CHIRAL N-(OCTAHYDRO-2H-CHROMEN-4-YL)-2-(DIALKYLAMINO)ACETAMIDES: SYNTHESIS AND ANALGESIC ACTIVITY
- Authors: Li-Zhulanov N.S.1, Nikolaichuk K.M.1,2, Gatilov Y.V.1, Volcho K.P.1, Khvostov M.V.1, Tolstikova T.G.1, Salakhutdinov N.F.1
-
Affiliations:
- N.N. Vorozhtsov Novosibirsk Institute of Organic Chemistry of Siberian Branch of Russian Academy of Sciences
- Novosibirsk State University
- Issue: Vol 512, No 1 (2023)
- Pages: 32-38
- Section: CHEMISTRY
- URL: https://medbiosci.ru/2686-9535/article/view/247178
- DOI: https://doi.org/10.31857/S2686953522600751
- EDN: https://elibrary.ru/UYUMVC
- ID: 247178
Cite item
Full Text
Abstract
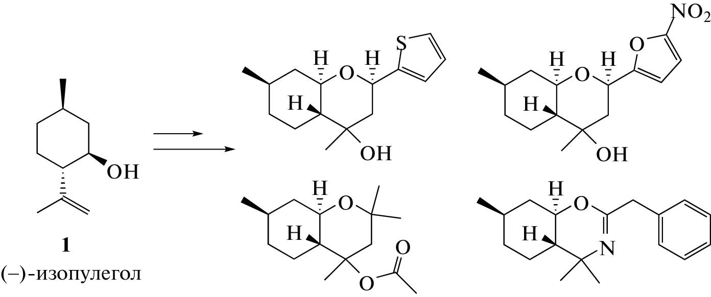
Based on monoterpenoid (–)-isopulegol a number of new derivatives of octahydro-2H-chromene have been synthesized. The structure of the products obtained was determined by 1H and 13C NMR spectroscopy, high resolution mass spectrometry and X-ray diffraction analysis. It was shown that several synthesized compounds exhibit high analgesic activity in in vivo tests. The highest efficiency in both tests (acetic writhing and hot plate) was shown by (4S)-diastereomers of morpholinoacetamide derivatives of octahydro-2H-chromene.
About the authors
N. S. Li-Zhulanov
N.N. Vorozhtsov Novosibirsk Institute of Organic Chemistry of Siberian Branch of Russian Academy of Sciences
Email: volcho@nioch.nsc.ru
Russian Federation, 630090, Novosibirsk
K. M. Nikolaichuk
N.N. Vorozhtsov Novosibirsk Institute of Organic Chemistry of Siberian Branch of Russian Academy of Sciences; Novosibirsk State University
Email: volcho@nioch.nsc.ru
Russian Federation, 630090, Novosibirsk; Russian Federation, 630090, Novosibirsk
Yu. V. Gatilov
N.N. Vorozhtsov Novosibirsk Institute of Organic Chemistry of Siberian Branch of Russian Academy of Sciences
Email: volcho@nioch.nsc.ru
Russian Federation, 630090, Novosibirsk
K. P. Volcho
N.N. Vorozhtsov Novosibirsk Institute of Organic Chemistry of Siberian Branch of Russian Academy of Sciences
Author for correspondence.
Email: volcho@nioch.nsc.ru
Russian Federation, 630090, Novosibirsk
M. V. Khvostov
N.N. Vorozhtsov Novosibirsk Institute of Organic Chemistry of Siberian Branch of Russian Academy of Sciences
Email: volcho@nioch.nsc.ru
Russian Federation, 630090, Novosibirsk
T. G. Tolstikova
N.N. Vorozhtsov Novosibirsk Institute of Organic Chemistry of Siberian Branch of Russian Academy of Sciences
Email: volcho@nioch.nsc.ru
Russian Federation, 630090, Novosibirsk
N. F. Salakhutdinov
N.N. Vorozhtsov Novosibirsk Institute of Organic Chemistry of Siberian Branch of Russian Academy of Sciences
Email: volcho@nioch.nsc.ru
Russian Federation, 630090, Novosibirsk
References
- Melnikova I. // Nat. Rev. Drug Discov. 2010. V. 9. P. 589–590. https://doi.org/10.1038/nrd3226
- Nizamov I.S., Al’metkina L.A., Gabdullina G.T., Sha-milo, R.R., Sofronov A.V., Nikitina L.E., Lisovskaya S.A., Glushko N.I., Cherkasov R.A. // Russ. Chem. Bull. 2012. V. 61. № 12. P. 2370–2371. https://doi.org/10.1007/s11172-012-0336-7
- Zielińska-Błajet M., Feder-Kubis J. // Int. J. Mol. Sci. 2020. V. 21. № 19. P. 7078. https://doi.org/10.3390/ijms21197078
- Salakhutdinov N.F., Volcho K.P., Yarovaya O.I. // Pure Appl. Chem. 2017. V. 89. № 8. P. 1105–1117. https://doi.org/10.1515/pac-2017-0109
- Do Amaral J.F., Silva M.I.G., Neto M.R.A., Neto P.F.T., Moura B.A., de Melo C.T.V., de Araujo F.L.O., de Sousa D.P., de Vasconcelos P.F., de Vasconcelos S.M.M., de Sou-sa F.C.F. // Biol. Pharm. Bull. 2007. V. 30. P. 1217–1220. https://doi.org/10.1248/bpb.30.1217
- Kaimoto T., Hatakeyama Y., Takahashi K., Imagawa T., Tominaga M., Ohta T. // Eur. J. Pain. 2016. V. 20. P. 1155–1165. https://doi.org/10.1002/ejp.840
- Lima D.F., Brandão M.S., Moura J.B., Leitão J.M.R.S., Carvalho F.A.A., Miúra L.M.C.V., Leite J.R.S.A., Sou-sa D.P., Almeida F.R.C. // J. Pharmacy Pharmacol. 2012. V. 64. P. 283–292. https://doi.org/10.1111/j.2042-7158.2011.01401.x
- Him A., Ozbek H., Turel I., Oner A.C. // Pharmacologyonline. 2008. V. 3. P. 363–369.
- Asanova Zh.K., Suleimenov E.M., Atazhanova G.A., Dembitskii A.D., Pak R.N., Dar A., Adekenov S.M. // Pharm. Chem. J. 2003. V. 37. P. 28–30. https://doi.org/10.1023/A:1023699012354
- Li Z., Zhang H., Wang Y., Li Y., Li Q., Zhang L. // Front. Mol. Neurosci. 2022. V. 15. 1006908.
- Andrade Próspero D.F., Reis Filho A.C., Piauilino C.A., Lopes E.M., de Sousa D.P., de Castro Almeida F.R. // Chem.-Biol. Interact. 2018. V. 293. P. 55–60. https://doi.org/10.1016/j.cbi.2018.07.019
- Peana A.T., De Montis M.G., Nieddu E., Spano M.T., D’Aquila P.S., Pippia P. // Eur. J. Pharmacol. 2004. V. 485. P. 165–174. https://doi.org/10.1016/j.ejphar.2003.11.066
- Brito R.G., Santos P.L., Prado D.S., Santana M.T., Araújo A.A.S., Bonjardim L.R., Santos M.R.V., de Lucca Júnior W., Oliveira A.P., Quintans-Júnior L.J. // Basic Clin. Pharmacol. Toxicol. 2013. V. 112. P. 215–221. https://doi.org/10.1111/bcpt.12018
- Santos P.L., Brito R.G., Oliveira M.A., Quintans J.S.S., Guimarães A.G., Santos M.R.V., Menezes P.P., Serafini M.R., Menezes I.R.A., Coutinho H.D.M., Araújo A.A.S., Quintans-Júnior L.J. // Phytomedicine. 2016. V. 23. P. 948–957. https://doi.org/10.1016/j.phymed.2016.06.007
- La Rocca V., da Fonsêca D.V., Silva-Alves K.S., Ferreira-da-Silva F.W., de Sousa D.P., Santos P.L., Quintans-Júnior L.J., Leal-Cardoso J.H., de Almeida R.N. // Basic Clin. Pharmacol. Toxicol. 2017. V. 120. P. 22–29. https://doi.org/10.1111/bcpt.12630
- Nishijima C.M., Ganev E.G., Mazzardo-Martins L., Martins D.F., Rocha L.R.M., Santos A.R.S., Hiruma-Lima C.A. // Eur. J. Pharmacol. 2014. V. 736. P. 16–25. https://doi.org/10.1016/j.ejphar.2014.04.029
- Nazimova E., Pavlova A., Mikhalchenko O., Il’ina I., Korchagina D., Tolstikova T., Salakhutdinov N. // Med. Chem. Res. 2016. V. 25. № 7. P. 1369–1383. https://doi.org/10.1007/s00044-016-1573-3
- Il’ina I.V., Korchagina D.V., Morozova E.A., Tolstikova T.G., Volcho K.P., Salakhutdinov N.F. // Russ. Chem. Bull. 2019. V. 68. № 5. P. 1061–1066. https://doi.org/10.1007/s11172-019-2520-5
- Il’ina I.V., Morozova E.A., Korchogina D.V., Volcho K.P., Tolstikova T.G., Salakhutdinov N.F. // Lett. Drug Des. Discov. 2020. V. 17. P. 68–78. https://doi.org/10.2174/1570180816666181114131220
- Li-Zhulanov N.S., Pavlova A.V., Korchagina D.V., Gatilov Yu.V., Volcho K.P., Tolstikova T.G., Salakhutdi-nov N.F. // Chem. Heterocycl. Compd. 2020. V. 56. № 7. P. 936–941. https://doi.org/10.1007/s10593-020-02753-x
- Sarmah B., Baishya G., Baruah R.K. // RSC Advances. 2014. V. 4. № 43. P. 22387–22397. https://doi.org/10.1039/c4ra02124j
- Sidorenko A.Yu., Li-Zhulanov N.S., Mäki-Arvela P., Sandberg T., Kravtsova A.V., Peixoto A.F., Freire C., Volcho K.P., Salakhutdinov N.F., Agabekov V.E., Mur-zin D.Yu. // ChemCatChem. 2020. V. 12. P. 2605–2609. https://doi.org/10.1002/cctc.202000070
- Khvostov M.V., Borisov S.A., Tolstikova T.G., Dushkin A.V., Tsyrenova B.D., Chistyachenko Yu.S., Polyakov N.E., Dultseva G.G., Onischuk A.A., An’kov S.V. // Eur. J. Drug Metab. Pharmacokinet. 2017. V. 42. P. 431–440.
- Eddy N.B., Leimbach D.J. // J. Pharmacol. Exp. Therap. 1953. V. 107. P. 385–393.
Supplementary files
















