DFT STUDY OF KETO-ENOL EQUILIBRIUM AND GLOBAL ELECTROPHILICITY OF HYDROXYMALEIMIDE DERIVATIVES
- Авторлар: Panov A.A.1
-
Мекемелер:
- Gause Institute of New Antibiotics
- Шығарылым: Том 508, № 1 (2023)
- Беттер: 111-116
- Бөлім: PHYSICAL CHEMISTRY
- URL: https://medbiosci.ru/2686-9535/article/view/135972
- DOI: https://doi.org/10.31857/S2686953522600325
- EDN: https://elibrary.ru/EVQYQM
- ID: 135972
Дәйексөз келтіру
Толық мәтін
Аннотация
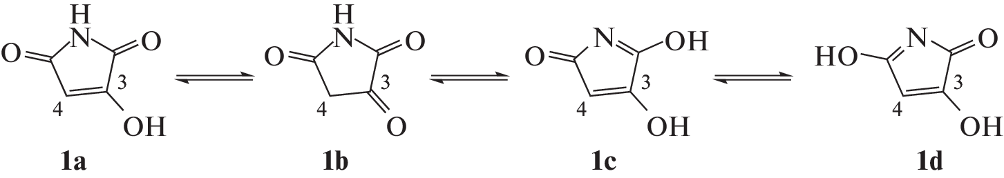
For 36 3-hydroxymaleimide derivatives energies of enol and keto forms were calculated by DFT method. The results clearly show that with only few exceptions, enol form is energetically more favourable by 16–60 kJ mol–1, with energy difference depending on 4-substituent. Global electrophilic index was calculated for all the compounds in question, showing that keto form is generally more electrophilic, with electrophilicity strongly dependending on 4-substituent. Two possible structures of hydroxymaleimide anion were evaluated, with deprotonated oxygen atom being the most energetically favourable.
Негізгі сөздер
Авторлар туралы
Alexey Panov
Gause Institute of New Antibiotics
Хат алмасуға жауапты Автор.
Email: 7745243@mail.ru
Russian, 119021, Moscow
Әдебиет тізімі
- Zaleska B., Lis S. // Synthesis. 2001. V. 6. P. 811–827. https://doi.org/10.1055/s-2001-13398
- Zhang J., Liu M., Huang M., Liu H., Yan Y., Zhang X. // Org. Chem. Front. 2021. V. 8 (10). P. 2268–2273. https://doi.org/10.1039/D1QO00128K
- Zhang J., Liu M., Huang M., Li W., Zhang X. // ChemistrySelect. 2021. V. 6 № 18. P. 4556–4561. https://doi.org/10.1002/slct.202100722
- Howard E.G. Jr. 4-Negative functionally substituted 2,3,5-trichalcogenpyrrolidines, their salts, and methods for preparing them. Patent US 2832790. 1958.
- Salmon-Legagner F., Oliver Y., Bobin C. // Compt. Rend. 1964. V. 258. P. 6456–6457.
- Gerzon K. Novel 2,3-dioxopyrrolidine-3-thiosemi-carbazones. US3285933A, 1964.
- Rooney C.S., Randall W.C., Streeter K.B., Ziegler C., Cra-goe E.J.Jr, Schwam H., Michelson S.R., Williams H.W., Eichler E., Duggan D.E., Ulm E.H., Noll R.M. // J. Med. Chem. 1983. V. 26. P. 700–714. https://doi.org/10.1021/jm00359a015
- Tanaka M., Sagawa S., Hoshi J.-I., Shimoma F., Yasue K., Ubukata M., Ikemoto T., Hase Y., Takahashi M., Sasase T., Ueda N., Matsushita M., Inaba T. // Bioorg. Med. Chem. 2006. V. 14. P. 5781–5794. https://doi.org/10.1016/j.bmc.2006.05.033
- Simonov A.Y., Panov A.A., Trenin A.S., Korolev A.M., Lavrenov S.N. // Pharm. Chem. J. 2021. V. 54 P. 1263–1268. https://doi.org/10.1007/s11094-021-02352-w
- Panov A.A., Simonov A.Y., Korolev A.M. // Russ. J. Org. Chem. 2019. V. 55. P. 1847–1852. https://doi.org/10.1134/S1070428019120066
- Sakamoto Y., Kurihara T. // Yakugaku zasshi. 1979. V. 99. № 8. P. 818–823 (японский). https://doi.org/10.1248/yakushi1947.99.8_818
- Neese F. // Wiley Interdisciplinary Reviews Comp. Mol. Sci. 2012. V. 2. P. 73–78. https://doi.org/10.1002/wcms.81
- Weigend F., Ahlrichs R. // Phys. Chem. Chem. Phys. 2005. V. 7. P. 3297–3305. https://doi.org/10.1039/B508541A
- Weigend F. // Phys. Chem. Chem. Phys. 2006. V. 8. P. 1057–1065. https://doi.org/10.1039/B515623H
- Riplinger C., Sandhoefer B., Hansen A., Neese F. // J. Chem. Phys. 2013. V. 139 P. 134101. https://doi.org/10.1063/1.4821834
- Barone V., Cossi M. // J. Phys. Chem. A. 1998 V. 102. № 11. P. 1995–2001. https://doi.org/10.1021/jp9716997
- Pérez P., Domingo L.R., Aizman A., Contreras R. The electrophilicity index in organic chemistry. In: Theoretical and computational chemistry. Toro-Labbé A. (Ed.). Elsevier: Amsterdam, 2007. P. 139–201. https://doi.org/10.1016/S1380-7323(07)80010-0
Қосымша файлдар








