СO2-rich thermal waters of the Neitrino Research Gallery (Baksan Neitrino Observatory, North Caucasus)
- Authors: Aydarkozhina A.S.1, Lavrushin V.Y.1, Ermakov A.V.1, Chelnokov G.A.1, Zhang L.2
-
Affiliations:
- Geological Institute of the Russian Academy of Sciences
- Northwest Institute of Eco-Environment and Resources China Academy of Sciences
- Issue: Vol 515, No 1 (2024)
- Pages: 63-73
- Section: GEOCHEMISTRY
- Submitted: 30.09.2024
- Accepted: 30.09.2024
- Published: 15.07.2024
- URL: https://medbiosci.ru/2686-7397/article/view/265090
- DOI: https://doi.org/10.31857/S2686739724030094
- ID: 265090
Cite item
Full Text
Abstract
Isotope-geochemical (δ2H and δ18O in H2O, δ15N in N2, δ13C in CO2 and CH4,3He/4He) studies of СО2-rich thermal waters (up to 41.3oC) which located in 4 km long tonnel of the Baksan Neutrino Observatory were carried out. The δ13C(CO2) values (–8.0… –6.4‰) indicate the volcanogenic genesis of CO2. The presence of the volcanogenic component is also emphasized by high values of 3He/4He (346 × 10–8). At the same time, nitrogen present in the gas phase is characterized by values of δ15N = +1.3‰, indicating its crustal genesis. In the tunnel, an elevated concentration of CH4 (up to 0.5%) was noted in one of the gas outlets. This methane is characterized by high δ13C values (–33.5 and –26.0‰), which, in general, are typical for other СО2-rich springs of the Eastern Elbrus Mountains. In contrast with the other CO2-rich springs of the North Caucasus, which are practically indistinguishable from surface waters in terms of δ2H and δ18O values, the CO2-rich thermal springs of the tunnel are noticeably enriched in heavy oxygen isotope (18O). This is a consequence of oxygen exchange between the waters and the host rocks at elevated temperatures. In the δ18O-δ2H diagram, the figurative points of thermal waters form a trend that reflects the mixing of isotope-light infiltration waters with isotope-heavy waters.
Full Text
Даная работа продолжает начатые ранее исследования углекислых минеральных источников, связанных с Эльбрусской областью развития плиоцен-четвертичного вулканизма на Большом Кавказе [3–5, 13]. Несмотря на проведение многолетних исследований, часть источников не была опробована. В частности, до сих пор не были исследованы геохимическими методами горячие источники, выходящие в забое исследовательской горизонтальной штольни, в которой располагается Баксанская нейтринная обсерватория Института ядерных исследований РАН.
Штольня пробита в правом борту р. Баксан напротив одноименного поселка. Ее протяженность составляет ~4200 м. В забое штольни разгружаются горячие углекислые источники с температурой воды до 41.3°С. Такая высокая температура воды, с одной стороны, может быть обусловлена тем, что штольня находится примерно над глубинным вулканическим очагом вулкана Эльбрус, маркируемым изотопно-гелиевой (3Не/4Не) аномалией в газах углекислых источников Приэльбрусья [4]. С другой – такая температура может быть следствием вскрытия вод на значительной глубине в толще пород. Забой штольни, где отмечены выходы горячих источников, перекрыт почти двухкилометровой толщей кристаллических пород палеозойского возраста (граниты, гнейсы, кристаллические сланцы). Поэтому такая температура подземных вод может отражать естественные геотермические условия в недрах горы Курмутау (3945 м). По самым приблизительным оценкам, с учетом рельефа и положению забоя штольни на глубине около 2 км от ее вершины, градиент температуры в этом районе может составлять порядка 18–20оС/км, без учета конвективного теплопереноса.
До настоящего времени в Приэльбрусье изучались только поверхностные углекислые источники, в водном балансе которых доминировали исключительно атмогенные воды [1]. Это связано с тем, что выходы углекислых вод Большого Кавказа приурочены к трещинно-жильным системам, что обеспечивает их сильное разбавление инфильтрационными водами вблизи поверхности земли. Изучение же углекислых терм в штольне Нейтрино дает уникальную возможность исследовать геохимическую специфику углекислых флюидных систем, циркулирующих в глубине массивов кристаллических пород вблизи магматической камеры вулкана Эльбрус.
Важной проблемой также является происхождение метана, присутствующего в виде примеси в газах углекислых источников Приэльбрусья. Концентрации метана здесь иногда достигает ~15% [3, 13]. В газах источников, располагающихся в верхнем течении р. Баксан, ближайших к вулкану Эльбрус и штольне Нейтрино, концентрации СН4 достигают 0.2…2.3%. Этот метан характеризуется значениями δ13С(СН4) от –32 до –17.2‰, которые с удалением от вулкана Эльбрус снижаются до –55… –58‰ [3–5]. Анализ закономерностей распределения концентраций и значений δ13С в СН4 позволил предположить его коровый генезис. Роль магматической активности в данном случае сводится к формированию температурной магматогенной аномалии, в области воздействия которой и формируется изотопно-тяжелый метан (вероятно, за счет процессов обмена в системе “СО2-СН4”).
В штольне также помимо собственно нейтринного телескопа находится несколько лабораторий, осуществляющих мониторинг вулканической и сейсмической активности вулкана Эльбрус. Однако каких-либо геохимических исследований, подтверждающих наличие/отсутствие разгрузки вулканогенных флюидов в штольне до сих пор не проводилось.
МАТЕРИАЛЫ И МЕТОДЫ ИССЛЕДОВАНИЯ
Работа выполнена на основе результатов экспедиционных работ, проведенных в 2021 г и 2022 г. в Северном Приэльбрусье (рис. 1). Было проведено газо-гидрохимическое опробование 15 углекислых источников (табл. 2), два из которых находились в штольне Нейтрино (табл. 1).
Таблица 1. Геохимические характеристики воды и газовой фазы термальных источников штольни Нейтрино
№, компонент | N1-21* | N2-21* | №, компонент | N1-21* | N2-21* |
t, °С | 33.6 | 41.3 | δ17О, ‰ | −4.52 | −4.64 |
рН | 6.83 | 6.80 | δ18О, ‰ | −8.45 | −8.73 |
Eh | 92 | –68 | δ2Н, ‰ | −83.9 | −85.7 |
HCO3–, мг/л | 3172 | 3904 | 17O-exc, ppm | −54 | −27 |
Cl–, мг/л | 2283 | 2219 | δ13C(CH4), ‰ | −26.0, −33.5 ** | – |
F–, мг/л | 0.37 | 0.41 | δ13C(CO2), ‰ | −8.0, −6.4** | −7.3 |
B, мкг/л | 294375 | 266808 | δ15N, ‰ | +1.3 | – |
Na, мкг/л | 2137146 | 1889596 | 3Не/4Неизм. (× 10–8) | 295 | – |
Mg, мкг/л | 184808 | 162939 | 3Не/4Неиспр. (× 10–8) | 346 | – |
Al, мкг/л | 131 | <1 | 4Не/20Ne | 1.203 | – |
Si, мкг/л | 58006 | 53395 | Ar, % | 0.127 | 0.086 |
S, мкг/л | 2980 | 942 | O2, %*** | 0.06 | 0.037 |
K, мкг/л | 207060 | 182384 | N2, % | 1.83 | 0.92 |
Ca, мкг/л | 116792 | 285892 | Не, % | 0.001 | 0.0017 |
Mn, мкг/л | 47.2 | 59.6 | СН4, % | 0.39 | 0.036 |
Fe, мкг/л | <1 | 1200 | СО, % | 0.002 | 0.0029 |
Ge, мкг/л | 118 | 119 | CO2, % | 97.11 | 98.60 |
Br, мкг/л | 8074 | 7477 | |||
Sr, мкг/л | 2027 | 4424 | |||
Ba, мкг/л | 4139 | 6389 |
* N1-21 – термальное озеро в забое штольни, N2-21 – выход минеральной воды с t = 41.3оC в стенке штольни, ~20 м от озера, для этой пробы газовый анализ приведен по отбору декабря 2022 г.
** Пробы отбирались в июле 2021 и декабре 2022 г.
*** Небольшой фон кислорода связан с особенностью ввода газовой пробы в хроматограф через кран-дозатор. Его реальное присутствие в газах маловероятно.
Таблица 2. Изотопные характеристики кислорода и водорода поверхностных вод, углекислых и пресных источников Приэльбрусья
№ на рис. 1 | номер пробы | название пункта опробования | широта | долгота | δ17О, ‰ | δ18О, ‰ | δ2Н, ‰ | 17O-excess, ppm |
Минеральные источники | ||||||||
1 | В1-21 | Нарзан Терскол | 43.2525 | 42.5230 | −6.97 | −13.3 | −94.6 | 73 |
2 | В2-21 | Скв. Поляна Нарзанов | 43.2460 | 42.5614 | −7.30 | −13.9 | −98.3 | 66 |
3 | В2-2-21 | Поляна Нарзанов, нарзан | 43.2464 | 42.5622 | −7.28 | −13.9 | −98.4 | 75 |
4 | В3-21 | Верхний нарзан в с. Верхний Баксан | 43.3151 | 42.7566 | −5.01 | −9.57 | −72.5 | 53 |
5 | В4-21 | Нижний нарзан в с. Верхний Баксан | 43.3044 | 42.7389 | −5.71 | −10.7 | −73.8 | 75 |
6 | В5-21 | Скважина выше г. Тырныауз (левый берег р. Баксан) | 43.3701 | 42.8955 | −5.02 | −9.64 | −70.5 | 75 |
7 | В6-21 | Скважина на южной окраине г. Тырныауз | 43.3767 | 42.912 | −5.56 | −10.6 | −72.2 | 52 |
8 | В7-21 | Нарзан Тохана-Верхний | 43.4689 | 42.4427 | −5.13 | −9.81 | −62.8 | 64 |
9 | В8-21 | Нарзан Тохана-Нижний | 43.5236 | 42.4241 | −5.24 | −10 | −61.7 | 83 |
10 | В9-21 | Нарзан Шаушаиб | 43.5473 | 42.3551 | −5.04 | −9.65 | −55.0 | 72 |
11 | В10-21 | Нарзан Джилусу-верхний | 43.4332 | 42.5353 | −6.30 | −12 | −84.2 | 77 |
12 | В11-21 | Нарзан в Долине нарзанов | 43.6947 | 42.6804 | −4.73 | −9.07 | −58.2 | 71 |
13 | В12-21 | Нарзан Ингушли верхний | 43.4959 | 42.4789 | −4.84 | −9.25 | −56.7 | 49 |
Поверхностные и грунтовые воды | ||||||||
14 | В1р-21 | Ручей ниже ист. Адыл-су | 43.2496 | 42.6414 | −6.85 | −12.8 | −86.8 | −58 |
15 | В2р-21 | Ручей в пр. борту р. Баксан | 43.2519 | 42.6435 | −6.08 | −11.6 | −80.9 | 76 |
16 | б/н | Дождь | 43.5257 | 42.4289 | −2,72 | −5,2 | −23,3 | 79 |
17 | В7р-21 | Ручей в правом борту р. Тохана | 43.4785 | 42.4368 | −3.96 | −7.55 | −47.0 | 36 |
18 | В10-1р21 | Р. Малка выше слияния с р. Кизилкол | 43.4332 | 42.5348 | −7.66 | −14.3 | −92.8 | −69 |
19 | В10-2р-21 | Р. Кизилкол | 43.4334 | 42.5347 | −6.63 | −12.7 | −84.6 | 82 |
20 | В10-3р-21 | Ручей пр. приток Малки в районе ист. Джилысу | 43.4337 | 42.5384 | −6.62 | −12.7 | −85.9 | 79 |
21 | В10-4р-21 | Пресный родник | 43.5741 | 42.5785 | −4.68 | −8.76 | −55.4 | −44 |
22 | В11р-21 | Р. Хасаут | 43.6946 | 42.6800 | −4.50 | −8.38 | −53.0 | −69 |
23 | О-7-21W | Озеро, выше г. Тырныауз | 43.3940 | 42.8870 | −5.42 | −10.4 | −70.3 | 69 |
24 | IIIT-2-21W | Штольня № 2 ниже первой штольни | 43.3945 | 42.8626 | −5.46 | −10.5 | −70.2 | 70 |
25 | BT-3-21W | Р. Баксан, на въезде в г. Тырныауз напротив В5–21 | 43.3699 | 42.9005 | −6.78 | −12.9 | −83.6 | 38 |
26 | Z1-22 | Р. Баксан у подвесного моста в пос. Терскол | 43.2526 | 42.5129 | −8.84 | −16.74 | −112.8 | 32 |
27 | RO-1-21W | Озеро Рыбное в г. Тырныауз, | 43.3933 | 42.9183 | −6.86 | −12.9 | −83.2 | −46 |
28 | IIIT-1-21W | Штольня № 1W в районе г. Тырныауз | 43.3950 | 42.8617 | −5.65 | −10.7 | −70.6 | 29 |
Штольня Нейтрино располагается в Баксанском ущелье (Северный Кавказ), респ. Кабардино-Балкария в недрах горы Курмутау (3945 м) (рис. 1). Ее забой находится на удалении 22 км от восточной вершины вулкана Эльбрус. На вершине горы примерно над забоем штольни находится одноименный ледник. В начале 1970-х годов при проходке штольни среди мусковит-хлорит-кварцевых сланцев было вскрыто несколько выходов трещинно-жильных термальных (до 42оС) углекислых вод. Их выходы отмечены на расстоянии 3700, 4000 и 4200 м от входа в штольню и местами формируют довольно мощные наслоения травертинов [12]. В конце штольни сформировалось небольшое озеро, подпитываемое интенсивно газирующими на дне и в прибортовых трещинах выходами углекислых термальных (33.6°С) вод (табл. 1, проба N1-21). Самый высокотемпературный выход воды (41.3°С, проба N2-21, см. табл. 1) находится в левом борту штольни примерно в 20 м от озера.
Рис. 1. Схема опробования углекислых минеральных и пресных вод Приэльбрусья. 1 – углекислые источники; 2 – поверхностные воды; 3 – населенные пункты. Номера пунктов опробования соответствуют номерам в табл. 1 и 2.
В местах выходов минеральных вод были отобраны пробы воды и свободных газов. Из озера в конце штольни проба воды на микрокомпоненты отбиралась шприцом из трещины у левой стенки штольни. Проба газа – из выходов на дне озера. Для исследования вариаций изотопных характеристик воды по простиранию штольни отбирались пробы воды, высачивающейся из трещин в интервале пикетов 2640–4100. Для сравнительных изотопных исследований также отбирались пробы воды из естественных холодных углекислых источников Восточного и Северного Приэльбрусья, а также рек и ручьев (рис. 1).
При отборе проб воды с помощью стеклянных электродов измерялись рН и Eh. Измерения Eh выполнялись платиновым электродом, по- этому в результаты измерений вводилась поправка на “водородный электрод” (+180 мВ).
Пробы воды для определения концентраций микроэлементов фильтровались через фильтр 0.45 мкм в пластиковые боксы объемом 15 мл и консервировались концентрированной HNO3. Определения концентраций микрокомпонентов выполнялись методами ICP-MS и ICP-AES в Аналитическом центре ИПТМ РАН (г. Черноголовка).
Пробы воды, отобранные в 50 мл боксы, хранились в холодильнике без консервации и предназначались для определения концентраций ионов НСО3– и Сl– (выполнялись методом кислотного и AgNO3 титрования в химико-аналитической лаборатории ГИН РАН, г. Москва).
В таких же боксах без консервации хранилась вода, отобранная для определения изотопных характеристик Н и О. Определения значений δ2Н, δ18О и δ17О выполнялись в ЦКП ГИН РАН (г. Москва) на лазерном изотопном анализаторе Picarro 2170i. Результаты определений δ2Н, δ18О и δ17О приводятся в‰ относительно стандарта VSMOW. Из каждой пробы выполнялось 10 повторных определений изотопных характеристик О и Н воды и по этим данным давалась оценка среднеквадратичного отклонения по каждому показателю. Для δ18О и δ17О оно было не хуже ±0.05‰, а для δD – ±0.5‰. Значения δ17О использовались для расчета17О-эксцесса (ppm) по формуле:
17О-exc = (LN(δ17O/1000 + 1) – – 0.528×LN(δ18O/1000 + 1)) × 106
Надо отметить, что все проводимые ранее опробования минеральных источников и рек носили разовый характер и производились в летнее время. Поэтому масштабы сезонных вариаций δ2Н и δ18О были нам неизвестны. Для восполнения этого пробела в 2021–2022 гг. мы провели небольшие режимные исследования изотопных характеристик О и Н в термальном (41.3°С) источнике штольни (рис. 2).
Рис. 2. Результаты повторных замеров δ2Н, выполненных в термальном источнике (41.3°С), находящемся вблизи забоя штольни Нейтрино.
Они показали, что амплитуда вариаций δ2Н находилась в диапазоне 1‰, что соответствовало погрешности измерений δ2Н. Примерно такую же высокую стабильность изотопных характеристик воды показало повторное опробование, проведенное в июле и декабре 2022 г., ближайших к Эльбрусу углекислых источников (Поляна Нарзанов, Терскол и др.) и двух скважин в районе г. Тырныауза. Эти данные указывают на стабильность изотопного состава крупных углекислых источников, доказывая высокую представительность результатов разового опробования.
Определение химического состава свободной газовой фазы выполнялось в ЦКП ГИН РАН на газовом хроматографе Кристалл 5000 методом абсолютной калибровки по каждому компоненту. Суммарная ошибка определения состава газов была не хуже 2–3 об. %.
Значения δ15N в N2, а также δ13С в СО2 и СН4 в газовой фазе определялись на приборах серии DELTA в ГИН РАН и ВСЕГЕИ. Погрешность определения δ15N была не хуже ±0.3‰, а δ13С – ±0.2‰. Измерения значений3Не/4Не (R) и 4Не/20Ne были выполнены на масс-спектрометре Noblesse SFT (NU Instruments Ltd.) в Ключевой лаборатории изотопных исследований Северо-Западного института экологии и ресурсов Академии наук Китая (г. Ланьчжоу). Погрешность определения 3Не/4Не составляла 1.1 × 10–8, а 4Не/20Ne – 0.01. В измеренные значения R вводилась поправка на контаминацию пробы атмосферным воздухом [7]:
где Rатм = 1.39×10–6 и (4He/20Ne)атм = 0.305 значения в атмосферном воздухе.
РЕЗУЛЬТАТЫ ИССЛЕДОВАНИЙ И ИХ ОБСУЖДЕНИЕ
Особенности солевого состава минеральных вод
Значения рН минеральных вод, высачивающихся в разных местах штольни, менялись от 5.77 до 7.60. Значения Еh варьировали от –85 до +109 мВ. Минерализация (сумма солей) воды менялась на удалении от забоя штольни в диапазоне от 0.5 г/л до 0.7 г/л, достигая 8.7 г/л в выходах минеральной воды вблизи забоя штольни.
Минерализация поверхностных углекислых источников в данном районе Приэльбрусья чаще всего варьирует от 0.13 до 3 г/л, составляя в среднем 2 г/л [4]. Только в скважинах Тырныауза и в Верхне-Баксанском источнике она немного превышает 5 г/л, а в ист. Шаушииб она достигает значений ~11 г/л.
Интересно отметить, что воды двух термальных источников, выходящих в штольне на удалении всего около 20 м друг от друга, заметно различаются по солевому составу. Для термы (табл. 1, обр. N1–21), питающей озеро, характерны более высокие концентрации Na, B, Br, Mg, S, K, Li, Rb, Sn, W и U, а для второго выхода (обр. N2-21) – НСО3, Ве, Fe, Cd, Ca, Sr и Ba.
Химический состав газовой фазы. Все минеральные источники штольни (табл. 1) и Приэльбрусья относятся к углекислым водам. Концентрация СО2 в их газовой фазе часто достигает 98%. Содержание N2 варьирует – от 0.5 до 58%, увеличиваясь в газах минеральных вод сильно разбавленных инфильтрационными.
В газах источников в штольне концентрация СН4 меняется от 0.036 до 0.5%. Самая высокая концентрация СН4 фиксируется в газовых струях, выходящих на дне озера, а более низкая (0.036%) – в самом высокотемпературном выходе воды (в ~20 м. от озера) (табл. 1). В пробах газа, отобранных из озера в разное время (в июле 2021 г., в июне и в декабре 2022 г.), концентрации СН4 менялись в диапазоне 0.39–0.50%.
Изотопный состав Не, С в СО2, СН4 и N в N2. Определение значения (3Не/4Не) в пробе газа, отобранной из озера в забое штольни, показало (табл. 1), что в ней присутствует более 30% мантийного гелия (3Не/4Немант = 1.2 × 10–6). Это согласуется с полученными ранее результатами исследований 3Не/4Не в газах углекислых источников Приэльбрусья [4]. Они выявили здесь обширную изотопно-гелиевую аномалию, обрамляющую вулкан Эльбрус и охватывающую верхнее течение р. Баксан и ее притоков. Предполагается, что она маркирует глубинный магматический очаг, обеспечивший в плиоцен-четвертичное время активность вулканических центров Приэльбрусья. Таким образом, определение 3Не/4Не в пробе газа из штольни показало, что ее забой не вышел за пределы области потенциальной вулканической активности вулкана Эльбрус. Это дает обоснование для проводимых в штольне многолетних геофизических наблюдений, ориентированных на мониторинг вулканической и сейсмической активностями в районе этого вулкана ([6, 8] и др.).
В газах термальных источников штольни были определены значения δ13С в СО2 и СН4 (табл. 1). Выходы газа в озере в забое штольни опробовались нами в июле 2021 и декабре 2022 (см. значения δ13С для пробы N1-21 в табл. 1). Значения δ13С в СО2 здесь менялись от –8.0 до –6.4‰, а в самом горячем выходе воды (N2-21) было получено значение –7.3‰. В общем, полученные в газах штольни значения δ13С в СО2 не отличаются от наблюдаемых в естественных углекислых источниках Приэльбрусья [4].
Определения значений δ13С в СН4, выполненные в пробах газа из термального озера, отобранных в июле 2021 г. и в декабре 2022 г., показали довольно сильные различия (табл. 1). Надо заметить, что такого порядка и даже еще более высокие значения δ13С в СН4 (до –17‰) ранее фиксировались в газах холодных углекислых источников, расположенных в окрестностях штольни – к востоку от вулкана Эльбрус [3–5]. Высокие значения δ13С в СН4 в данном случае могут являться следствием изотопного обмена в системе СН4–СО2 в области термального воздействия от магматической камеры вулкана Эльбрус при температурах 300…750°С [3, 5].
Вместе с тем проведенные ранее в термах штольни микробиологические исследования выявили присутствие термофильных бактерий [17], некоторые из видов которых могут быть метанотрофными. Поэтому нельзя исключить вероятности того, что наблюдаемые в газах углекислых источников Приэльбрусья вариации δ13С в СН4 могут быть в какой-то степени результатом биологической активности термофильных метанотрофных бактерий. На возможность последнего указывают значительные вариации значений δ13С метана (табл. 1), которые трудно объяснить сильными флуктуациями температурных условий формирования газов вблизи магматической камеры.
Несмотря на присутствие в газах штольни вулканогенного Не и СО2, молекулярный азот характеризуется положительными значениями δ15N (табл. 1), указывающим на его коровый генезис. В углекислых газах Кавказских Минеральных Вод и Приэльбрусья такой азот почти всегда обнаруживается в богатых метаном газах и коррелирует с его концентрацией [5].
Изотопный состав О и Н углекислых вод Приэльбрусья. Проведенные ранее исследования изотопных характеристик воды углекислых источников Приэльбрусья показали [1, 4], что наблюдаемые в них значения δ2Н и δ18О идентичны местным поверхностным водам и в большинстве случаев группируются вблизи глобальной линии метеорных вод. На активное участие в формировании водного баланса углекислых источников атмосферных осадков также указывает и выявленные зависимости значений δ2Н и δ18О от абсолютных отметок выходов источников [1, 4]. Кроме того, для всех исследованных естественных углекислых водопроявлений Приэльбрусья так же, как и для большинства образцов речных вод, характерны положительные значения17О-exc (49…83 ppm) (табл. 2). Воды терм штольни отличаются от них отрицательными значениями17О-exc (до –54 ppm, табл. 1). Такие значения иногда встречаются в поверхностных водах Приэльбрусья, испытавших испарение (воды озер и рек из них вытекающих) (табл. 2). Впрочем, отрицательные значения17О-exc и в водах седиментационных бассейнов, изотопные характеристики которых модифицированы при изотопном обмене кислорода воды с вмещающими породами [16].
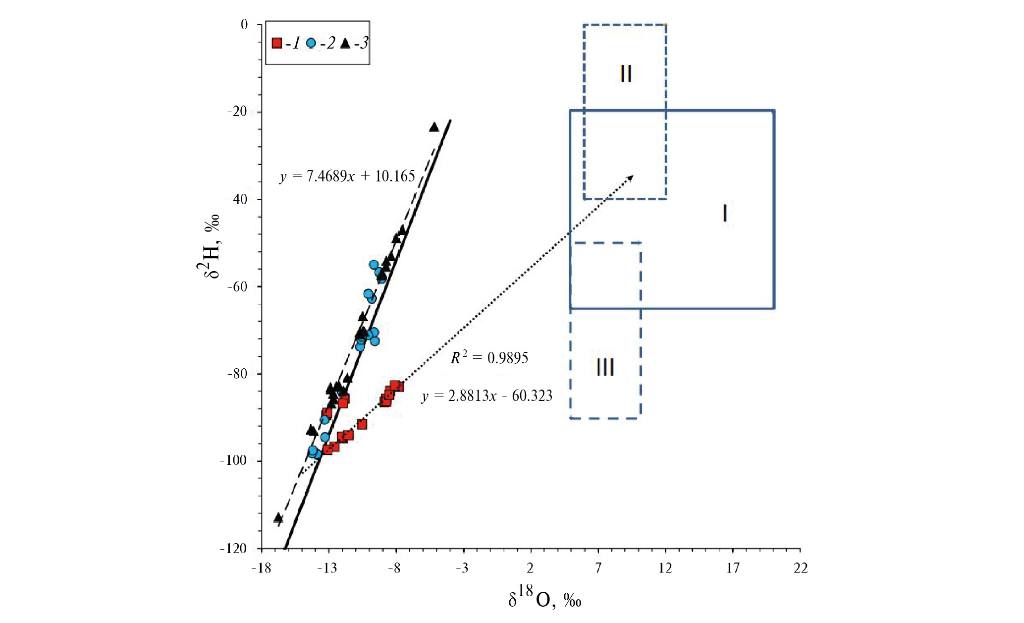
В отличие от всех опробованных поверхностных речных и углекислых вод термальные воды из штольни заметно обогащены тяжелым изотопом кислорода (18О). Причем фигуративные точки проб, отобранных на разном удалении от забоя штольни на диаграмме δ18О-δ2Н формируют хорошо выраженный тренд (рис. 3), пересекающий тренд местных поверхностных вод в области значений δ18О = –15.3 и δ2Н = –104‰. Теоретически этот тренд можно объяснить влиянием процессов испарения и/или изотопным обменом кислорода в системе вода–порода. Однако трудно представить, чтобы эти процессы так ярко проявлялись в достаточно локальной группе углекислых источников, выходящих из трещин в стенках штольни на протяжении не более 1.5 км.
Поэтому этот тренд логичнее интерпретировать как линию смешения изотопно-тяжелых и изотопно-легких вод. Первые, очевидно, имеют глубинное происхождение. Это могут быть воды, долгое время взаимодействовавшие с вмещающими породами при повышенных температурах. Относительно метеорных вод они сильно обогащены18О. Вторые – это ледниковые или атмосферные воды, сформировавшиеся на склонах горы г. Курмутау.
Характеристики δ18О и δ2Н конечного члена изотопно-тяжелых вод нам не известны. Экстраполяция тренда на рис. 3 теоретически позволяет связать их как с метаморфогенными, так и вулканогенными – “андезитовыми” водами [9–11]. При этом их генетическая связь с “базальтовыми” водами [9, 14] маловероятна. Такая интерпретация вполне согласуется с составом вулканитов Эльбруса, среди которых доминируют кислые – липарит-дацитовые серии.
Такая экстраполяция тренда, в общем, не противоречит геологическим условиям формирования исследуемых терм. Их выходы, с одной стороны, приурочены к системам разломов, образовавшимся в процессе воздымания горного сооружения Большого Кавказа. Теоретически они могут обеспечить транспортировку вод из зоны регионального метаморфизма к поверхности земли. С другой – штольня расположена в центральной части изотопно-гелиевой аномалии, связанной с глубинным магматическим очагом вулкана Эльбрус, что также подтверждается высокими значениями3Не/4Не (табл. 1). Присутствие примеси мантийного гелия в газах терм не исключает возможности поступления в них и других магматогенных дериватов – в том числе и вулканогенной воды.
Впрочем, вывод об участии в водном балансе исследуемых терм вод метаморфогенного или вулканогенного генезиса представляется мало- обоснованным в связи с дальней экстраполяцией рассматриваемого тренда. Кроме того, в термах штольни отсутствуют признаки вулканогенной фумарольной активности – температура вод примерно соответствует местному градиенту температур, в составе газов отсутствуют водород и кислые газы (H2S и HCl). Оценки температур, полученные для системы СО2–СН4 (275– 430°С [15]) для газов штольни, вероятно, могут быть завышены из-за микробиального окисления метана. Оценки температур по Mg–Li-, Li–Na-, Na–K- и Si-гидрохимическим геотермометрам дают очень противоречивые результаты – от ~140oC (для Si-геотермометра), но не более 230–275°С (для Mg–Li-, Li–Na-, Na–K-геотермометров). Впрочем, как было показано ранее [4], эти геотермометры применительно к углекислым водам не дают надежное представление об абсолютных значениях температур формирования их солевого состава. Таким образом, даже эти не столь надежные оценки температур позволяют предполагать формирование исследуемых флюидных систем при температурах существенно более низких, чем температуры плавления кислых вулканитов (~650°С). Поэтому их генезис вряд ли можно связать с выделением магматических вод.
Вероятнее всего, обогащенные 18О воды формируются в результате взаимодействия в системе вода–порода при повышенных температурах. Также нельзя исключить, что в водах штольни имеется примесь древних седиментационных изначально морских вод. В процессах литогенеза они также часто сильно обогащаются тяжелым изотопом кислорода [11]. Поэтому взаимодействие таких вод в локальных трещинных системах с изотопно-легкими атмосферными водами вполне может обеспечить наблюдаемый на рис. 3 тренд.
Рис. 3. Изотопный состав кислорода и водорода термальных углекислых вод штольни Нейтрино (1), углекислых холодных источников (2) и пресных поверхностных вод (3) Приэльбрусья. Линиями показано: полужирной линией – глобальная линия метеорных вод (линия Крейга), пунктиром – тренд для местных поверхностных вод, точечной линией со стрелкой – тренд, образованный термальными водами штольни, цифрами I–III показаны боксы: I – метаморфических вод [10, 11 и др.]; II – “андезитовых” [9] и III – “базальтовых” вод [9, 14].
Проведенные определения изотопных характеристик О и Н в водах, высачивающихся по простиранию штольни показали (рис. 4), что к забою штольни происходит рост значений δ2Н (и δ18О тоже). Такое распределение изотопных характеристик водорода в водах по простиранию штольни весьма неожиданно. Ее забой находится под вершиной горы – потенциальной области водного питания. На вершине располагается ледник, из основания которого теоретически должны были бы просачиваться изотопно-легкие талые воды. Однако признаки подмешивания таких вод мы наблюдаем только при удалении от забоя штольни. Можно предположить, что проходка штольни создала новый базис разгрузки подземных вод. Это привело к нарушению естественного гидрогеологического режима в недрах горного массива и обеспечило выведение в штольню вод глубокой циркуляции.
Рис. 4. Изменение значений δ2Н в выходах вод по простиранию штольни Нейтрино (по оси x дано расстояние в м от устья штольни). Линией показана общая тенденция изменения δ2Н, прямоугольным боксом обведены фигуративные точки источников в конце штольни, данные по которым приведены в табл. 1.
ВЫВОДЫ
- Повторные измерения изотопных характеристик О и Н, проведенные в 2021–2022 гг. в отдельных естественных источниках Приэльбрусья, скважинах Тырныауза и источниках в забое штольни Нейтрино, показали их высокую стабильность. Как правило, вариации значений δ2Н обычно укладывались в диапазон ±0.5‰. Поэтому можно считать, что сезонные факторы не оказывают существенного влияния на изотопные характеристики крупных термоминеральных источников Приэльбрусья.
- В штольне Нейтрино отмечена тенденция к появлению изотопно-легких инфильтрационных вод к устью штольни. При этом воды с самыми высокими значениями δ18О и δ2Н вскрыты в забое штольни в центральной части горного массива Курумтау.
- В углекислых термах, выходящих в забое штольни Нейтрино, наблюдается наличие “кислородного сдвига” относительно линии метеорных вод. Их воды заметно обогащены тяжелым изотопом кислорода (18О). На диаграмме δ2Н–δ18О их фигуративные точки формируют хорошо выраженный тренд, который, вероятнее всего, представляет собой линию смешения глубинных (изотопно-тяжелых) и инфильтрационных ледниковых (изотопно-легких) вод.
- Изотопно-тяжелую составляющую водного баланса терм штольни Нейтрино теоретически можно связать как с метаморфогенными, так и с магматогенными водами, поступающими к поверхности из вулканической камеры вулкана Эльбрус. Впрочем, измеренные температуры и оценки температур флюидогенерации, выполненные по различным геотермометрам, скорее указывают на то, что они могут являться результатом обмена по кислороду вод с вмещающими породами при температурах менее 400°С. Или, что почти одно и то же, их изотопно-тяжелая водная фаза может иметь седиментогенное происхождение и быть унаследованной от вод древних (мезозойских?) осадочных бассейнов.
- В газах штольни, впрочем, как и в газах ближайших к штольне углекислых источников Приэльбрусья обнаружено присутствие метана в концентрациях до 0.5%, характеризующегося высокими значениями δ13С = –33.5 и –26.0‰. Этому метану сопутствует углекислота с “мантийными” значениями δ13С (–8.0… –6.4‰), гелий с примесью мантийного Не и азот с примесью неатмосферной составляющей. Последняя, судя по значениям δ15N = +1.3‰, имеет коровый генезис. Предполагается, что появление изотопно-тяжелого метана в газах Приэльбрусья может быть следствием не только вулканической активности, обеспечивающей изотопный обмен в системе СО2–СН4, но и, в какой-то степени, быть результатом активности метанотрофных термофильных бактерий, окисляющих СН4.
- Отмечена сильная изменчивость концентрации СН4 в близкорасположенных (около 20 м) выходах газов – она может меняться в пределах порядка величины. Также отмечена высокая вариабельность значений δ13С(СН4) в газовых струях, выходящих в озере, расположенном в забое штольни. Эти флуктуации могут быть следствием биологической активности метанотрофных термофильных бактерий, присутствующих в гидротермальной системе данных углекислых источников.
В целом, полученные результаты геохимических исследований подтверждают взаимосвязь прежде всего газового состава терм штольни с глубинным магматическим очагом вулкана Эльбрус. Это обеспечивает возможность проведения не только геофизического, но и геохимического мониторинга за вулканической активностью в этом районе Северного Кавказа.
БЛАГОДАРНОСТИ
Исследования изотопного состава гелия в пробах газа проведены при поддержке CAS President's International Fellowship Initiative (PIFI, Китай), проекты № 2024VCA0006 и 2024CVB0013, все остальные полевые и лабораторные исследования выполнены в рамках госбюджетной темы ГИН РАН.
About the authors
A. S. Aydarkozhina
Geological Institute of the Russian Academy of Sciences
Author for correspondence.
Email: altin.echo@mail.ru
Russian Federation, Moscow
V. Yu. Lavrushin
Geological Institute of the Russian Academy of Sciences
Email: altin.echo@mail.ru
Russian Federation, Moscow
A. V. Ermakov
Geological Institute of the Russian Academy of Sciences
Email: altin.echo@mail.ru
Russian Federation, Moscow
G. A. Chelnokov
Geological Institute of the Russian Academy of Sciences
Email: altin.echo@mail.ru
Russian Federation, Moscow
L. Zhang
Northwest Institute of Eco-Environment and Resources China Academy of Sciences
Email: altin.echo@mail.ru
China, Lanzhou
References
- Дубинина Е. О., Лаврушин В. Ю., Коваленкер В. А., Авдеенко А. С. Степанец М. И. Изотопы кислорода и водорода в минеральных источниках Приэльбрусья (Северный Кавказ) // Геохимия. 2005. № 10. С. 1078–1089.
- Калмычков Г. В., Hachikubo A., Покровский Б. Г., Minami H., Yamashita S., Хлустов О. М. Метан с аномально высокими значениями d13С и dD из прибрежных термальных источников озера Байкал // Литология и полезные ископаемые. 2020. № 4. С. 1–7.
- Костенко О. Е., Лаврушин В. Ю. Первые определения δ13С в метане углекислых источников Приэльбрусья // ДАН. 2005. Т. 404. № 1. С. 100–104.
- Лаврушин В. Ю. Подземные флюиды Большого Кавказа и его обрамления (Отв. ред. Поляк Б. Г.), Тр. ГИН РАН, вып. 599, М.: ГЕОС, 2012. 348 с.
- Лаврушин В. Ю., Айдаркожина А., Покровский Б. Г., Прасолов Э. М., Потапов Е. Г., Ермаков А. В. Изотопный состав азота и углерода в газах углекислых вод Северного Кавказа // Геохимия.2020. Т. 65. № 11. С. 1115–1128.
- Першин С. М., Собисевич А. Л., Макаров В. С. и др. Лидарный мониторинг магматической активности малой камеры Эльбрусского вулканического центра. Доклады Российской академии наук. Физика, технические науки. 2023. Т. 509. № 1. С. 15–20.
- Прасолов Э. М. Изотопная геохимия и происхождение природных газов, Л.: “Недра”, 1990. 283 с.
- Собисевич Л. Е., Нечаев Ю. В., Богатиков О. А. и др. Мониторинг магматических структур вулкана Эльбрус. Под ред. Лаверова Н. П. М.: 2001. 191 с.
- Таран Ю. А., Покровский Б. Г., Дубик Ю. А. Изотопный состав и происхождение воды в андезитовых магмах // Докл. АН СССР. 1989. Т. 304. № 2. С. 440–443.
- Тейлор Х. П. Применение изотопии водорода и кислорода к проблемам гидротермального изменения вмещающих пород и рудообразования. / В кн. Стабильные изотопы и проблемы рудообразования. М.: Мир, 1977. С. 213–298.
- Тейлор Х. П. Изотопы кислорода и водорода в гидротермальных рудных месторождениях. В кн. Геохимия гидротермальных рудных месторождений. М.: Мир, 1982. С. 200–223.
- Чайковский И. И., Кадебская О. И. Минеральные образования подземных горячих источников Баксанской нейтринной обсерватории (г. Курмутау, Приэльбрусье) // Проблемы минералогии, петрографии и металлогении. Научные чтения памяти П. Н. Чирвинского, Пермский Государственный ун-Т. № 19. 2016. С. 66–80.
- Щербак В. П. Некоторые геохимические черты газоносности Эльбрусской области // Геохимия. 1965. № 7. C. 889–894.
- Allard P. The origin of hydrogen, carbon, sulphur, nitrogen and rare gases in volcanic exhalations: evidence from isotope geochemistry. In Forcasting Volcanic Events (H. Tazieff & J. C. Sabroux, eds.). Amsterdam: Elsevier, 1983. P. 337–386.
- Horita J. Carbon isotope exchange in the system CO2-CH4 at elevated temperatures: Geochimica et Cosmochimica Acta. 2001. V. 65. P. 1907–1919.
- Surma J., Assonov S., Staubwasser M. Triple Oxygen Isotope Systematics in the Hydrologic Cycle // Reviews in Mineralogy & Geochemistry, 2021. V. 86. P. 401–428.
- Tarasov K., Yakhnenko A., Zarubin M., Gangapshev A., Potekhina N., Avtukh A., Kravchenko E. Cytobacillus pseudoceanisediminis sp. nov., A novel facultative methylotrophic bacterium with high heavy metal resistance isolated from the deep underground saline spring // Current Microbiology. 2023. V. 80. № 31.
Supplementary files






