N,O-, N,N-, N,S- AND N,N,S-HETEROCYCLES WITH AN EXOCYCLIC AMINOGROUP IN THE SYNTHESIS OF 1,5,3,7-DIAZADIPHOSPHACYCLOOCTANES
- Authors: Spiridonova Y.S.1, Litvinov I.A.1, Musina E.I.1, Karasik A.A.1
-
Affiliations:
- Arbuzov Institute of Organic and Physical Chemistry, FRC Kazan Scientific Center, Russian Academy of Sciences
- Issue: Vol 510, No 1 (2023)
- Pages: 40-47
- Section: CHEMISTRY
- URL: https://medbiosci.ru/2686-9535/article/view/135976
- DOI: https://doi.org/10.31857/S2686953522600386
- EDN: https://elibrary.ru/YRDUJD
- ID: 135976
Cite item
Full Text
Abstract
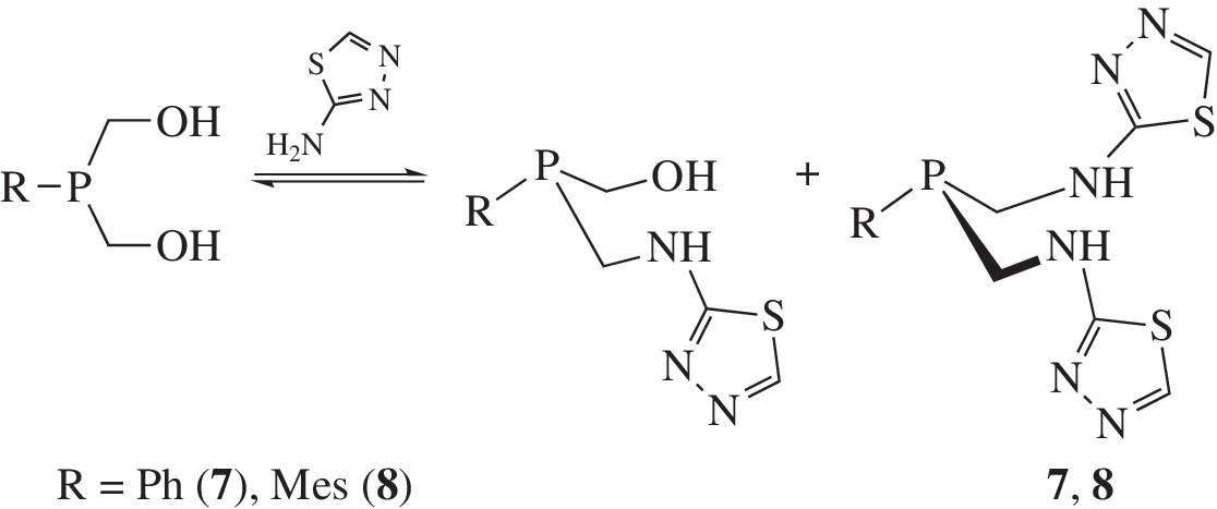
New 1,5,3,7-diazadiphosphacyclooctanes with N,O-, N,N-, N,S- and N,N,S-heterocyclic substituents at nitrogen atoms were synthesized. The influence of amines containing sp2-hybridized nitrogen atom on the ortho-position of the heterocyclic substituent on the result of a Mannich condensation of primary phosphines, paraformaldehyde and primary amines is revealed. The stabilization of intermediate acyclic products – aminomethyl(hydroxymethyl)arylphosphines and bis(aminomethyl)arylphosphines due to amino-imine tautomerism is a reason of the low yield of cyclic diphosphines on the base of above mentioned amines.
About the authors
Yu. S. Spiridonova
Arbuzov Institute of Organic and Physical Chemistry, FRC Kazan Scientific Center, Russian Academy of Sciences
Email: elli@iopc.ru
Russian, 420111, Kazan
I. A. Litvinov
Arbuzov Institute of Organic and Physical Chemistry, FRC Kazan Scientific Center, Russian Academy of Sciences
Email: elli@iopc.ru
Russian, 420111, Kazan
E. I. Musina
Arbuzov Institute of Organic and Physical Chemistry, FRC Kazan Scientific Center, Russian Academy of Sciences
Author for correspondence.
Email: elli@iopc.ru
Russian, 420111, Kazan
A. A. Karasik
Arbuzov Institute of Organic and Physical Chemistry, FRC Kazan Scientific Center, Russian Academy of Sciences
Email: elli@iopc.ru
Russian, 420111, Kazan
References
- Lehn J.-M. // Chem. Soc. Rev. 2007. V. 36. P. 151–160. https://doi.org/10.1039/B616752G
- Lehn J.-M. // Top. Curr. Chem. 2012. V. 322. P. 1–32. https://doi.org/10.1007/128_2011_256
- Rowan S.J., Cantrill S.J., Cousins G.R.L., Sanders J.K.M., Stoddart J.F. // Angew. Chem. Int. Ed. 2002. V. 41. P. 898–952. https://doi.org/10.1002/1521-3773(20020315)41:6<898::AID-ANIE898>3.0.CO;2-E
- Jin Y., Yu C., Denman R.J., Zhang W. // Chem. Soc. Rev. 2013. V. 42. № 16. P. 6634–6654. https://doi.org/10.1039/C3CS60044K
- Schaufelberger F., Timmer B.J.J., Ramström O. Principles of dynamic covalent chemistry. in: dynamic covalent chemistry: Principles, reactions, and applications. Zhang W., Jin Y. (Eds.). John Wiley & Sons Ltd., 2017. p. 1–30. https://doi.org/10.1002/9781119075738.ch1
- Blicke F.F. // Org. React. 2011. V. 1. № 10. P. 303–341. https://doi.org/10.1002/0471264180.or001.10
- Karasik A.A., Balueva A.S., Sinyashin O.G. // C. R. Chim. 2010. V. 13. № 8–9. P. 1151–1167. https://doi.org/10.1016/j.crci.2010.04.006
- Karasik A.A., Sinyashin O.G. Phosphorus based macrocyclic ligands: Synthesis and applications. In: Phosphorus compounds. Catalysis by metal complexes. V. 37. Peruzzini M., Gonsalvi L. (Eds.). Dordrecht: Springer. 2011. P. 375–444. https://doi.org/10.1007/978-90-481-3817-3_12
- Musina E.I., Fesenko T.I., Strelnik I.D., Polyancev F.M., Latypov Sh.K., Lönnecke P., Hey-Hawkins E., Karasik A.A., Sinyashin O.G. // Dalton Trans. 2015. V. 44. № 30. P. 13565–13572. https://doi.org/10.1039/C5DT01910A
- Musina E.I., Naumov R.N., Kanunnikov K.B., Dobry-nin A.B., Gomez-Ruiz S., Lönnecke P., Hey-Hawkins E., Karasik A.A., Sinyashin O.G. // Dalton Trans. 2018. V. 47. № 47. P. 16977–16984. https://doi.org/10.1039/C8DT03214A
- Karasik A.A., Musina E.I., Balueva A.S., Strelnik I.D., Sinyashin O.G. // Pure Appl. Chem. 2017. V. 89. № 3. P. 293–309. https://doi.org/10.1515/pac-2016-1022
- Musina E.I., Khrizanforova V.V.V., Strelnik I.D., Valitov M.I., Spiridonova Y.S., Krivolapov D.B., Litvinov I.A., Kadi-rov M.K., Lönnecke P., Hey-Hawkins E., Budnikova Y.H., Karasik A.A., Sinyashin O.G. // Chem. Eur. J. 2014. V. 20. № 11. P. 3169–3182. https://doi.org/10.1002/chem.201304234
- Shamsutdinova N.A., Strelnik I.D., Musina E.I., Gerasimova T.P., Katsyuba S.A., Babaev V.M., Krivolapov D.B., Litvinov I.A., Mustafina A.R., Karasik A.A., Sinya-shin O.G. // New J. Chem. 2016. V. 40. P. 9853–9861. https://doi.org/10.1039/C6NJ02277D
- Спиридонова Ю.С., Мусина Э.И., Даянова И.Р., Наумова О.Е., Литвинов И.А., Карасик А.А. // Журнал Общ. Химии. 2018. Т. 88. № 11. С. 1776–1781. https://doi.org/10.1134/S0044460X18110033
- Спиридонова Ю.С., Балуева А.С., Криволапов Д.Б., Литвинов И.А., Мусина Э.И., Карасик А.А., Синяшин О.Г. // Изв. АН. Сер. Хим. 2013. № 11. С. 2487–2494. https://doi.org/10.1007/s11172-013-0360-2
- Арбузов Б.А., Ерастов О.А., Хетагурова С.Ш. // Изв. АН СССР. Сер. Хим. 1979. № 4. С. 866–869. https://doi.org/10.1007/BF00923587
- Jackman L.M., Jen T. // J. Am. Chem. Soc. 1975. V. 97. P. 2811–2818. https://doi.org/10.1021/ja00843a033
- Jen T., Dienel B., Bowman H., Petta J., Hilt A., Loev B. // J. Med. Chem. 1972. V 15. P. 727–731. https://doi.org/10.1021/jm00277a008
- Rabinowitz J. // Helv. Chim. Acta. 1969. V. 52. P. 255–261. https://doi.org/10.1002/hlca.19690520125
- Toth G., Almasy A. // Org. Magn. Reson. 1982. V. 19. P. 219–221. https://doi.org/10.1002/mrc.1270190412
- Иванова T.M., Бурштейн K.Я., Мизрах Л.И., Васильев A.M., Гвоздецкий А.Н. // Химия гетероцикл. соед. 1989. № 7. С. 981–988. https://doi.org/10.1007/BF00472758
- Hasanein A.A., Senior S.A. // Int. J. Quantum. Chem. V. 111. № 15. P. 3993–4010. https://doi.org/10.1002/qua.22739
- Léon I., Tasinato N., Spada L., Alonso E.R., Mata S., Balbi A., Puzzarini C., Alonso J.L., Barone V. // ChemPlusChem. 2021. V. 86. P. 1374–1386. https://doi.org/10.1002/cplu.202100224
- Ghiviriga I., El-Gendy B.E.-D.M., Steeld P.J., Katri-tzky A.R. // Org. Biomol. Chem. 2009. V. 7. P. 4110–4119. https://doi.org/10.1039/B907577A
- Shugar D., Szczepaniak K. // Int. J. Quantum. Chem. 1981. V. 20. № 2. P. 573–585. https://doi.org/10.1002/qua.560200229
- Кормачев В.В., Федосеев М.С. Препаративная химия фосфора. Пермь: УрО РАН, 1992. С. 458.
- Koch T., Blaurock S., Hey-Hawkins E. // Eur. J. Inorg. Chem. 2000. № 10. P. 2167–2172. https://doi.org/10.1002/1099-0682(200010)2000:10<2167::AID-EJIC2167>3.0.CO;2-C
- Sheldrick G.M. // SADABS, Program for empirical X-ray absorption correction. Bruker-Nonius, 2004.
- APEX2 (Version 2.1), SAINTPlus, Data Reduction and Correction Program (Version 7.31A), BrukerAXS Inc., Madison, Wisconsin, USA, 2006.
- Sheldrick G.M. // Acta Crystallogr. Sect. A. 2015. V. 71. P. 3–8. https://doi.org/10.1107/S2053273314026370
- Sheldrick G.M. // Acta Crystallogr. Sect. C. 2015. V. 71. P. 3–8. https://doi.org/10.1107/S2053229614024218
- Spek A.L. // Acta Crystallogr. Sect. D. 2009. V. 65. P. 148–155. https://doi.org/10.1107/S090744490804362X
- Macrae C.F., Edgington P.R., McCabe P., Pidcock E., Shields G.P., Taylor R., Towler M., van de Streek J. // J. Appl. Cryst. 2006. V. 39. P. 453–459. https://doi.org/10.1107/S002188980600731X
Supplementary files





