DISJOINING PRESSURE IN THIN SPHERICAL LIQUID FILMS AND VAPOR LAYERS WITH MOLECULAR CORRELATIONS INCLUDED
- Authors: Shchekin A.K.1, Gosteva L.A.1
-
Affiliations:
- St. Petersburg State University
- Issue: Vol 509, No 1 (2023)
- Pages: 69-75
- Section: PHYSICAL CHEMISTRY
- URL: https://medbiosci.ru/2686-9535/article/view/135965
- DOI: https://doi.org/10.31857/S2686953522600854
- EDN: https://elibrary.ru/OVWUAG
- ID: 135965
Cite item
Full Text
Abstract
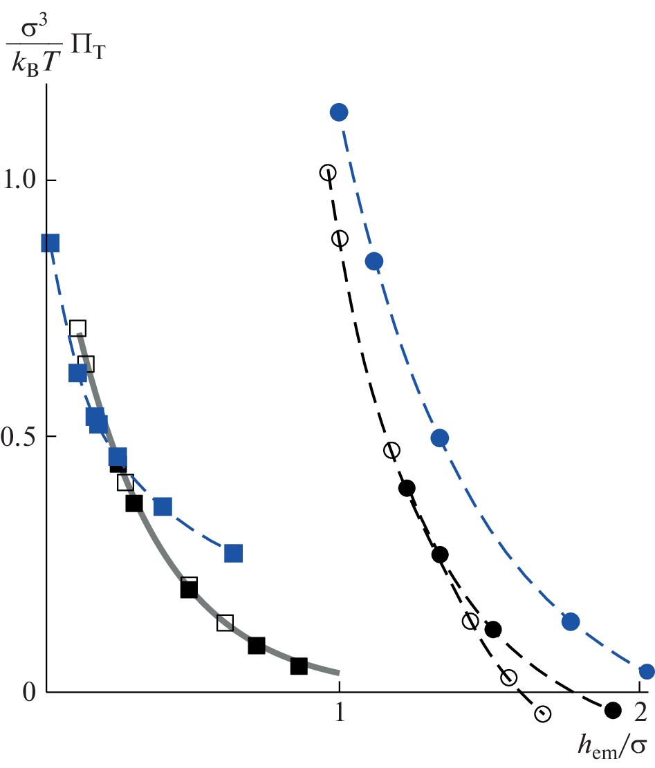
Based on the expression for a grand thermodynamic potential as a molecular density functional, disjoining pressures in thin liquid films around nanosized wettable spherical particles and in thin vapor layers around nonwettable particles are calculated depending the degree of lyophilicity, film thickness and particle size. A characteristic feature of the approach is the full consideration of hard-sphere molecular correlations according to the fundamental measure theory in the density functional method and finding the complete dependence of the grand thermodynamic potential of the system on stable droplet or bubble size. Although the obtained results show a qualitative agreement between the new calculated disjoining pressure dependences and those obtained by us earlier in the framework of a simpler gradient method of the molecular density functional, the new results differ significantly quantitatively. It is confirmed that the disjoining pressure in the liquid film around nanosized lyophilic particle grows with the particle radius and lyophilicity.
About the authors
A. K. Shchekin
St. Petersburg State University
Author for correspondence.
Email: akshch@list.ru
Russian, 199034, St. Petersburg
L. A. Gosteva
St. Petersburg State University
Email: akshch@list.ru
Russian, 199034, St. Petersburg
References
- Дерягин Б.В., Чураев Н.В., Муллер В.М. Поверхностные силы. М.: Наука, 1985. 398 с.
- Русанов А.И. // Журн. общей химии. 2022. Т. 92. № 4. С. 497–546. https://doi.org/10.31857/S0044460X22040011
- Rusanov A.I., Kuni F.M. // Colloids Surf. 1991. V. 61. P. 349–351. https://doi.org/10.1016/0166-6622(91)80320-N
- Kuni F.M., Shchekin A.K., Rusanov A.I., Widom B. // Adv. Colloid Interface Sci. 1996. V. 65. P. 71–124. https://doi.org/10.1016/0001-8686(96)00290-4
- Куни Ф.М., Щекин А.К., Гринин А.П. // УФН. 2001. V. 171. P. 345–385.
- Gjennestad M.A., Wilhelmsen Ø. // Langmuir. 2020. V. 36. P. 7879−7893. https://doi.org/10.1021/acs.langmuir.0c00960
- Русанов А.И. // Коллоид. журн. 2019. Т. 81. № 6. С. 767. https://doi.org/10.1134/S0023291219060156
- Kubochkin N., Gambaryan-Roisman T. // Phys. Rev. Fluids. 2021. V. 6. P. 093603. https://doi.org/10.1103/PhysRevFluids.6.093603
- Napari I., Laaksonen A. // J. Chem. Phys. 2003. V. 119. P. 10363. https://doi.org/10.1063/1.1619949
- Bykov T.V., Zeng X.C. // J. Chem. Phys. 2002. V. 117. P. 1851. https://doi.org/10.1063/1.1485733
- Bykov T.V., Zeng X.C. // J. Chem. Phys. 2006. V. 125. P. 144515. https://doi.org/10.1063/1.2357937
- Щекин А.К., Лебедева Т.С., Татьяненко Д.В. // Коллоид. журн. 2016. Т. 78. С. 520–533. https://doi.org/10.7868/S0023291216040169
- Shchekin A.K., Lebedeva T.S. // J. Chem. Phys. 2017. V. 146. P. 094702. https://doi.org/10.1063/1.4977518
- Svetovoy V.B., Dević I., Snoeijer J.H., Lohse D. // Langmuir. 2016. V. 32. P. 11188–11196. https://doi.org/10.1021/acs.langmuir.6b01812
- Huang D.B., Quan X.J., Cheng P. // International Communications in Heat and Mass Transfer. 2018. V. 93. P. 66–73. https://doi.org/10.1016/j.icheatmasstransfer.2018.03.005
- Yatsyshin P., Durán-Olivencia M.-A., Kalliadasis S. // J. Phys.: Condens. Matter. 2018. V. 30. P. 274003. https://doi.org/10.1088/1361-648X/aac6fa
- Yatsyshin P., Kalliadasis S. // J. Fluid Mech. 2021. V. 913. P. A45. https://doi.org/10.1017/jfm.2020.1167
- Щёкин А.К. // Изв. АН. Сер. хим. 2023. Т. 72. № 2. С. 295–311.
- Bhatt D., Newman J., Radke C.J. // J. Phys. Chem. B. 2002. V. 106. P. 6529–6537. https://doi.org/10.1021/jp0202136
- Hu H., Sun Y. // Appl. Phys. Lett. 2013. V. 103. P. 263110. https://doi.org/10.1063/1.4858469
- Zou A., Maroo S.C. // Phys. Fluids. 2021. V. 33. 042007. https://doi.org/10.1063/5.0044938
- Bryukhanov V.M., Baidakov V.G., Protsenko S.P. // Interfacial Phenomena and Heat Transfer. 2017. V. 5. P. 153–163. https://doi.org/10.1615/InterfacPhenomHeatTransfer.2018025452
- Protsenko K.R., Baidakov V.G. // Phys. Fluids. 2023. V. 35. P. 014111. https://doi.org/10.1063/5.0134778
- Shchekin A., Gosteva L., Tatyanenko D. // Colloids Surf. A. 2021. V. 615. P. 126277. https://doi.org/10.1016/j.colsurfa.2021.126277
- Щёкин А.К., Гостева Л.А., Лебедева Т.С., Татьяненко Д.В. // Коллоид. журн. 2021. Т. 83. № 2. С. 235–241. https://doi.org/10.31857/S0023291221010122
- Evans R. // Adv. Phys. 1979. V. 28. P. 143–200. https://doi.org/10.1080/00018737900101365
- Evans R. Density Functionals in the Theory of Nonuniform Fluids. In: Fundamentals of Inhomogeneous Fluids. D. Henderson (Ed.). Marcel Dekker, New York, 1992. P. 85–175.
- Evans R. Density functional theory for inhomogeneous fluids I: Simple Fluids in Equilibrium. In: Lecture notes at 3rd Warsaw School of Statistical Physics. Cichocki B., Napiorkowski M., Piasecki J. (Eds.). Warsaw University Press., Warsaw, 2010. P. 43−85. ISBN 978-83-235-0602-7
- Lutsko J.F. // Adv. Chem. Phys. 2010. V. 144. P. 1–92. https://doi.org/10.1002/9780470564318.ch1
- Kierlik E., Rosinberg M.L. // Phys. Rev. A. 1990. V. 42. P. 3382–3387. https://doi.org/10.1103/PhysRevA.42.3382
- Lutsko J.F. // J. Chem. Phys. 2008. V. 128. P. 184711. https://doi.org/10.1063/1.2916694
- Roth R. // J. Chem. Phys.: Condens. Matter. 2010. V. 22. P. 063102. https://doi.org/10.1088/0953-8984/22/6/063102
- Shchekin A.K., Shabaev I.V., Rusanov A.I. // J. Chem. Phys. 2008. V. 129. P. 214111. https://doi.org/10.1063/1.3021078
- Rusanov A.I., Shchekin A.K. // Mol. Phys. 2005. V. 103. № 21–23. P. 2911−2922. https://doi.org/10.1080/00268970500151510
- Weeks J.D., Chandler D., Andersen H.C. // J. Chem. Phys. 1971. V. 54. P. 5237–5247. https://doi.org/10.1063/1.1674820
- Lutsko J.F. classicalDFT. GitHub repository. Доступно по: https://github.com/jimlutsko/classicalDFT. Ссылка активна на: 18.02.2023.
Supplementary files







