10 GHz MONOLITHIC FILTER BASED ON STRIPLINE RESONATORS WITH SPLIT CONDUCTOR
- Authors: Govorun I.V.1,2, Belyaev B.A.2,3, Zav’yalov Y.B.3, Shumilov T.Y.3, Afonin A.O.1, Ugryumov A.V.1, Galeev R.G.2
-
Affiliations:
- Kirenskii Institute of Physics, Siberian Branch, Russian Academy of Sciences
- Siberian State University of Science and Technology
- Siberian Federal University
- Issue: Vol 513, No 1 (2023)
- Pages: 88-94
- Section: ТЕХНИЧЕСКИЕ НАУКИ
- URL: https://medbiosci.ru/2686-7400/article/view/247151
- DOI: https://doi.org/10.31857/S268674002306007X
- EDN: https://elibrary.ru/GLQEEH
- ID: 247151
Cite item
Full Text
Abstract
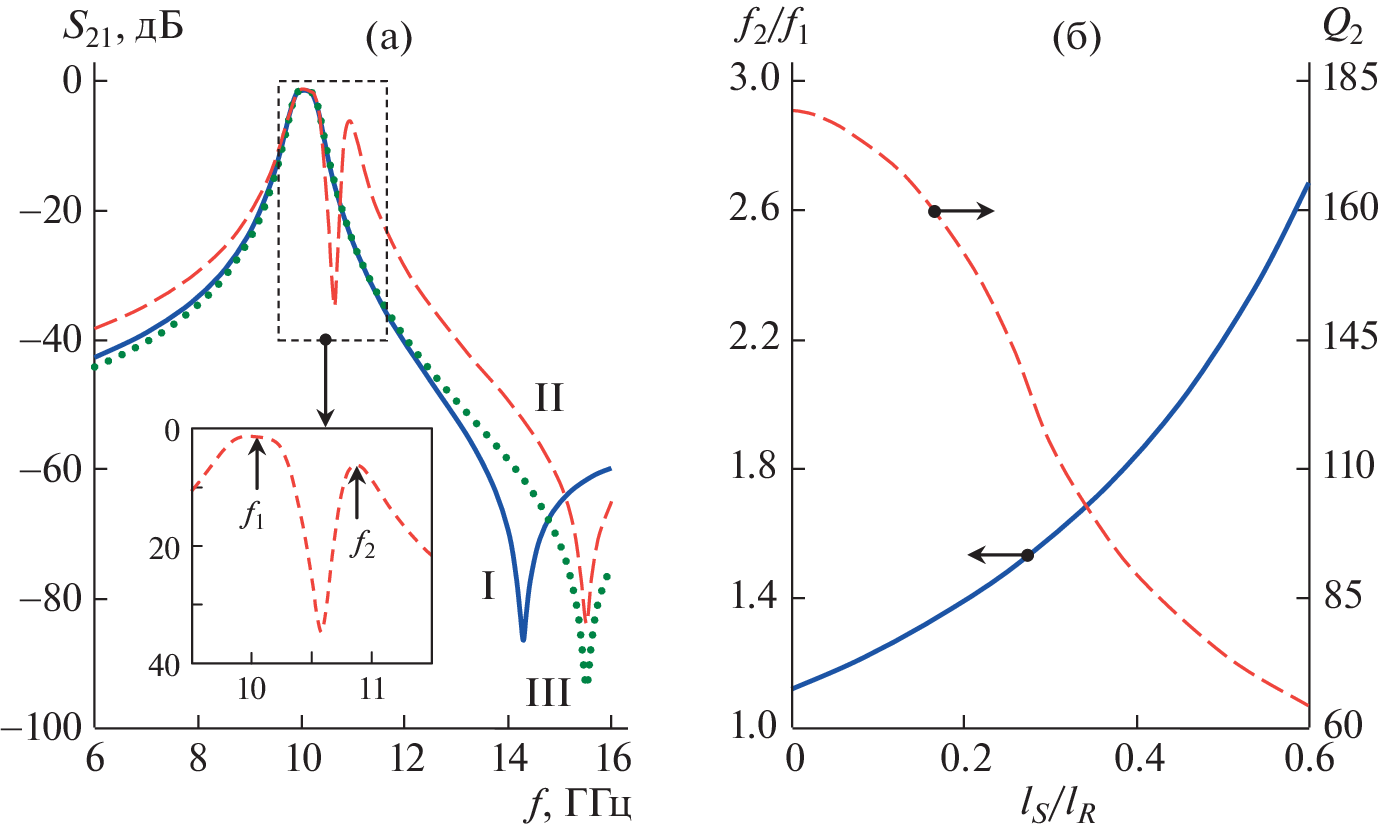
The monolithic design of the compact bandpass filter X-band is made on technology of multilayered printed circuit boards. A quarter-wave stripline resonators of the filter have two conductors divided by the layer prepreg having low parameters which is bonding together a design. This eliminates influence of prepreg on the characteristics of the devices, ensuring good repeatability of filters in mass production. For increase the high-frequency stopband of filter, one of the conductors of each resonator is cut in half by a transverse slit. The constructive sizes of the device were obtained by parametric synthesis using the electrodynamic analysis of its 3D model. The experimental data of five-order filter are in good agreement with the electromagnetic simulation of filters 3D model. An experimental device has a central frequency of the passband of 10 GHz and fractional bandwidth of 5.7%, its dimensions and weight are 18.0 × 5.4 × 2.1 mm and 0.5 g. The important advantage of the developed design is the possibility of its installation on the board using the surface mounting method.
About the authors
I. V. Govorun
Kirenskii Institute of Physics, Siberian Branch, Russian Academy of Sciences; Siberian State University of Science and Technology
Email: belyaev@iph.krasn.ru
Russia, Krasnoyarsk; Russia, Krasnoyarsk
B. A. Belyaev
Siberian State University of Science and Technology; Siberian Federal University
Author for correspondence.
Email: belyaev@iph.krasn.ru
Russia, Krasnoyarsk; Russia, Krasnoyarsk
Ya. B. Zav’yalov
Siberian Federal University
Email: belyaev@iph.krasn.ru
Russia, Krasnoyarsk
T. Y. Shumilov
Siberian Federal University
Email: belyaev@iph.krasn.ru
Russia, Krasnoyarsk
A. O. Afonin
Kirenskii Institute of Physics, Siberian Branch, Russian Academy of Sciences
Email: belyaev@iph.krasn.ru
Russia, Krasnoyarsk
A. V. Ugryumov
Kirenskii Institute of Physics, Siberian Branch, Russian Academy of Sciences
Email: belyaev@iph.krasn.ru
Russia, Krasnoyarsk
R. G. Galeev
Siberian State University of Science and Technology
Email: belyaev@iph.krasn.ru
Russia, Krasnoyarsk
References
- Belyaev B.A., Serzhantov A.M., Leksikov A.A., Bal’va Y.F., Leksikov An.A. Novel High-Quality Compact Microstrip Resonator and its Application to Bandpass Filter // IEEE Microwave and Wireless Components Letters. 2015. № 9. P. 579–581.
- Belyaev B.A., Serzhantov A.M., Leksikov A.A., Bal’va Y.F., Leksikov An.A. Multilayered multiconductor stripline resonator and its application to bandpass filter with wide stopband // Microwave and Optical Technology Letters. 2017. V. 59. P. 2212–2216.
- Вендик И.Б., Холодняк Д.В., Симин А.В. Многослойные интегральные схемы сверхвысоких частот на основе керамики с низкой температурой обжига // Компоненты и технологии. 2005. № 5. С. 190–196.
- Kholodnyak D., Kolmakov Ya., Vendik I., Trabert J.F., Mueller J., Druee K.-H., Hein M.A. Bandpass Filters for Ka-Band Satellite Communication Applications Based on LTCC // Proc. 38th European Microwave Conf. (Amsterdam). 2008. P. 211–214.
- Imanaka Y. Multilayered low temperature cofired ceramics (LTCC) technology. Springer Science+Business Media, Inc., 2005.
- Wu C.-H., Lin Y.-S., Wang C.-H., Chen C.-H. A compact LTCC ultra-wideband bandpass filter using semi-lumped parallel-resonance circuits for spurious suppression // European Microwave Conference, Munich, 2007. P. 532–536.
- Hao Z.-C., Ding W., Hong W. Developing Low-Cost W-Band SIW Bandpass Filters Using the Commercially Available Printed-Circuit-Board Technology // IEEE Transactions on Microwave Theory and Techniques. 2016. V. 64. № 6. P. 1775–1786.
- Заргано Г.Ф., Земляков В.В., Крутиев С.В. Полосно-пропускающие фильтры на плоско-поперечных сдвигах H-волноводов, выполненные по SIW-технологии // Физика волновых процессов и радиотехнические системы. 2013. Т. 16. № 2. С. 87–93.
- Bozzi M., Georgiadis A., Wu K. Review of substrate-integrated waveguide circuits and antennas // IET Microwave Antennas and Propagation. 2011. V. 5. № 8. P. 909–920.
- Du C., Ma K., Feng T., Mou S. A self-packaged bandpass filter with controllable. transmission zeros using Substrate Integrated Suspended Lines // IEEE International Conference on Microwave and Millimeter Wave Technology. 2016. P. 317–319.
- Aliqab K., Hong J. UWB Balanced BPF Using a Low-Cost LCP Bonded Multilayer PCB Technology // IEEE Transactions on Microwave Theory and Techniques. 2019. V. 67. № 3. P. 1023–1029.
- Cariou M., Potelon B., Quendo C., Cadiou S., Schlaffer E., Pessl W., Fevre A.L. // IEEE Trans. Microwave Theory Techn. 2017. V. 65. № 2. P. 496–503.
- Chu Y., Ma K., Wang Y., Meng F. A Self-Packaged Low-Loss and Compact SISL DBBPF with Multiple TZs // IEEE Microwave and Wireless Components Letters. 2019. V. 29. № 3. P. 192–194.
- Беляев Б.А., Сержантов А.М., Лексиков Ан.А., Бальва Я.Ф., Галеев Р.Г. Монолитный миниатюрный полосно-пропускающий фильтр на многопроводниковых полосковых резонаторах. // Письма в ЖТФ. 2021. Т. 47. Вып. 13. С. 16–20.
- Беляев Б.А., Сержантов А.М., Лексиков Ан.А., Бальва Я.Ф., Галеев Р.Г. Миниатюрный полосно-пропускающий фильтр на двойных спиральных полосковых резонаторах. // Ural Radio Engineering Journal. 2021. Т. 5. № 1. С. 21–31.
- Лексиков А.А. Многослойные многопроводниковые полосковые резонаторы и устройства частотной селекции сигналов на их основе. Автореф. докт. дис. Ин-т физики им. Л.В. Киренского СО РАН, Красноярск, 2022.
- Беляев Б.А., Сержантов А.М., Бальва Я.Ф. Исследование коэффициентов связи сонаправленных резонаторов в полосковых фильтрах на подвешенной подложке // Радиотехника и электроника. 2008. Т. 53. № 4. С. 432–440.
- Беляев Б.А., Матвеев С.В., Тюрнев В.В., Шихов Ю.Г. Подавление добротности высших резонансов микрополоскового резонатора адгезионным подслоем // Электронная техника. Сер. СВЧ-Техника. 1994. Вып. 4. (464). С. 20–25.
Supplementary files





