecology. 2010. V. 79(1). P 128–136.
- Maggini I., Noakes M.J., Hawke L.A., et al. Ecophysiological Adaptations Associated with Animal Migration // Frontiers in Ecology and Evolution. Behavioral and Evolutionary Ecology. 2022. V. 10. P. 1–5.
- Kovalchuk L., Mishchenko V., Chernaya L., et al. Haematological Parameters of Pond Bats (Myotis Dasycneme Boie, 1825 Chiroptera: Vespertilionidae) in the Ural Mountains // Zoology and Ecology. 2017. V. 27(2). P. 168–175.
- Ковальчук Л.А., Мищенко В.А., Черная Л.В. и др. Особенности иммуногематологических параметров перелетного (Vespertilio murinus Linnaeus, 1758) и оседлого (Myotis dasycneme Boie, 1825) видов рукокрылых фауны Урала // Доклады РАН. Науки о жизни. 2021. Т. 501. № 6. С. 543–546.
- Yarri D. The Ethics of Animal Experimentation. Oxford: Oxford University Press, 2005.
- Гараева С.Н., Редкозубова Г.В., Постолати Г.В. Аминокислоты в живом организме. Кишенев: Типография Академии Наук Молдовы, 2009.
- Ковальчук Л.А., Мищенко В.А., Черная Л.В. и др. Эколого-физиологические параметры Myotis dasycneme (Mammalia: Chiroptera: Vespertilionidae) фауны Урала // Nature Conservation Research. Заповедная наука. 2023. Т. 8(4). С. 94–111.
- Chessel D., Dufour A.B., Thioulouse J. The ade4 package – I: One-table methods // R News. 2004. № 4. P. 5–10.
- Forman H.J., Zhang H., Rinna A. Glutathione: Overview of its Protective Roles, Measurement, and Biosynthesis // Molecular Aspects of Medicine. 2009. V. 30(1–2). P. 1–12.
- Wu G. Functional Amino Acids in Growth, Reproduction, and Health // Advances in Nutrition. 2010. V. 1(1). P. 31–37.
- Barbul A. Arginine and Immune Function // Nutrition. 1990. V. 6(1). P. 53–62.
Supplementary files




