First Results of Studying Pollen Variability of Ephedra dahurica Turcz. in the Modern Climate of Transbaikalia
- Authors: Reshetova S.A.1,2, Bezrukova E.V.1, Kuzmin M.I.1
-
Affiliations:
- Vinogradov Institute of Geochemistry of the Siberian Branch of the Russian Academy of Sciences
- Institute of Natural Resources, Ecology and Cryology of the Siberian Branch of the Russian Academy of Sciences
- Issue: Vol 518, No 2 (2024)
- Pages: 349-358
- Section: GEOGRAPHY
- Submitted: 25.01.2025
- Accepted: 25.01.2025
- Published: 15.10.2024
- URL: https://medbiosci.ru/2686-7397/article/view/277959
- DOI: https://doi.org/10.31857/S2686739724100179
- ID: 277959
Cite item
Full Text
Abstract
The study of herbarium materials of the Ephedra dahurica Turcz. collected in the Torey Lakes region in different years, revealed the morphological variability of its pollen grains. An inverse relationship has been established between the development of the number of furrows and ribs of pollen grains and the values of temperature and humidity during the growing season. During wet seasons, the plant produces pollen grains with few furrows. The number of furrows increases during dry and cool growing seasons.
Full Text
ВВЕДЕНИЕ
Различные виды хвойника Ephedra широко распространены во многих засушливых регионах мира: юго-востоке Северной Америки, в Южной Европе, Северной Африке, Юго-Западной и Центральной Азии, Северном Китае и западной части Южной Америки. Его пыльцевые зёрна хорошо отличаются от пыльцы остальных растений, поэтому они часто включаются в число таксономически важных единиц в палеогеографических исследованиях, поскольку установлено, что наличие пыльцы хвойника указывает на сухой и континентальный климат [1–3]. Более того, степная растительность и, в частности, представители рода Ephedra, являются одним из ключевых маркеров этапов усиления/ослабления аридизации Азии в прошлом и в значительной мере связаны с активностью восточной-азиатской муссонной системы [3]. Поэтому, изменчивость относительного обилия пыльцы эфедры в разногенетических отложениях позволяет судить не только о климатических условиях времени формирования этих отложений, но и, в определённой степени, об особенностях циркуляции атмосферных систем северного полушария в прошлом.
Многочисленные предыдущие исследования морфологии пыльцевых зёрен хвойника проводились в связи с решением вопросов таксономии, пыльцевой продуктивности, способности пыльцы к рассеиванию, биологии опыления, эволюционной истории, биогеографии, экологии и репродуктивной биологии порядка гнетовых Gnetales [4–6]. Но, как оказалось, особенности морфологии пыльцевых зёрен растений могут нести информацию, в том числе и о природно-климатических условиях времени формирования зёрен. Так, например, морфологические исследования пыльцы шелковицы Broussonetia papyriferaс (L.) Vent. с помощью световой микроскопии показали сезонные и региональные различия в размерах пыльцы и морфологии экзины из-за меняющихся климатических условий [7]. Анализ данных о морфологии пыльцы восьми видов розоцветных и интенсивности её высыхания в зависимости от температуры, потенциальной эвапотранспирации и высоты местности над уровнем моря привёл к сложным результатам [8].
Для Восточной Сибири и для Забайкалья, в частности, исследования морфологии пыльцы хвойника не проводились, несмотря на высокую значимость его пыльцы в палеогеографических реконструкциях. Поэтому, целью предлагаемой работы стало изучение морфологии современной пыльцы хвойника даурского Ephedra dahurica Turcz. для выяснения возможного влияния климатических условий Забайкалья в годы отбора пыльцы на формирование особенностей её зёрен. Результаты исследований в краткой форме были доложены на Всероссийских конференциях и опубликованы в тезисах. В предлагаемой статье представлен весь комплекс полученных результатов.
СОВРЕМЕННЫЕ ФИЗИКО-ГЕОГРАФИЧЕСКИЕ УСЛОВИЯ ЗАБАЙКАЛЬЯ
Ландшафты Забайкалья формировались в условиях горного рельефа и резко континентального восточносибирского типа климата, а также под влиянием их уникального положения в экотонной области между горной тайгой на севере, монгольскими степями на юге и хвойно-широколиственными лесами Приамурья на востоке [9]. На изучаемой территории преобладают широкие плосковершинные хребты высотой от 1000 до 1500–1800 м над уровнем моря, простирающиеся с запада-юго-запада на восток-северо-восток и разделённые котловинообразными межгорными понижениями, дно которых располагается на высотах от 500 до 900– 1000 м над у.м.
Господство антициклонального режима атмосферы обусловливает большое количество солнечных дней. Средние температуры января изменяются от –23°С на юге до –30, –33°С на севере и юго-востоке, а абсолютные минимумы достигают –50––58°С. Лето тёплое, местами жаркое. Средняя температура июля на равнинных участках на юге области изменяется от 19 до 22°С, но в некоторые дни жара достигает 35–40°С. Заморозки случаются даже в июле и августе.
В степных районах Забайкалья среднегодовая сумма атмосферных осадков составляет 200–300 мм/год осадков. 60–70% их годовой суммы приходится на июль и август в виде сильных дождей. Весной и в июне дожди бывают редко, в связи с чем в степных районах наблюдаются засухи. Мощность снежного покрова не велика даже в горной тайге, а в некоторых степных котловинах Восточного Забайкалья составляет всего 5–10 см.
Территория исследования располагается на юге Забайкалья в пределах Ульдза-Торейской равнины на границе России и Монголии (рис. 1). Вертикальная поясность растительности на равнине не проявляется. Здесь, на холодных, глубоко промерзающих зимой, недостаточного влажных почвах почти повсеместно господствуют степи. Они относятся к варианту криоксерофильных центральноазиатских настоящих степей [10] с преобладанием ксерофитных сухих степей: тонконоговых, ковыльных, вострецовых и пижмовых. В степных сообществах встречается 2 вида эфедры: односемянная Ephedra monosperma J.G.Gmel. ex C.A.Mey. и даурская Ephedra dahurica Turcz (синонимы Ephedra pseudodistachya Pachom. или Ephedra sinica Auct) [11]. По мнению Г.А Пешковой Ephedra sinica существенно отличается от Ephedra dahurica и является самостоятельным видом [12].
Рис. 1. Обзорная карта района исследований
Эфедра даурская представляет собой кустарничек высотой 15–30 см. Растёт на равнинных степях, у подножия склонов, среди зарослей ильма низкого Ulmus pumila L., на песчаных дюнах, вершинах сопок и скальных осыпях. Цветёт в мае–июне.
ОБЩИЕ СВЕДЕНИЯ О МОРФОЛОГИИ ПЫЛЬЦЕВЫХ ЗЁРЕН РОДА EPHEDRA
Пыльцевое зерно эфедры имеет, как правило, удлинённую эллипсоидальную форму, в экваториальной проекции очертание зёрен овальное или округлое, в полярной проекции – округлое [13]. Размер зёрен изменяется от 10 до 80 мкм по длинной оси [14]. Пыльца имеет борозды и рёбра (от 4–20), сходящиеся у полюсов (рис. 2).
Рис. 2. Многобороздное и многорёберное современное пыльцевое зерно Ephedra под электронным микроскопом, фото по [13]
На дне борозды пыльцевого зерна находится эластичная полоска верхней оболочки, которая является приспособлением эфедры к среде обитания с изменяющимся водным режимом [15].
Существует мнение [16], что по морфологическим признакам эфедра односемянная представляет собой продукт гибридизации эфедры хвощевой Ephedra equisetina Bunge (секция Monospermae) и вида из секции Ephedra, близкого к эфедре даурской или эфедре средней Ephedra intermedia Schrenk & C.A. Mey. Все эти виды, за исключением эфедры даурской, характеризуются наличием 4–14 борозд на поверхности пыльцевых зёрен. Ephedra sinica, распространённая в том числе и на смежной территории – в Северном Китае и Монголии, имеет от 4 до 10 борозд [14].
МАТЕРИАЛЫ И МЕТОДЫ
Материалом для изучения послужили пыльцевые зёрна эфедры даурской (рис. 3А), полученные из пыльников растений гербария Забайкальского государственного университета разных лет сбора с контрастными климатическими данными за время вегетационного периода и время цветения. Растения были собраны в 2000, 2003, 2005 и 2011 годах в июне месяце на Улдза-Торейской равнине. Изучено 8 гербарных растений (3 образца 2000 года, 2 – 2003 года, 2 – 2005 года и 1 образец 2011 года). С каждого растения в одну пробу отбирались несколько микростробилов, что приводило к усреднению материала пробы. Для микроскопического исследования образцы пыльцы кипятились в щелочи 3–5 минут с последующим отмыванием дистиллированной водой до нейтральной среды и затем уже с декантацией. Затем для изучения каждого пыльцевого зерна в полярном и экваториальном положениях изготавливались временные препараты с использованием глицерина. Этим же обстоятельством объясняется приоритет использования биологического микроскопа перед электронным. Анализ выполнен с помощью светового микроскопа Axiolab “Zeiss”. Образцы просмотрены при увеличении в 400 и 630 раз. Для исследования были выбраны четыре параметра: экваториальный диаметр (ЭД), длина полярной оси (ПО), отношение полярной оси к экваториальному диаметру (ПО/ЭД) и количество борозд (рис. 3Б). Количество борозд и рёбер подсчитывалось в полюсном положении пыльцевого зерна. Всего изучено 4000 пыльцевых зёрен. У 2000 из них выполнены замеры осей. В пыльниках каждого года сбора исследовано не менее 500 зёрен. Снимки высокого разрешения выполнены с помощью растрового электронного микроскопа FEI Company “Quanta” 200 (ЛИН СО РАН).
Рис. 3. Внешний вид пыльцевого зерна эфедры даурской (Ephedra dahurica Turcz). А – Пыльцевое зерно под электронным микроскопом; Б – Пыльцевое зерно под световым микроскопом. 1 – экваториальный диаметр (ЭД); 2 – полярная ось (ПО)
Данные о значениях суммы атмосферных осадков и температуры для метеостанции Соловьёвск в годы сбора гербарного материала взяты из [17].
РЕЗУЛЬТАТЫ ИССЛЕДОВАНИЙ И ОБСУЖДЕНИЕ
Результаты исследований морфологии пыльцы эфедры даурской показали большую вариативность в размерах и форме её пыльцевых зёрен. Минимальный размер соответствовал 13.2 мкм, а максимальный – 70.4 мкм. Встречены овальные, продолговато-овальные и округлые зёрна. В образцах присутствовали скопления недоразвитых, плохо распознаваемых пыльцевых зёрен.
В полюсном положении (рис. 4) наблюдались зёрна с разнообразным количеством борозд/ рёбер от 4 до 12, возможно и более, рис. 4 (20). Борозды и рёбра у многобороздных зёрен иногда раздваивались, рис. 4 (20). Некоторые зёрна имели два полюса, рис. 4 (7, 8).
Рис. 4. Пыльцевые зерна эфедры даурской Ephedra dahurica. Вид с полюса. Масштабная линия соответствует 10 мкм. 1 – четырех-бороздное; 2, 3, 5 – пяти-бороздное; 4, 6–9 – шести-бороздное; 10–13 – семи-бороздное; 14–16 – восьми-бороздное; 17 – девяти-бороздное; 18, 19 – десяти-бороздное; 20 – шестнадцати(?)-бороздное
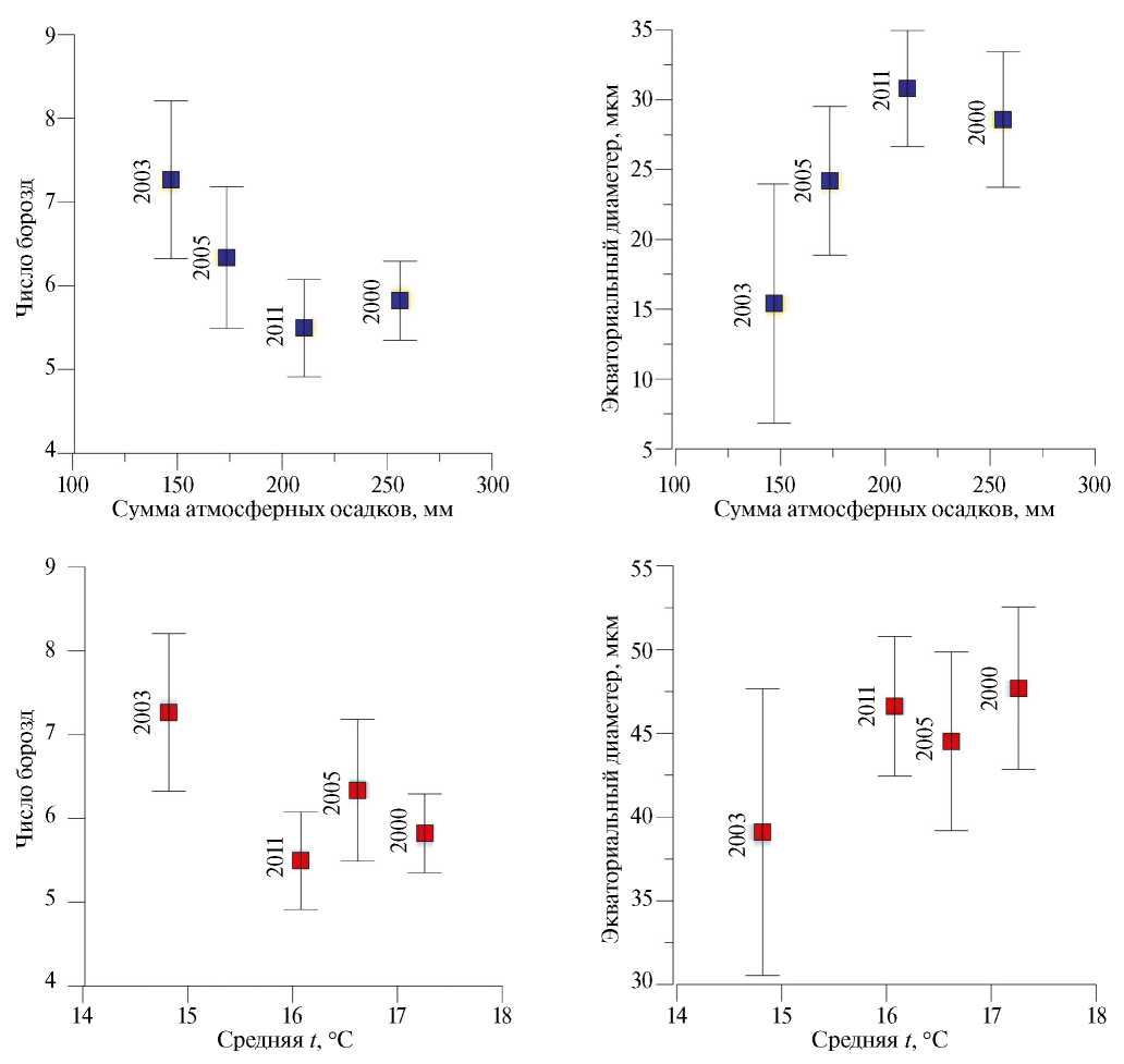
В образцах пыльцы 2000 и 2011 года установленное количество борозд изменялось от 4 до 8, рис. 4 (1‒16). В их пыльниках преобладали пятии шести-бороздные зёрна, рис. 5А, Б. Совсем незначительную долю составляла пыльца с 4, 7, и 8 бороздами. В образцах 2003 и 2005 увеличивается количество семии восьми-бороздной пыльцы, появляется пыльца с 9–12 бороздами, рис. 5В, Г. В образце этого года не было обнаружено четырёх-бороздной пыльцы.
Рис. 5. Процентное разных лет
Анализ климатических параметров территории произрастания растения показал, что 2000 год характеризовался высокими значениями среднегодовой суммы атмосферных осадков. Интересно, что и сумма осадков предыдущего года также была высокой (рис. 6). Сумма осадков вегетационного периода 2000 года и температуры воздуха в период цветения также были высокими.
Рис. 6. Изменение суммы атмосферных осадков и температуры (по данным метеостанции Соловьёвск)
Из рис. 6 видно, что 2003 год был самым засушливым и прохладным, а 2005 и 20011 характеризовались промежуточными значениями перечисленных параметров.
Корреляция минимальных, средних и максимальных значений ПО, ЭД, ПО/ЭД и количества борозд пыльцевых зёрен эфедры даурской разных лет сбора показала высокую степень сходства в пределах каждого года. Между средними и минимальными значениями коэффициент корреляции составлял К = 0.89, между средними и максимальными он равнялся 0.85, поэтому для сравнения были взяты средние значения каждого из измеренных параметров.
Для определения степени отличия средних значений разных лет выполнен дисперсионный анализ ANOVA с последующим тестом Тьюки (R Development Core Team, 2014). При тестировании статистически значимые отличия были получены для количественных характеристик борозд пыльцевых зёрен из образцов всех изученных лет, в то время как для параметра ПО/ЭД и ЭД р>>0.05, свидетельствуя о близких значениях этих параметров между собой.
В итоге, сравнение среднего количества борозд пыльцевых зёрен разных лет с величинами значений температуры и атмосферных осадков (рис. 7) по данным метеостанции Соловьёвск показало их обратную зависимость.
Рис. 7. Графики корреляции количества борозд у пыльцы Ephedra dahurica Turcz. с атмосферными осадками вегетационного периода (май–сентябрь) и температурой воздуха периода цветения (май–июнь)
С повышением температуры и влажности за время вегетационного периода с мая по сентябрь эфедра даурская воспроизводила, в основном, пыльцу с незначительным количеством борозд (4–8) и, наоборот, при ухудшении климатических условий у растения появлялась много-бороздная и много-рёберная (9 и больше) пыльца. Для пыльцевых зёрен 2003 года были характерны скопления недоразвитой пыльцы наряду с её карликовыми разновидностями.
Известно, что в различных климатических зонах Евразии с повышением засушливости изменяются морфофизиологические характеристики листьев растений, предпочитающих степные экотопы [18]. С повышением средней температуры увеличивается средняя толщина листьев. Таким образом, степные растения на структурном уровне адаптируются к аридизации климата. Эфедра даурская, по нашему мнению, на смену условий теплои влагообеспеченности реагирует изменением количества борозд пыльцевого зерна.
Известно, что в кайнозойских отложениях пыльца эфедры встречается довольно часто, и её содержание может достигать 5–20% от суммы пыльцы в образце [19, 20]. При этом согласно [21], количество борозд пыльцы эфедры до настоящего времени считается основным диагностическим признаком. Наши же исследования предполагают, что количество борозд, а также наличие/отсутствие рёбер на поверхности пыльцевого зерна не может являться надёжным диагностическим признаком вида хвойника. Мы полагаем, что вариации этих параметров указывают на изменения условий увлажнения и теплообеспеченности в период вегетации и цветения растения. Учитывая, что видовые определения спор и пыльцы при палеогеографических исследованиях имеют большую ценность, обнаруженные нами вариации в морфологических характеристиках пыльцы эфедры могут рассматриваться как дополнительный показатель изменения палеоклимата.
ЗАКЛЮЧЕНИЕ
Таким образом, проведено первое для Восточной Сибири исследование морфологии пыльцевых зёрен эфедры даурской с помощью световой микроскопии.
Установленная изменчивость морфологических характеристик зёрен эфедры сопоставлена с избранными параметрами современного климата территории исследования. Такое сопоставление позволило впервые обнаружить зависимость изменчивости в форме пыльцевых зёрен эфедры даурской и количества борозд на их поверхности от суммы атмосферных осадков и температуры воздуха за время вегетационного периода. Мы полагаем, что таким образом растение пытается адаптироваться к недостатку влаги и пониженным температурам. В дальнейшем, планируется сравнить представленные здесь результаты из гербарных образцов со сборами пыльцы в природе в период их пыления и проследить морфологические вариации пыльцы с одного и того же экземпляра хвойника в разные годы для получения более длительных рядов сопоставления с климатическими данными. При этом, необходимы систематические исследования изменчивости пыльцы других видов растений в аридных регионах. Именно они могут показать, что, возможно, таким образом на изменения увлажнения в период вегетации реагирует не только пыльца эфедры даурской.
Полученные нами первые результаты о морфологической изменчивости пыльцевых зерен типично степного растения эфедры даурской применимы в решении вопросов актуопалинологии, а также будут полезны при проведении палеогеографических исследований в Забайкалье и Восточной Сибири, в целом.
БЛАГОДАРНОСТИ
Авторы благодарят Т.Е. Ткачук за предоставленный гербарный материал, В.А. Обязова за сбор данных о современном климате, А.А. Щетникова за помощь в оформлении обзорной карты.
ИСТОЧНИКИ ФИНАНСИРОВАНИЯ
Исследования выполнены в соответствии с госзаданием ИПРЭК СО РАН № 121032200116-7 и ИГХ СО РАН № 0284-2021-0003 и реализованы при частичной поддержке гранта РНФ № 23-17-00067 (электронная микроскопия, статистическая обработка результатов).
About the authors
S. A. Reshetova
Vinogradov Institute of Geochemistry of the Siberian Branch of the Russian Academy of Sciences; Institute of Natural Resources, Ecology and Cryology of the Siberian Branch of the Russian Academy of Sciences
Author for correspondence.
Email: srescht@mail.ru
Russian Federation, Irkutsk; Chita
E. V. Bezrukova
Vinogradov Institute of Geochemistry of the Siberian Branch of the Russian Academy of Sciences
Email: srescht@mail.ru
Russian Federation, Irkutsk
M. I. Kuzmin
Vinogradov Institute of Geochemistry of the Siberian Branch of the Russian Academy of Sciences
Email: srescht@mail.ru
Academician of the RAS
Russian Federation, IrkutskReferences
- Kedves M. LM and EM studies on pollen grains of recent Welwitschia mirabilis Hook and Ephedra species // Acta Bot. Hung. 1987. V. 33. P. 81–103.
- Stanley C., Charlet D. A., Freitag H., Maier-Stolte M., Starrat. A.N. New observations on the secondary chemistry of world Ephedra (Ephedraceae) // Am. J. Bot. 2001. V. 88. P. 1199–1208.
- Yuan Q., Barbolini N., Rydin C., Gao D.-L., Wei H.-Ch., Fan Q.-Sh., Qin Zh.-J., Du Y.-Sh., Shan J.-J., Shan Fa-Sh., Vajda V. Aridification signatures from fossil pollen indicate a drying climate in east-central Tibet during the late Eocene // Clim. Past. 2020. V. 16. P. 2255–2273.
- Ickert-Bond S. M., Skvarla J. J., Chissoe W. F. Pollen dimorphism in Ephedra L. (Ephedraceae) // Review of Palaeobot. and Palynol. 2003. V. 124. P. 325–334.
- Rydin C., Blokzijl R., Thureborn O., Wikström N. Node ages, relationships, and phylogenomic incongruence in an ancient gymnosperm lineage – Phylogeny of Ephedra revisited // TAXON. 2021. V. 70 (4). P. 701–719. https://doi.org/10.1002/tax.12493
- Coiro M., Roberts E. A., Hofmann Ch-Ch., Seyfullah L. J. Cutting the long branches: Consilience as a path to unearth the evolutionary history of Gnetales // Front. Ecol. Evol. 2022. Review article. V. 10. https://doi.org/10.3389/fevo.2022.1082639
- Humayun M., Naseem S., Goodman R. E., Ali Z. Climate Change Impacts on Broussenetia papyrifera Pollens – Metabolome Investigations and Prospects of Allergy Prevalence in Times of Climate Change // preprint. https://doi.org/10.21203/rs.3.rs-2672801/v1
- Ejsmond M. J., Wron´ ska-Pilarek D., Ejsmond A., Dragosz-Kluska D., Karpin´ska-Kołaczek M., Kołaczek P., Kozłowski J.. Does climate affect pollen morphology? Optimal size and shape of pollen grains under various desiccation intensity // Ecosphere. 2011. V. 2. (10). P. 1–15. https://doi.org/10.1890/ES11-00147.1
- Физическая география России и СССР. Азиатская часть: Средняя Азия и Казахстан, Сибирь, Дальний Восток. Забайкальская область. URL: https://ecosystema.ru/08nature/world/ geoussr/4_2_6.html (дата обращения: 26.01.2024).
- Сочава И. Б. К теории классификации геосистем с наземной жизнью // Доклады Института географии Сибири и Дальнего Востока. 1972. Вып. 34. С. 3–14.
- Ephedra dahurica Turcz. // Плантариум. Растения и лишайники России и сопредельных стран: открытый онлайн атлас и определитель растений. URL: https://www.plantarium.ru/page/view/item/14488.html/ (дата обращения: 04.01.2024).
- Пешкова Г. А. Конспект видов рода Ephedra (Ephedraceae) флоры Сибири // Бот. журн. 2005. Т. 90. № 3. С. 423–436.
- Halbritter H., Ulrich S., Grímsson F., Weber M., Zetter R., Hesse M., Buchner R., Svojtka M., Frosch-Radivo A. Illustrated Pollen Terminology. Second Edition. 2018. Springer Open. 483 p.
- Bolinder K., Norback Ivarsson L., Humphreys A.M., Ickert-Bond S. M., Han F., Hoorn C., Rydin C. Pollen morphology of Ephedra (Gnetales) and its evolutionary implications // Grana. 2016. V. 55. № 1. P. 24–51. http://dx.doi.org/10.1080/00173134.2015.1066424
- Козо-Полянский Б. М. Новые успехи поллинистики и проблема эволюции высших растений // Успехи современной биологии. 1945. Т. 19. Вып. 2. С. 236–247.
- Пешкова Г. А. К происхождению рода Ephedra (Ephedraceae) // Turczaninowia. 2005. Т 8. № 2. С. 54–68.
- Погода и Климат – прогнозы погоды, новости погоды, климатические данные. URL: https://pogodaiklimat.ru (дата обращения: 05.01.2024.)
- Voronin P. Yu., Ivanova L. A., Ronzhina D. A., Ivanov L. A., Anenkhonov O. A., Black C. C., Gunin P. D., P’yankov V. I. Structural and Functional Changes in the Leaves of Plants from Steppe Communities as Affected by Aridization of the Eurasian Climate // Russ. J. Plant Physiol. 2003. V. 50. P. 680–687.
- Herzschuh U., Tarasov P, Wünnemann B., Hartmann K. Holocene vegetation and climate of the Alashan Plateau, NW China, reconstructed from pollen data // Palaeogeogr., palaeocl. 2004. V. 211. P. 1–17.
- Bezrukova E., Bukharov A., Bychinsky V., Fedenya S., Gelety V., Goreglyad A., Gorokhov I., Gvozdkov A., Ivanov E., Kalmychkov G., Kawai T., Kerber E., Khakhaev B., Khomutova M., Khursevich G., Kochukov V., Krainov V., Kravchinsky V., Kudryashov N., Kulagina N., Kuzmin M., Letunova P., Levina O., Ochiai S., Pevzner L., Prokopenko A., Solotchin P., Tanaka A., Tkachenko L., Williams D., Yamaguchi J. A new Quaternary record of regional tectonic, sedimentation and paleoclimate changes from drill core BDP-99 at Posolskaya Bank, Lake Baikal // Quat. Int. 2005. V. 136. P. 105–121.
- Гричук М. П. Распространение рода Ephedra в четвертичном периоде на территории СССР в связи с историей ландшафтов // Материалы по палеогеографии. Изд-во Московского университета. 1954. Вып. 1. С. 43–68.
Supplementary files









