SYNTHESIS AND ANTIVIRAL ACTIVITY OF COPOLYMERS OF OXYCINNAMIC ACID WITH N-VINYLAMIDES
- Authors: Nesterova N.А.1, Shtro А.А.2, Panarin Е.F.1
-
Affiliations:
- Institute of Macromolecular Compounds, Russian Academy of Sciences
- Smorodintsev Research Institute of Influenza, Russian Ministry of Health
- Issue: Vol 513, No 1 (2023)
- Pages: 77-81
- Section: CHEMISTRY
- URL: https://medbiosci.ru/2686-9535/article/view/252496
- DOI: https://doi.org/10.31857/S2686953523600320
- EDN: https://elibrary.ru/BJCGOS
- ID: 252496
Cite item
Full Text
Abstract
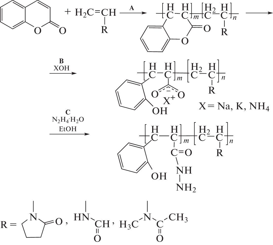
Radical copolymerization of coumarin with N-vinylamides (N‑vinylpyrrolidone, N-methyl-N-vinylacetamide, N-vinylformamide) was used to prepare copolymers of various natures and varied molecular masses. After the subsequent reactions in polymer chains, water-soluble copolymers of salts of oxycinnamic acid and its hydrazides were obtained. The synthesized copolymers of salts and hydrazides of oxycinnamic acid with N-vinylamides have low cytotoxicity and demonstrate the pronounced antiviral activity against human respiratory syncytial virus (strain A2).
About the authors
N. А. Nesterova
Institute of Macromolecular Compounds, Russian Academy of Sciences
Author for correspondence.
Email: lab.2305@mail.ru
Russian Federation, 199004, Saint Petersburg
А. А. Shtro
Smorodintsev Research Institute of Influenza, Russian Ministry of Health
Email: lab.2305@mail.ru
Russian Federation, 197376, Saint Petersburg
Е. F. Panarin
Institute of Macromolecular Compounds, Russian Academy of Sciences
Email: lab.2305@mail.ru
Russian Federation, 199004, Saint Petersburg
References
- Anderson R.A., Feathergill K., Diao X., Cooper M., Kirkpatrick R., Spear P., Waller D.P., Chany C., Doncel G.F., Herold B., Lourens J.D., Zaneveld L.J. // J. Androl. 2000. V. 21. № 6. P. 862–875. https://doi.org/10.1002/j.1939-4640.2000.tb03417.x
- Schandock F., Riber C.F., Röcker A., Müller J.A., Harms M., Gajda P., Zuwala K., Andersen A.H.F., Løvschall K.B., Tolstrup M., Keppel F., Münch J., Zelikin A.N. // Adv. Healthcare Mater. 2017. V. 6. № 23. 1700748. https://doi.org/10.1002/adhm.201700748
- Зарубаев В.В., Бучков Е.В., Назарова О.В., Золотова Ю.И., Панарин Е.Ф. // ДАН. Науки о жизни. 2022. Т. 506. С. 392–395. https://doi.org/10.31857/S2686738922050328
- Donalisio M., Ranucci E., Cagno V., Civra A., Manfredi A., Cavalli R., Ferruti P., Lembo D. // Antimicrob. Agents Chemother. 2014. V. 58. № 10. P. 6315–6319. https://doi.org/10.1128/aac.03420-14
- Witvrouw M., Fikkert V., Pluymers W., Matthews B., Mardel K., Schols D., Raff J., Debyser Z., De Clercq E., Holan G., Pannecouque C. // Mol. Pharmacol. 2000. V. 58. № 5. P. 1100–1108. https://doi.org/10.1124/mol.58.5.1100
- Bianculli R.H., Mase J.D., Schulz M.D. // Macromolecules. 2020. V. 53. № 21. P. 9158–9186. https://doi.org/10.1021/acs.macromol.0c01273
- Pachota M., Klysik K., Synowiec A., Ciejka J., Szczubiałka K., Pyrc K., Nowakowska M. // J. Med. Chem. 2017. V. 60. P. 8620–8630. https://doi.org/10.1021/acs.jmedchem.7b01289
- Asaftei S., de Clercq E. // J. Med. Chem. 2010. V. 53. № 9. P. 3480–3488. https://doi.org/10.1021/jm100093p
- Панарин Е.Ф., Нестерова Н.А., Штро А.А. Сополимеры N-виниламидов с солями оксикоричной кислоты. Патент РФ RU2796753. 2023. Бюл. изобр. № 16.
- Niks M., Otto M. // J. Immunol. Methods. 1990. V. 130. № 1. P. 149–151. https://doi.org/10.1016/0022-1759(90)90309-j
- Reed L.J., Muench H. // Am. J. Hyg. 1938. V. 27. № 3. P. 493–497. https://doi.org/10.1093/oxfordjournals.aje.a118408
- Indrayanto G., Putra G.S., Suhud F. // Profiles of Drug Substances, Excipients and Related Methodology. 2021. V. 46. P. 273–307. https://doi.org/10.1016/bs.podrm.2020.07.005




