ENSEMBLE MODELLING OF ICE SHEET DYNAMICS IN THE LAST GLACIAL CYCLE
- Authors: Ploskov A.N.1,2, Eliseev A.V.1,2,3, Mokhov I.I.1,2
-
Affiliations:
- M.V. Lomonosov Moscow State University, Department of Physics
- A.M. Obukhov Institute of Atmospheric Physics, Russian Academy of Sciences
- Kazan (Volga Region) Federal University
- Issue: Vol 510, No 1 (2023)
- Pages: 99-105
- Section: CLIMATIC PROCESSES
- Submitted: 14.10.2023
- Published: 01.05.2023
- URL: https://medbiosci.ru/2686-7397/article/view/135856
- DOI: https://doi.org/10.31857/S2686739722602873
- EDN: https://elibrary.ru/FFJOIY
- ID: 135856
Cite item
Full Text
Abstract
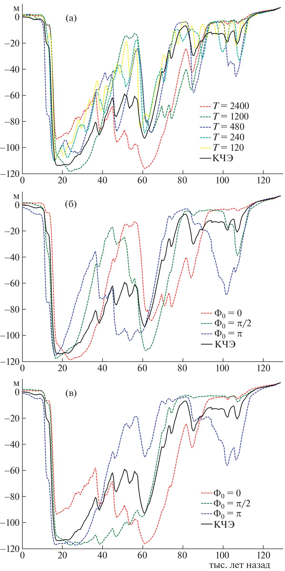
Ensemble simulations (taking into account uncertainty of paleoclimate reconstructions) with a models for ice sheets dynamics for the last glacial cycle (last 128 kyr) are carried out. The model realistically reproduces spatial structure of major ice sheets and heights of their domes in the Northern hemisphere as well as the associated changes in global sea level. Perturbations with a sufficiently large amplitude applied to the initial paleoreconstruction result in marked differences of the modelling, in particular, durimg the Last Glacial maximu and during 58–51 kyr before present (the initial part of MIS3). According to our simualtions, the uncertainty of temperature reconstructions durng the last galcial cycle is limited to 2°C in agreement with existing estimates.
About the authors
A. N. Ploskov
M.V. Lomonosov Moscow State University, Department of Physics; A.M. Obukhov Institute of Atmospheric Physics, Russian Academy of Sciences
Author for correspondence.
Email: ploskovanton92@mail.ru
Russian, Moscow; Russian, Moscow
A. V. Eliseev
M.V. Lomonosov Moscow State University, Department of Physics; A.M. Obukhov Institute of Atmospheric Physics, Russian Academy of Sciences; Kazan (Volga Region) Federal University
Email: ploskovanton92@mail.ru
Russian, Moscow; Russian, Moscow; Russian, Kazan
I. I. Mokhov
M.V. Lomonosov Moscow State University, Department of Physics; A.M. Obukhov Institute of Atmospheric Physics, Russian Academy of Sciences
Email: ploskovanton92@mail.ru
Russian, Moscow; Russian, Moscow
References
- Calov R., Ganopolski A. Multistability and hysteresis in the climate-cryosphere system under orbital forcing // Geophys. Res. Lett. 2005. V. 32 (21). L21717.
- Berger A., Loutre M.F. Modeling the 100-kyr glacial-interglacial cycles // Glob. Planet. Change. 2010. V. 72 (4). P. 275–281.
- Vizcaino M. Ice sheets as interactive components of Earth System Models: progress and challenges // Wiley Interdiscip. Rev. Clim. Change. 2014. V. 5 (4). P. 557–568.
- Рыбак О.О., Володин Е.М. Использование энерговлагобалансовой модели для включения криосферного компонента в климатическую модель. Часть I. Описание модели и расчеты климатических полей приземной температуры воздуха и осадков // Метеорология и гидрология. 2015. (11). С. 33–45.
- Fyke J., Sergienko O., Löfverström M., Price S., Lena-erts J.T.M. An overview of interactions and feedbacks between ice sheets and the Earth system // Rev. Geophys. 2018. V. 56 (2). P. 361–408.
- Мохов И.И., Малышкин А.В. Аналитическая оценка критического уровня глобального потепления для перехода от роста к уменьшению массы Антарктического ледового щита // ДАН. 2011. Т. 436 (3). С. 397–400.
- Climate Change 2021: The Physical Science Basis. Contribution of Working Group I to the Sixth Assessment Report of the Intergovernmental Panel on Climate Change / Masson-Delmotte V., Zhai P., Pirani A., Connors S.L., Pèan C., Berger S., Caud N., Chen Y., Goldfarb L., Gomis M.I., Huang M., Leitzell K., Lonnoy E., Matthews J.B.R., Maycock T.K., Waterfield T., Yelekęi O., Yu R., Zhou B. Cambridge: Cambridge University Press, 2022. 2406 c.
- Аржанов М.М., Мохов И.И. Оценки степени устойчивости континентальных реликтовых метангидратов в оптимуме голоцена и при современных климатических условиях // Доклады Академии наук. 2017. № 4. С. 456–460.
- Rahmstorf S., Crucifix M., Ganopolski A., Goosse H., Kamenkovich I., Knutti R., Lohmann G., Marsh R., Mysak L.A., Wang Z., Weaver A.J. Thermohaline circulation hysteresis: A model intercomparison // Geophys. Res. Lett. 2005. V. 32 (23). L23605.
- Annan J.D., Hargreaves J.C., Mauritsen T. A new global surface temperature reconstruction for the Last Glacial Maximum // Clim. Past. 2022. V. 18. № 8. P. 1883–1896.
- Tierney J.E., Zhu J., King J., Malevich S.B., Hakim G.J., Poulsen C.J. Glacial cooling and climate sensitivity revisited // Nature. 2020. V. 584 (7822). P. 569–573.
- Neff B., Born A., Stocker T.F. An ice sheet model of reduced complexity for paleoclimate studies // Earth Syst. Dyn. 2016. V. 7 (2). P. 397–418.
- Schoof C., Hewitt I. Ice-sheet dynamics // Ann. Rev. Fluid Dyn. 2013. V. 45. P. 217–239.
- Spratt R.M., Lisiecki L.E. A Late Pleistocene sea level stack // Clim. Past. 2016. V. 12 (4). P. 1079–1092.
- Malakhova V.V., Eliseev A.V. The role of heat transfer time scale in the evolution of the subsea permafrost and associated methane hydrates stability zone during glacial cycles // Glob. Planet. Change. 2017. V. 157. P. 18–25.
- Simms A.R., Lisiecki L., Gebbie G., Whitehouse P.L., Clark J.F. Balancing the last glacial maximum (LGM) sea-level budget // Quaternary Sci. Rev. 2019. V. 205. P. 143–153.
- Kleman J., Fastook J., Ebert K., Nilsson J., Caballero R. Pre-LGM Northern Hemisphere ice sheet topography // Clim. Past. 2013. V. 9 (5). P. 2365–2378.
Supplementary files






