MODERN CHANGES OF THE URBAN HEAT ISLAND IN MOSCOW
- Авторлар: Lokoshchenko M.A.1,2, Enukova E.A.3, Alekseeva L.I.1
-
Мекемелер:
- Lomonosov Moscow State University, Faculty of Geography
- Obukhov Institute of Atmospheric Physics, Russian Academy of Sciences
- Dubna State University
- Шығарылым: Том 511, № 2 (2023)
- Беттер: 243-253
- Бөлім: GEOGRAPHY
- ##submission.dateSubmitted##: 14.10.2023
- ##submission.datePublished##: 01.08.2023
- URL: https://medbiosci.ru/2686-7397/article/view/135875
- DOI: https://doi.org/10.31857/S2686739723600728
- EDN: https://elibrary.ru/WGLFVM
- ID: 135875
Дәйексөз келтіру
Толық мәтін
Аннотация
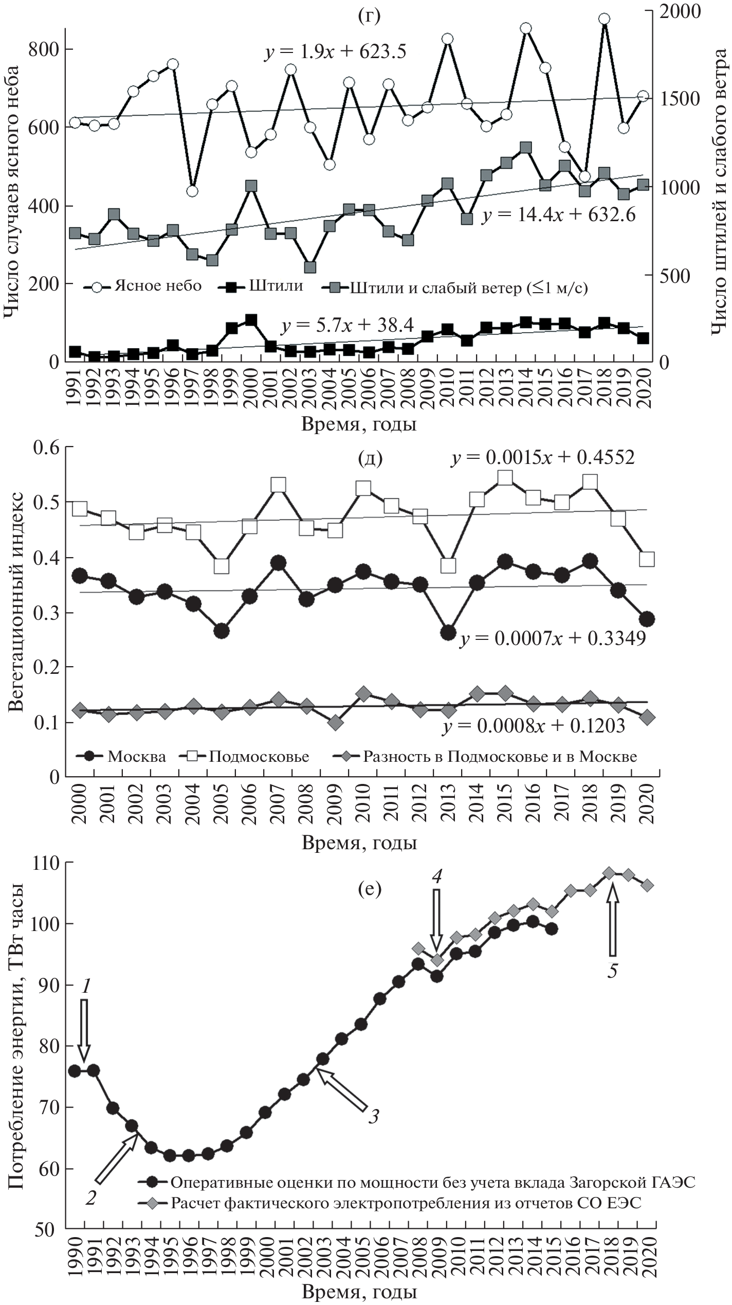
According to the data of weather stations for the period 1991–2020, as well as radiometric measurements of the surface temperature TS of Moscow region by Terra and Aqua satellites for the period 2000–2020, the daily course and long-term changes of the urban ‘heat island’ (UHI) of Moscow in the field of both the air temperature T at a height of 2 m and the TS were studied. For the analysis of TS 1379 satellite images were selected for 21 years in clear and slightly cloudy sky, when the UHI analysis is possible. The average annual values of TS were obtained using their normalization for separate seasons. The daily course of Moscow UHI in the air is weakly expressed, especially when compared with the countryside not only of the city center, but also of its entire area: only the weakening of this phenomenon in autumn and in the pre-winter season (from October to December) is reliable. According to satellite data, the ‘surface UHI’ is marked by a maximum in June-July with the strongest vegetation development, a minimum in autumn when leaves fall, and intermediate values in winter and spring. The rapid growth of T took place in 1991–2020 both in Moscow and in rural areas with approximately the same speed. As a result, there have been no statistically significant directional changes in the UHI intensity both in the air and on the surface as a whole over the past 20–30 years. The probable reasons for the general stabilization of the UHI in Moscow are both natural and socio-economic factors: the approximate constancy of the probability of clear weather (which promotes the strengthening of this phenomenon) and the vegetative activity in the region (which determines heat losses due to transpiration by plants), slowing down and stopping the growth of the population and energy consumption of the city, as well as its deindustrialization. Additional reasons are the gradual relocation of residents to the new outskirts of Moscow, as well as quarantine restrictions due to the COVID-19 pandemic in 2020.
Авторлар туралы
M. Lokoshchenko
Lomonosov Moscow State University, Faculty of Geography; Obukhov Institute of Atmospheric Physics, Russian Academy of Sciences
Хат алмасуға жауапты Автор.
Email: loko@geogr.msu.su
Russian, Moscow; Russian, Moscow
E. Enukova
Dubna State University
Email: loko@geogr.msu.su
Russian, Moscow, Dubna
L. Alekseeva
Lomonosov Moscow State University, Faculty of Geography
Email: loko@geogr.msu.su
Russian, Moscow
Әдебиет тізімі
- Барталев С.А. и др. Спутниковое картографирование растительного покрова России. М.: ИКИ РАН, 2016. С. 208.
- Ландсберг Г.Е. Климат города. Л.: Гидрометеоиздат, 1983. С. 248.
- Локощенко М.А., Енукова Е.А. Остров тепла в Московском регионе по спутниковым данным. // Метеорология и гидрология. 2020. № 7. С. 53–64.
- Локощенко М.А., Алексеева Л.И. О годовом ходе “острова тепла” Москвы и влиянии на него карантинных мероприятий при пандемии коронавируса в 2020 г. // Известия РАН серия ФАО. 2022, Т. 58. № 2. С. 194–204.
- Макоклюев Б.И. Анализ и планирование энергопотребления. М.: Энергоатомиздат, 2008, С. 296.
- Эколого-климатические характеристики атмосферы Москвы в 2018 г. по данным Метеорологической обсерватории МГУ имени М.В. Ломоносова / Под ред. М. А. Локощенко. М.: МАКС Пресс, 2019. 277 с. ISBN: 978-5-317-06312-2.
- Andrade C., Fonseca A., Santos J.A. Climate Change Trends for the Urban Heat Island Intensities in Two Major Portuguese Cities. // Sustainability. 2023. 15. 3970.
- Durowoju O.S., Samuel K.J., Anibaba B.W. Temporal analysis of Urban Heat Island in Ibadan metropolis // Osun Geographical Review. 2021. 4. P. 170–180.
- EOS Data Products Handbook. Ed. by Parkinson C.L. & Greenstone R. // NASA Goddard Space Flight Center Greenbelt. Maryland, USA. 2000. 2. 253 P.
- Kataoka K., Matsumoto F., Ichinose T., Taniguchi M. Urban warming trends in several large Asian cities over the last 100 years // Science of the Total Environment. 2009. 407. P. 3112–3119.
- László E., Bottyán Z., Szegedi S. Long-term changes of meteorological conditions of urban heat island development in the region of Debrecen, Hungary // Theoretical and Applied Climatology. 2015.
- Levermore G.J., Parkinson J.B., Laycock P.J., Lindley S. The Urban Heat Island in Manchester 1996–2011 // Building Services Engineering Research and Technology. 2014. 36 (3).
- Lokoshchenko M.A. Urban heat island and urban dry island in Moscow and their centennial changes // J. Appl. Meteorol. and Climatology. 2017. 56 (10). P. 2729–2745.
- Lokoshchenko M.A., Alekseeva L.I. Influence of Meteorological Parameters on the Urban Heat Island in Moscow // Atmosphere. 2023. 14. 3. 507.
- Oke T.R., Mills G., Christen A., Voogt J.A. Urban Climates. Cambridge, UK: University Press, 2017. 525 P.
- Qunfang Huang, Lin Li, Yuqi Lu, Yanjuan Yang and Mingcai Li. The roles of meteorological parameters in Shanghai’s nocturnal urban heat island from 1979 to 2013 // Theoretical and Applied Climatology. 2020. 141. P. 285–297.
- Ünal Y.S., Sonuç C.Y., Incecik S., Topcu H.S., Diren-Üstün D.H., Temizöz H.P. Investigating urban heat island intensity in Istanbul // Theoretical and Applied Climatology. 2020. 139. P. 175–190.
Қосымша файлдар






