1,3-DEHYDROADAMANTANE AND ITS DERIVATIVES: A VERSATILE SYNTHETIC PLATFORM FOR PREPARATION OF FUNCTIONAL COMPOUNDS WITH A CAGE STRUCTURE. A REVIEW
- Authors: Моkhоv V.М.1, Butоv G.М.2, Novakov I.А.1
-
Affiliations:
- Volgograd State Technical University
- Volzhsky Polytechnic Institute (branch) VolgGTU
- Issue: Vol 511, No 1 (2023)
- Pages: 3-36
- Section: CHEMISTRY
- URL: https://medbiosci.ru/2686-9535/article/view/135978
- DOI: https://doi.org/10.31857/S2686953522600891
- EDN: https://elibrary.ru/EQFPQA
- ID: 135978
Cite item
Full Text
Abstract
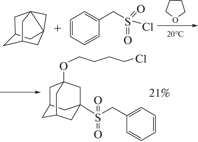
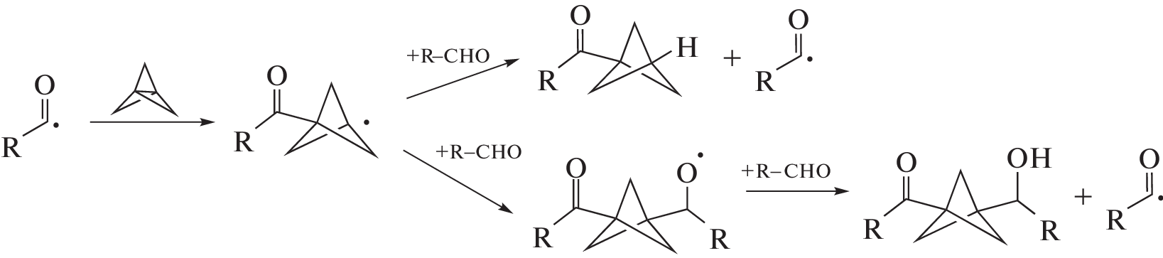
A promising strategy for the synthesis of a functional compounds with framework structure is using of 1,3‑dehydroadamantane (tetracyclo[3.3.1.1.3,7.0.1,3]decane, 1,3-DHA, bridging [3.3.1]propellane) and its derivatives, which are able to restoration of adamantane structure in their reactions. The review provides information on the methods for the synthesis of 1,3-DHA, spectral characteristics, probable intermediates generated from propellanes, and the advantages of using – low-stage syntheses of hardly available adamantine derivatives, atomic precision, and “green chemistry”. The reactions of 1,3-DHA with a wide range of organic compounds are considered, a comparative assessment of its reactivity with respect to CH-, NH-, OH- and SH-acids, as well as arenes, hydantoins, and heterocyclic compounds is carried out. New chemo- and regioselective methods for the one-step introduction of a 1-adamantyl group into the molecules of various substrates are classified. Particular attention is paid to the reactions of 1,3-DHA with various C–H acids, which make it possible to easily form C–CAd bonds to obtain hard-to-reach adamantane derivatives. The influence of pKa of the substrate on the selectivity of the reactions was shown. Low-step methods for the synthesis of new adamantane derivatives, which have shown high activity as hsEH epoxide hydrolase inhibitors and antitumor agents, are described.
About the authors
V. М. Моkhоv
Volgograd State Technical University
Email: butov@post.volpi.ru
Russian, 400005, Volgograd
G. М. Butоv
Volzhsky Polytechnic Institute (branch) VolgGTU
Author for correspondence.
Email: butov@post.volpi.ru
Russian, 404121, Volzhsky
I. А. Novakov
Volgograd State Technical University
Email: butov@post.volpi.ru
Russian, 400005, Volgograd
References
- Zoidis G., Kolocouris N., Naesens L., De Clercq E. // Bioorg. Med. Chem. 2009. V. 17. № 4. P. 1534–1541. https://doi.org/10.1016/j.bmc.2009.01.009
- Спасов А.А., Хамидова Т.В., Бугаева Л.И., Моро-зов И.С. // Хим. Фарм. Ж. 2000. Т. 34. № 1. С. 3–9. https://doi.org/10.1007/BF02524549
- Svensson T. H. // Eur. J. Pharmacol. 1973. V. 23. № 3. P. 232–238. https://doi.org/10.1016/0014-2999(73)90088-5
- Касьян Л.И., Карпенко Д.В., Касьян А.О., Исаев А.К., Придьма С.А. // ЖОрХ. 2007. Т. 43. № 11. С. 1646–1654. https://doi.org/10.1134/S1070428007110103
- Savage S.A., Jones G.S., Kolotuchin S., Ramrattan S.A., Vu T., Waltermire R.E. // Org. Process Res. Dev. 2009. V. 13. № 6. P. 1169–1176. https://doi.org/10.1021/op900226j
- Keating G.M. // Drugs. 2014. V. 74. № 5. P. 587–610. https://doi.org/10.1007/s40265-014-0199-3
- Морозов И.С., Петров В.И., Сергеева С.А. Фармакология адамантанов. Волгоград: Волгогр. Мед. Акад., 2001. 320 с.
- Kuznetsov N.Yu., Tikhov R.M., Godovikov I.A., Medvedev M.G., Lyssenko K.A., Burtseva E.I., Kirillova E.S., Bubnov Yu.N. // Org. Biomol. Chem. 2017. V. 15. № 15. P. 3152–3157. https://doi.org/10.1039/C7OB00331E
- Lamoureux G., Artavia G.// Curr. Med. Chem. 2010. V. 17. № 26. P. 2967–2978. https://doi.org/10.2174/092986710792065027
- Ковтун В.Ю., Плахотник В.М. // Хим. Фарм. Ж. 1987. Т. 21. № 8. С. 931–940. https://doi.org/10.1007/BF00759430
- Данилов Д.В., Дьяченко В.С., Бурмистров В.В., Бутов Г.М., Новаков И.А. // Изв. РАН, сер. хим. 2022. Т. 71. № 1. С. 107–113. https://doi.org/10.1007/s11172-022-3383-8
- Wanka L., Iqbal K., Schreiner P.R.// Chem. Rev. 2013. V. 113. № 3. P. 3516–3604. https://doi.org/10.1021/cr100264t
- Dragomanova S., Lazarova M., Munkuev A., Suslov E., Volcho K., Salakhutdinov N., Bibi A., Reynisson J., Tzvetanova E., Alexandrova A., Georgieva A., Uzunova D., Stefanova M., Kalfin R., Tancheva L. // Molecules. 2022. V. 27. P. 5456. https://doi.org/10.3390/molecules27175456
- Новаков И.А., Орлинсон Б.С., Завьялов Д.В., Богданов А.И., Савельев Е.Н., Потаенкова Е.А., Наход М.А., Пичугин А.М., Поликарпова А.Г., Ковалева М.Н., Антонова П.Е. // Изв. РАН, сер. хим. 2022. Т. 71. № 4. С. 750–759. https://doi.org/10.1007/s11172-022-3475-5
- Fathalla M., Neuberger A., Li S.-C., Schmehl R., Diebold U., Jayawickramarajah J. // J. Am. Chem. Soc. 2010. V. 132. № 29. P. 9966–9967. https://doi.org/10.1021/ja1030722
- Wang J., Pham D.-T., Guo X., Li L., Lincoln S.F., Luo Z., Ke H., Zheng L., Prud’homme R.K. // Ind. Eng. Chem. Res. 2010. V. 49. № 2. P. 609–612. https://doi.org/10.1021/ie901178q
- Charlot A., Auzély-Velty R. // Macromolecules. 2007. V. 40. № 4. P. 1147–1158. https://doi.org/10.1021/ma062322e
- Wang S., Ong P. J., Liu S., Thitsartarn W., Tan M.J.B.H., Suwardi A., Zhu Q., Loh X.J. // Chem. Asian J. 2022. V. 17. № 18. e202200608. https://doi.org/10.1002/asia.202200608
- Wu J., He H., Gao C. // Macromolecules. 2010. V. 43. № 5. P. 2252–2260. https://doi.org/10.1021/ma902255v
- Lamanna G., Russier J., Menard-Moyon C., Bianco A. // Chem. Commun. 2011. V. 47. № 31. P. 8955–8957. https://doi.org/10.1039/c1cc11689d
- Бабаин В.А., Аляпишев М.Ю., Новаков И.А., Орлинсон Б.С., Савельев Е.Н., Шокова Е.А., Серебрянникова А.Е., Ковалев В.В. // Изв. РАН, сер. хим. 2007. Т. 56. № 1. С. 110–115. https://doi.org/10.1007/s11172-007-0019-y
- Agnew-Francis K.A., Williams C.M. // Adv. Synth. Catal. 2016. V. 358. № 5. P. 675–700. https://doi.org/10.1002/adsc.201500949
- Arduengo A.J., Harlow R.L., Kline M. // J. Am. Chem. Soc. 1991. V. 113. № 1. P. 361–363. https://doi.org/10.1021/ja00001a054
- Dossetter A.G., Jamison T.F., Jacobsen E.N. // Angew. Chem. Int. Ed. 1999. V. 38. № 16. P. 2398–2400. https://doi.org/10.1002/(sici)1521-3773(19990816)38:16<2398::aid-anie2398>3.0.co;2-e
- Keitz B.K., Endo K., Patel P.R., Herbert M.B., Grubbs R.H. // J. Am. Chem. Soc. 2012. V. 134. № 1. P. 693–699. https://doi.org/10.1021/ja210225e
- Lim H., Chang J.Y. // Macromolecules. 2010. V. 43. № 17. P. 6943–6945. https://doi.org/10.1021/ma101361b
- Fang Q., Gu S., Zheng J., Zhuang Z., Qiu S. Yan Y. // Angew. Chem. Int. Ed. 2014. V. 53. № 11. P. 2878–2882. https://doi.org/10.1002/anie.201310500
- Fang Q., Wang J., Gu S., Kaspar R.B., Zhuang Z., Zheng J., Guo H., Qiu S., Yan Y. // J. Am. Chem. Soc. 2015. V. 137. № 26. P. 8352–8355. https://doi.org/10.1021/jacs.5b04147
- Kahl P., Wagner J.P., Balestrieri C., Becker J., Hausmann H., Bodwell G.J., Schreiner P.R. // Angew. Chem. Int. Ed. 2016. V. 55. № 32. P. 9277–9281. https://doi.org/10.1002/anie.201602201
- Абель А.С., Григорова О.К., Аверин А.Д., Малошиц-кая О.А., Бутов Г.М., Савельев Е.Н., Орлинсон Б.С., Новаков И.А., Белецкая И.П. // Изв. РАН, сер. хим. 2016. № 7. С. 1820–1828.
- Панченко С.П., Абель А.С., Аверин А.Д., Малошиц-кая О.А., Савельев Е.Н., Орлинсон Б.С., Новаков И.А., Белецкая И.П. // Изв. РАН, сер. хим. 2016. № 6. С. 1550–1555.
- Abel A.S., Averin A.D., Savelyev E.N., Orlinson B.S., Novakov I.A. Beletskaya I.P. // Mendeleev Commun. 2017. V. 27. № 6. P. 550–552. https://doi.org/10.1016/j.mencom.2017.11.003
- Abel A.S., Kotovshchikov Yu.N., Averin A.D., Maloshitskaya O.A., Savelyev E.N., Orlinson B.S., Novakov I.A. Beletskaya I.P. // Heterocycles. 2019. V. 99. № 2. P. 1342–1354. https://doi.org/10.3987/COM-18-S(F)64
- Ляхович М.С., Мурашкина А.В., Панченко С.П., Аверин А.Д., Абель А.С., Малошицкая О.А., Г.М., Савельев Е.Н., Орлинсон Б.С., Новаков И.А., Белецкая И.П. // ЖОрХ. 2021. Т. 57. № 5. С. 700–717. https://doi.org/10.1134/S1070428021050031
- Kharlamova A.D., Abel A.S., Averin A.D., Maloshi-tskaya O.A., Roznyatovskiy V.A., Savelyev E.N., Orlin-son B.S., Novakov I.A. Beletskaya I.P. // Molecules. 2021. V. 26. № 7. P. 1910. https://doi.org/10.3390/molecules26071910
- Weigel W.K., Dang H.T., Feceu A., Martin D.B.C. // Org. Biomol. Chem. 2022. V. 20. P. 10–36. https://doi.org/10.1039/D1OB01916C
- Butterworth R.F. // Drugs in R&D. 2021. V. 21. P. 267–272. https://doi.org/10.1007/s40268-021-00351-6
- Spilovska K., Zemek F., Korabecny J., Nepovimova E., Soukup O., Windisch M., Kuca K. // Curr. Med. Chem. 2016. V. 23. № 29. P. 3245–3266. https://doi.org/10.2174/0929867323666160525114026
- Авдеева В.В., Гараев Т.М., Малинина Е.А., Жи-жин К.Ю., Кузнецов Н.Т. // ЖНХ. 2022. Т. 67. № 1. С. 33–53. https://doi.org/10.1134/S0036023622010028
- Баранов Н.И., Багрий Э.И., Сафир Р.Э., Чередниченко А.Г., Боженко К.В., Максимов А.Л. // Нефтехимия. 2022. Т. 62. № 2. С. 181–208. https://doi.org/10.31857/S0028242122020022
- Новаков И.А., Орлинсон Б.С. Полимеры на основе адамантана: синтез свойства, направления практического использования. Волгоград: Политехник, 2005. 95 с.
- Стулин Н.В., Юдашкин A.В., Ширяев A.K., Моисе-ев И.K., Петров A.С. // Хим.- фарм. Ж. 1984. Т. 18. № 5. С. 595–598. https://doi.org/10.1007/BF00766669
- Моисеев И.К., Багрий Е.И., Климочкин Ю.Н., Долгополова Т.Н., Земцова M.Н., Трахтенберг П.Л. // Изв. АН СССР, сер. хим. 1985. Т. 34. № 9. С. 1983–1985. https://doi.org/10.1007/BF00953951
- Stetter H., Schwarz M., Hirschhorn A. // Chem. Ber. 1959. V. 92. № 7. P. 1629–1635. https://doi.org/10.1002/cber.19590920722
- Багрий Е.И., Нехаев А.И., Максимов А.Л. // Нефтехимия. 2017. Т. 57. № 2. С. 123–137. https://doi.org/10.1134/S0965544117020128
- Климочкин Ю.Н., Леонова М.В., Ивлева Е.А. // ЖОрХ. 2020. Т. 56. № 10. С. 1516–1526. https://doi.org/10.1134/S107042802010005X
- Кислицина К.С., Щаднева Н.А., Хуснутдинов Р.И. // ЖОрХ. 2018. Т. 54. № 7. С. 990–993. https://doi.org/10.1134/S1070428018070035
- Хуснутдинов Р.И., Щаднева Н.А., Маликов А.И., Джемилев У.М. // Нефтехимия. 2006. Т. 46. № 3. С. 181–185. https://doi.org/10.1134/S0965544106030030
- Хуснутдинов Р.И., Щаднева Н.А., Мухаметшина Л.Ф., Джемилев У.М. // ЖОрХ. 2008. Т. 44. № 7. С. 1093–1095. https://doi.org/10.1134/S1070428008070245
- Ginsburg D. // Acc. Chem. Res. 1972. V. 5. № 7. P. 249–256. https://doi.org/10.1021/ar50055a004
- Newton M.D., Schulman J.M. // J. Am. Chem. Soc. 1972. V. 94. № 3. P. 773–778. https://doi.org/10.1021/ja00758a015
- Wiberg K.B. // Chem. Rev. 1989. V. 89. № 5. P. 975–983. https://doi.org/10.1021/cr00095a001
- Wieberg K.B., Lupton E.C., Burgmaier G.J. // J. Am. Chem. Soc. 1969. V. 91. № 12. P. 3372–3373. https://doi.org//10.1021/ja01040a046
- Wieberg K.B., Burgmaier G.J. // Tetrahedron Lett. 1969. V. 10. № 5. P. 317–319. https://doi.org/10.1016/S0040-4039(01)87681-4
- Wieberg K.B., Hiatt J.E., Burgmaier G.J. // Tetrahedron Lett. 1968. V. 9. № 56. P. 5855–5857. https://doi.org/10.1016/S0040-4039(00)75423-2
- Pincock R.E., Schmidt J., Scott W.B., Torupka E.J. // Can. J. Chem. 1972. V. 50. № 24. P. 3958–3964. https://doi.org/10.1139/v72-627
- Herr M.L. // Tetrahedron. 1977. V. 33. № 15. P. 1897–1903. https://doi.org/10.1016/0040-4020(77)80374-8
- Levin M.D., Kaszynski P., Michl J. // Chem. Rev. 2000. V. 100. № 1. P. 169–234. https://doi.org/10.1021/cr990094z
- SchIiiter A.-D., H. Bothe, Gosau J.-M. // Makromol. Chem. 1991. V. 192. № 11. P. 2497–2519. https://doi.org/10.1002/macp.1991.021921101
- Liebman I.E., Greenberg A. // Chem. Rev. 1976. V. 76. № 3. P. 311–365. https://doi.org/10.1021/cr60301a002
- Щапин И.Ю., Белопушкин С.И., Тюрин Д.А., Но Б.И., Бутов Г.М., Мохов В.М. // Докл. РАН. 2000. Т. 372. № 1. С. 60–65.
- Shchapin I.Yu., Belopushkin S.I., Tyurin D.A., No B.I., Butov G.M., Mokhov V.M. // Russ. J. Phys. Chem. 2000. V. 74. Suppl. 2. C. S292–S303.
- Pincock R.E., Torupka E.J. // J. Am. Chem. Soc. 1969. V. 91. № 16. P. 4593–4599. https://doi.org/10.1021/ja01044a072
- Scott W.B., Pincock R.E. // J. Am. Chem. Soc. 1973. V. 95. № 6. P. 2040–2041. https://doi.org/10.1021/ja00787a069
- Rifi M.R. // Coll. Czech. Chem. Commun. 1971. V. 36. № 2. P. 932–935. https://doi.org/10.1135/cccc19710932
- Сон В.В., Сон Т.В. // ЖОрХ. 1991. Т. 27. № 11. С. 2347–2349.
- Но Б.И., Сон В.В., Белякова Т.В., Куликова Н.И. // ЖОХ. 1982. Т. 52. № 9. С. 2139–2140.
- Bielmann R., Grob C.A., Schaub B. // Helv. Chim. Acta. 1982. V. 65. № 169. P. 1728–1733. https://doi.org/10.1002/hlca.19820650607
- Нехаев А.И., Багрий Е.И. // Изв. РАН, сер. хим. 2002. № 2. С. 341–342. https://doi.org/10.1023/A:1015488517738
- Adcock W., Clark C.I. // J. Org. Chem. 1993. V. 58. № 26. P. 7341–7349. https://doi.org/10.1021/jo00078a009
- Inomata S., Harada Y., Nakamura Y., Nakamura T., Ishizone T. // Synthesis. 2013. V. 45. P. 3332–3340. https://doi.org/10.1055/s-0033-1338554
- Степанов Ф.Н., Довгань Н.Л. // ЖОрХ. 1968. Т. 4. № 2. С. 277–280.
- Волобоев С.Н., Бутенко Л.И., Новаков И.А. // ЖОХ. 2001. Т. 71. № 7. С. 1187–1192. https://doi.org/10.1023/A:1013178326353
- Kell D.R., McQuill F.J. // J. Chem. Soc. D: Chem. Comm. 1970. № 10. P. 599–600. https://doi.org/10.1039/C29700000599
- Мохов В.М., Саад К.Р., Паршин Г.Ю., Бутов Г.М. // ЖОрХ. 2019. Т. 55. № 5. С. 736–741. https://doi.org/10.1134/S1070428019050099
- Wiberg K.B., Waddell S.T. // J. Am. Chem. Soc. 1990. V. 112. №. 6. P. 2194–2216. https://doi.org/10.1021/ja00162a022
- Но Б.И., Бутов Г.М., Мохов В.М., Паршин Г.Ю. // ЖОрХ. 2002. № 2. С. 316–317. https://doi.org/10.1023/A:1015598607917
- Sasaki T., Nakanishi A., Ohno M. // J. Org. Chem. 1982. V. 47. № 17. P. 3219–3224. https://doi.org/10.1021/jo00138a004
- Новаков И.А., Орлинсон Б.С., Савельев Е.Н., Потаенкова Е.А., Вострикова О.В., Тараканов Д.П., Наход М.А. // ЖОХ. 2017. Т. 87. № 12. С. 1942–1946. https://doi.org/10.1134/S1070363217120027
- Хуснутдинов Р.И., Щаднева Н.А., Кислицина К.С., Веклов В.А., Кутепов Б.И. // ЖОрХ. 2014. Т. 50. № 9. С. 1289–1292. https://doi.org/10.1134/S1070428014090061
- Nishimoto Y., Onishi Y., Yasuda M., Baba A. // Angew. Chem. Int. Ed. 2009. V. 48. P. 9131–9134. https://doi.org/10.1002/anie.200904069
- Onishi Y., Nishimoto Y., Yasuda M., Baba A. // Org. Lett. 2011. V. 13. № 10. P. 2762–2765. https://doi.org/10.1021/ol200875m
- Henkel J.G., Hane J.T. // J. Med. Chem. 1982. V. 25. № 1. P. 51–56. https://doi.org/10.1021/jm00343a010
- Бутов Г.М., Мохов В.М., Паршин Г.Ю., Кунаев Р.У. // ЖОрХ. 2009. Т. 45. № 12. С. 1865–1866. https://doi.org/10.1134/S1070428009120215
- Когай Б.Е., Соколенко В.А. // Изв. АН СССР, сер. хим. 1982. Т. 31. № 1. С. 222. https://doi.org/10.1007/BF00954454
- Бутов Г.М., Мохов В.М., Паршин Г.Ю., Кунаев Р.У., Шевелев С.А., Далингер И.Л., Вацадзе И.А. // ЖОрХ. 2008. Т. 44. № 8. С. 1171–1174. https://doi.org/10.1134/S1070428008080083
- Но Б.И., Бутов Г.М., Мохов В.М., Паршин Г.Ю. // ЖОрХ. 2002. Т. 38. № 9. С. 1429–1430. https://doi.org/10.1023/a:1021680519152
- Но Б.И., Бутов Г.М., Мохов В.М., Паршин Г.Ю. // ЖОрХ. 2003. № 11. С. 1737–1738. https://doi.org/10.1023/B:RUJO.0000013145.17158.71
- Пашкевич К.И., Салоутин В.И., Постовский И.Я. // Успехи химии. 1981. Т. 50. № 2. С. 325–354. https://doi.org/10.1070/RC1981v050n02ABEH002555
- Kadashi S., Shoji E., Takeshi T. // Bull. Soc. Chim. Japan. 1968. V. 41. № 1. P. 238–240. https://doi.org/10.1246/bcsj.41.238
- Климова Н.В., Арендарук А.П., Баранова М.А., Васетченкова Н.И., Шмарьян М.И., Сколдинов А.П. // Ж. Фарм. хим. 1970. Т. 4. № 11. С. 14–18. https://doi.org/10.1007/BF00760189
- Ley S.V., Leach A.G., Storer R.I. // J. Chem. Soc., Perkin Trans. 1. 2001. P. 358–361 https://doi.org/10.1039/b008814p
- Реутов О.А., Белецкая И.П., Бутин К.П. СН-Кислоты. М: Наука, 1980. 247 с.
- Мохов В.М., Бутов Г.М. // ЖОрХ. 2014. Т. 50. № 9. С. 1296–1299. https://doi.org/10.1134/S1070428014090085
- Бутов Г.М., Мохов В.М., Бурмистров В.В., Саад К.Р., Питушкин Д.А. // ЖОрХ. 2014. Т. 50. № 9. С. 1293–1295. https://doi.org/10.1134/S1070428014090073
- Мохов В.М., Бурмистров В.В., Бутов Г.М. // ЖОрХ. 2016. Т. 52. № 8. С. 1128–1130. https://doi.org/10.1134/S1070428016080042
- Мохов В.М., Бутов Г.М., Саад К.Р. // ЖОрХ. 2017. Т. 53. № 2. С. 174–176. https://doi.org/10.1134/S1070428017020038
- Мохов В.М., Бутов Г.М., Саад К.Р. // ЖОрХ. 2017. Т. 53. № 1. С. 14–15. https://doi.org/10.1134/S107042801701002X
- Но Б.И., Бутов Г.М., Мохов В.М., Вишневецкий Е.Н. // ЖОрХ. 2003. № 8. С. 1264–1265. https://doi.org/10.1023/B:RUJO.0000010194.16138.0b
- Бутов Г.М., Першин В.В., Бурмистров В.В. // ЖОрХ. 2011. Т. 47. № 4. С. 601–602. https://doi.org/10.1134/S1070428011040221
- Бурмистров В.В., Питушкин Д.А., Бутов Г.М. // ЖОрХ. 2017. Т. 53. № 1. С. 16–18. https://doi.org/10.1134/S1070428017010031
- Matsuoka S., Ogiwara N., Ishizone T. // J. Am. Chem. Soc. 2006. V. 128. P. 8708–8709. https://doi.org/10.1021/ja062157i
- Inomata S., Matsuoka S., Sakai S., Tajima H., Ishi-zone T. // Macromolecules. 2012. V. 45. P. 4184−4195. https://doi.org/10.1021/ma300395s
- Ishizone T., Matsuoka S., Sakai S., Harada W., Taji-ma H. // Macromolecules. 2004. V. 37. P. 7069–7071. https://doi.org/10.1021/ma048925c
- Бутов Г.М., Мохов В.М., Зубович Е.А. // ЖОрХ. 2020. Т. 56. № 6. С. 941–946. https://doi.org/10.1134/S1070428020060123
- Бутов Г.М., Мохов В.М., Камнева Е.А., Саад К.Р. // ЖОрХ. 2009. Т. 45. № 11. С. 1727–1728. https://doi.org/10.1134/s1070428009110256
- Бутов Г.М., Мохов В.М., Саад К.Р., Камнева Е.А. // ЖПХ. 2009. Т. 82. № 4. С. 694–695. https://doi.org/10.1134/S1070427209040284
- Бутов Г.М., Мохов В.М., Камнева Е.А., Саад К.Р. // ЖПХ. 2011. № 4. Р. 695–696. https://doi.org/10.1134/S1070427211040318
- Sasaki T., Eguchi S., Toru T. // Bull. Chem. Soc. Japan. V. 41. № 1. P. 236–238. https://doi.org/10.1246/bcsj.41.236
- Bakke J.M., Knudsen B. // Acta Chem. Scand. 1993. V. 47. P. 621–622. https://doi.org/10.1002/chin.199336113
- Krumkalns E.V., Pfeifer W. // J. Med. Chem. 1968. V. 11. № 5. P. 1103. https://doi.org/10.1021/jm00311a056
- Mukhopadhyay P., Zavalij P.Y., Isaacs L. // J. Am. Chem. Soc. 2006. V. 128. № 43. P. 14093–14102. https://doi.org/10.1021/ja063390j
- Вашкевич Е.В., Юрашевич Н.Я., Козлов Н.Г., Поткин В.И., Поткина Т.Н. // ЖПХ. 2001. Т. 74. № 11. С. 1833–1839. https://doi.org/10.1023/A:1014801013154
- Бутов Г.М., Мохов В.М. // ЖОрХ. 2014. Т. 50. № 3. С. 455–456. https://doi.org/10.1134/S1070428014030270
- Бутов Г.М., Мохов В.М. // ЖОрХ. 2013. Т. 49. № 9. С. 1419–1420. https://doi.org/10.1134/S1070428013090303
- Бутов Г.М., Мохов В.М., Паршин Г.Ю., Панюш-кина О.А. // ЖОрХ. 2009. Т. 45. № 11. С. 1736–1737. https://doi.org/10.1134/S107042800911030X
- Бутов Г.М., Мохов В.М., Паршин Г.Ю., Лысых Б.А., Конюшкин Л.Д., Фирганг С.И. // ЖОрХ. 2011. Т. 47. № 1. С. 149–150. https://doi.org/10.1134/S1070428011010210
- Бутов Г.М., Лысых Б.А., Далингер И.Л., Вацадзе И.А., Шкинева Т.К., Климочкин Ю.Н., Осянин В.А. // ХГС. 2014. Т. 50. № 5. С. 816–820. https://doi.org/10.1007/s10593-014-1530-3
- Бурмистров В.В., Питушкин Д.А., Васипов В.В., Дьяченко В.С., Бутов Г.М. // ХГС. 2019. Т. 55. № 7. С. 619–622. https://doi.org/10.1007/s10593-019-02507-4
- Но Б.И., Зотов Ю.Л., Попов Ю.В., Корчагина Т.К., Хмелидзе И.А., Чичерина Г.В. // ЖОХ. 1996. Т. 66. № 9. С. 1582.
- Но Б.И., Зотов Ю.Л., Хмелидзе И.А. // ЖОХ. 1998. Т. 68. № 3. С. 520–521.
- Inomata S., Harada Y., Matsuoka S., Ishizone T. // Tetrahedron. 2013. V. 69. № 15. P. 3238–3248. https://doi.org/10.1016/j.tet.2013.02.042
- Бутов Г.М., Пастухова Н.П., Камнева Е.А., Саад К.Р. // ЖПХ. 2012. Т. 85. № 10. С. 1658–1659. https://doi.org/10.1134/S1070427212100199
- Бутов Г.М., Мохов В.М. // ЖОрХ. 2018. Т. 54. № 12. С. 1746–1749. https://doi.org/10.1134/S1070428018120035
- Сон В.В., Иванченко С.П., Сон Т.В. // ЖОХ. 1990. Т. 60. № 3. С. 710–712.
- Бутов Г.М., Мохов В.М., Леденёв С.М., Терентьев А.О. Способ получения 1‑адамантилгидропероксида. Пат. РФ № 2471780. 2013.
- Но Б.И., Бутов Г.М., Леденев С.М. // ЖОрХ. 1993. Т. 29. № 5. С. 1076–1078.
- Но Б.И., Бутов Г.М., Леденев С.М. // ЖОpХ. 1992. Т. 28. № 3. С.606–607.
- Но Б.И., Бутов Г.М., Мохов В.М., Сафонов С.А. // ЖОрХ. 1998. Т. 34. № 6. С. 942–943.
- Но Б.И., Бутов Г.М., Мохов В.М., Сафонов С.А. // ЖОрХ. 1998. Т. 34. № 10. С. 1570–1571.
- Но Б.И., Бутов Г.М., Леденев С.М. // ЖОpХ. 1995. Т.31. № 3. С. 478.
- Siddiqui G., Giannangelo C., De Paoli A., Schuh A.K., Heimsch K.C., Anderson D., Brown T.G., MacRaild C.A., Wu J., Wang X., Dong Y., Vennerstrom J.L., Becker K., Creek D.J. // ACS Infect. Dis. 2022. V. 8. № 1. P. 210–226. https://doi.org/10.1021/acsinfecdis.1c00550
- Barton D.H.R., Halley F., Ozbalik N., Schmitt M., Young E., Balavoine G. // J. Am. Chem. Soc. I989. V. 111. № 18. P. 7144–7149. https://doi.org/10.1021/ja00200a037
- Mella M., Freccero M., Albini A. // J. Chem. Soc., Chem. Commun. 1995. № 1. P. 41–42. https://doi.org/10.1039/C39950000041
- Pai Y-M., Wanek E., Weber W.P. // J. Organomet. Chem. 1984. V. 270. № 3. P. 271–275. https://doi.org/10.1016/0022-328X(84)80373-3
- Grob C.A., Sawlewicz P. // Helv. Chim. Acta. 1988. V. 71. P. 1508–1510. https://doi.org/10.1002/hlca.19880710616
- Sasaki T., Shimizu K., Ohno M. // Synth. Commun. 1984. V. 14. № 9. P. 853–856. https://doi.org/10.1080/00397918408075728
- Но Б.И., Бутов Г.М., Мохов В.М., Соломон О.Г. // ЖОХ. 1998. Т. 68. № 8. С. 1288–1290.
- Но Б.И. Сон В.В., Белякова Т.В., Ущенко В.П., Куликова Н.И. // ЖОХ. 1982. Т. 52. № 9. С. 2138–2139.
- Pae D.H., Xiao M., Chiang M.Y., Gaspar P.P. // J. Am. Chem. Soc. 1991. V. 113. P. 1281–1288. https://doi.org/10.1021/ja00004a031
- Андрианов К.А., Соучек И., Хананашвили Л.М. // Успехи химии. 1979. Т. 48. № 7. С. 1233–1255. https://doi.org/10.1070/RC1979v048n07ABEH002390
- Соммер Л.Г. Стереохимия и механизмы реакций кремнийорганических соединений. М.: Мир, 1966. 190 с.
- Егорочкин А.Н., Вязанкин Н.С., Хорошев С.Я. // Успехи химии. 1972. Т.41. № 5. С. 828–851. https://doi.org/10.1070/RC1972v041n05ABEH002065
- Егорочкин А.Н., Вязанкин Н.С. // Докл. АН СССР. 1971. Т. 196. № 2. С. 345–347.
- Но Б.И., Зотов Ю.Л., Петрунева Р.М. // ЖОХ. 1990. Т. 60. № 10. С. 2393–2394.
- Hammond P.R. // J. Chem. Soc. 1962. P. 1365–1369. https://doi.org/10.1039/JR9620001365
- Сон В.В. // ЖОрХ. 1992. Т. 28. № 3. С. 608–610.
- Петров К.А., Репин В.Н., Сорокин В.Д. // ЖОХ. 1992. Т. 62. № 2. С 303–305.
- Но Б.И., Зотов Ю.Л., Петрунева Р.М. // ЖОХ. 1994. Т. 64. № 2. С. 229–231.
- Но Б.И., Сон В.В., Воронков Ю.В. // Авт. свид. 1108746 СССР, МКИ4 СО7Г 9/28.
- Но Б.И., Зотов Ю.Л., Петрунева Р.М. // ЖОХ. 1991. Т. 61. № 8. С. 1906–1907.
- Khullar K.K., Bauer L. // J. Org. Chem. 1971. V. 36. № 20. P. 3038–3040. https://doi.org/10.1021/jo00819a029
- Jones S.R., Mellor J.M. // Synthesis. 1976. № 1. P. 32–33. https://doi.org/10.1055/s-1976-23946
- Firouzabadi H., Iranpoor N., Jafarpour M. // Tetrahedron Lett. 2006. V. 47. № 1. P. 93–97. https://doi.org/10.1016/j.tetlet.2005.10.137
- Melzig L., Diene C.R., Rohbogner C.J., Knochel P. // Org. Lett. 2011. V. 13. № 12. P. 3174–3177. https://doi.org/10.1021/ol201100p
- Но Б.И., Бутов Г.М., Мохов В.М. // ЖОрХ. 1999. Т. 35. № 1. С. 154–155.
- Бутов Г.М., Мохов В.М., Паршин Г.Ю., Кунаев Р.У. // ЖОрХ. 2007. Т. 43. № 8. С. 1256–1257. https://doi.org/10.1134/S1070428007080301
- Мохов В.М., Бутов Г.М., Дьяконов С.В. // ЖОрХ. 2017. Т. 53. № 8. С. 1166–171. https://doi.org/10.1134/S1070428017080048
- Мохов В.М., Бутов Г.М., Саад К.Р. // ЖОрХ. 2018. Т. 54. № 6. С. 840–843. https://doi.org/10.1134/S1070428018060039
- Но Б.И., Зотов Ю.Л., Петрунева Р.М. // ЖОХ. 1991. Т. 61. № 7. С. 1704.
- Петров К.А., Репин В.Н., Сорокин В.Д. // ЖОрХ. 1992. Т. 28. № 1. С. 129–132.
- Donald P., Loker K.B. // J. Fluor. Chem. 2002. V. 117. № 2. P. 103–105. https://doi.org/10.1016/S0022-1139(02)00155-0
- Бутов Г.М., Иванкина О.М., Иванов В.А., Мохов В.М., Зык Н.В. // ЖОХ. 2012. Т. 82. № 6. С. 1049–1050. https://doi.org/10.1134/S1070363212060278
- Бутов Г.М., Иванкина О.М., Мохов В.М., Ива-нов В.А. // Успехи современного естествознания. 2011. № 9. С. 97–99.
- Бутов Г.М., Мохов В.М., Цапкова Ю.П., Анти-пин Р.Л., Гаврилова А.Ю., Зык Н.В. // ЖОрХ. 2010. 46. № 6. С. 928–929. https://doi.org/10.1134/S1070428010060266
- Петров К.А., Репин В.Н., Сорокин В.Д. // ЖОрХ. 1991. Т. 27. № 4. С. 773–778.
- Fokin A.A., Schreiner P.R., Gunchenko P.A., Shubina T.E., Isaev S.D., Tarasenko P.V., Kulik N.I., Peleshanko S.A., Schiebel H.-M., Yurchenko A.G. // J. Am. Chem. Soc. 2000. V. 122. № 30. P. 7317–7326. https://doi.org/10.1021/ja000193q
- Соколенко В.А., Маркова В.А., Когай Б.Е. // ЖОрХ. 1978. Т. 14. № 5. С. 111.
- Fokin A.A., Tkachenko B.A., Korshunov O.I., Gunchenko P.A., Schreiner P.R. // J. Am. Chem. Soc. 2001. V. 123. № 45. P. 11248–11252. https://doi.org/10.1021/ja0158096
- Соколенко В.А., Кишкань Л.Н., Когай Б.Е. // ЖОрХ. 1976. Т. 12. № 4. С. 906.
- Когай Б.Е., Соколенко В.А. // Изв. АН СССР, сер. хим. 1986. № 6. С. 1455–1456. https://doi.org/10.1007/BF00956640
- Fokin A.A., Gunchenko P.A., Yaroshinsky A.I., Yur-chenko A.G., Krasutsky P.A. // Tetrahedron Lett. 1995. V. 36. № 25. P. 4479–4482. https://doi.org/10.1016/0040-4039(95)00763-3
- Fokin A.A., Gunchenko P.A., Kulik N.I., Iksanova S.V., Krasutsky P.A., Gogoman I.V., Yurchenko A.G. // Tetrahedron. 1996. V. 52. № 16. P. 5857–5866. https://doi.org/10.1016/0040-4020(96)00215-3
- Соколенко В.А., Когай Б.Е. // ЖОpХ. 1976. Т. 12. № 6. С. 1370–1371.
- Когай Б.Е., Губернаторов В.К., Соколенко В.А. // ЖОХ. 1984. Т. 20. № 12. С. 2554–2558.
- Когай Б.Е., Соколенко В.А., Петровский П.В., Соколов В.Л. // Изв. АН СССР, сер. хим. 1982. Т. 31. С. 1464–1466. https://doi.org/10.1007/BF00954179
- Соколенко В.А. // Изв. АН СССР, сер. хим. 1982. № 2. С. 479. https://doi.org/10.1007/BF00948286
- Burmistrov V., Morisseau C., Harris T.R., Butov G., Hammock B.D. // Bioorg. Chem. 2018. V. 76. 510–527. https://doi.org/10.1016/j.bioorg.2017.12.024
- Zefirov N.A., Gädert L., Fatkulin A.R., Shibilev V.M., Butov G.M., Mokhov V.M., Kuznetsov S.A., Zefi-rova O.N. // Mendeleev Commun. 2020. V. 30. № 1. P. 106–108. https://doi.org/10.1016/j.mencom.2020.01.035
- Mlinaric-Majerski K., Majerski Z., Rakvin B., Veksli Z. // J. Org. Chem. 1989. V. 54. № 3. P. 545–548. https://doi.org/10.1021/jo00264a008
- Warner P., LaRose R., Schleis T. // Tetrahedron Lett. 1976. № 49. P. 4443–4446. https://doi.org/10.1016/0040-4039(76)80138-4
- Mlinaric-Majerski K., Majerski Z. // J. Am. Chem. Soc. I980. V. 102. № 4. P. 1418–1419. https://doi.org/10.1021/ja00524a033
- Mlinaric-Majerski K., Majerski Z. // J. Am. Chem. Soc. 1983. V. 105. № 25. P. 7389–7395. https://doi.org/10.1021/ja00363a029
- Vinkovic V., Majerski Z. // J. Am. Chem. Soc. 1982. V. 104. № 14. P. 4027–4029. https://doi.org/10.1021/ja00378a052
- Wiberg K.B., Walker F.H. // J. Am. Chem. Soc. 1982. V. 104. № 19. P. 5239–5240. https://doi.org/10.1021/ja00383a046
- Wiberg K.B., Dailey W.P., Walker F.H., Waddell S.T., Cracker L.S., Newton M. // J. Am. Chem. Soc. 1985. V. 107. № 25. P. 7241–7251. https://doi.org/10.1021/ja00311a003
Supplementary files
































































































