Antifrictional composites based on a two-component modified phenol-formaldehyde binder
- Authors: Panova M.O.1, Buyaev D.I.1, Shaposhnikova V.V.1
-
Affiliations:
- Nesmeyanov Institute of Organoelement Compounds of Russian Academy of Sciences (INEOS RAS)
- Issue: Vol 514, No 1 (2024)
- Pages: 59-64
- Section: CHEMICAL TECHNOLOGY
- URL: https://medbiosci.ru/2686-9535/article/view/256432
- DOI: https://doi.org/10.31857/S2686953524010061
- ID: 256432
Cite item
Full Text
Abstract
In this paper, new polymer composite materials (PCM) based on a mixture of the resole type phenol-formaldehyde and phthalide-containing phenol-formaldehyde binders, reinforced with polyoxadiazole fiber, were obtained, and their tribological properties were studied. The influence of the content of phthalide-containing phenol-formaldehyde polymer in a two-component mixture of binders on the hardness of the surface layer, tribological and thermofrictional properties of PCM in various units of dry friction on steel has been studied. It is shown that the resulting PCM are superior to PCM based on phenol-formaldehyde or phthalide-containing phenol-formaldehyde binders of the resole type in terms of tribological and thermal friction properties.
Full Text
ВВЕДЕНИЕ
Интенсивное развитие современных наукоемких технологий предъявляет повышенные требования к уровню эксплуатационных характеристик техники различной специализации (транспорт, добывающие и перерабатывающие комплексы, энергетическое оборудование, инженерные сооружения и др.). Использование в конструкциях машин и механизмов деталей, изготовленных из полимерных композиционных материалов (ПКМ), является одним из эффективных способов увеличения ресурса и энергоэффективности техники. Поэтому в последние годы наблюдается устойчивая тенденция по замене металлических элементов узлов трения на полимерные, в том числе в оборудовании, работающем в экстремальных условиях высоких нагрузок [1, 2].
Фенолформальдегидные (ФФ) смолы находят широкое применение в качестве связующих компонентов антифрикционных волокнонаполненных композиционных материалов. Это обусловлено более высокими эксплуатационными показателями трибо-изделий из ПКМ на их основе, по сравнению с другими термореактивными (например, эпоксидными) и термопластичными (полиамиды, полипропилен, поликарбонат и др.) полимерами [3–6].
Совершенствование методологии стабилизации процессов трения волокноармированных ПКМ на основе ФФ-связующих является актуальным направлением в развитии трибологических исследований. Изделия триботехнического назначения, полученные на основе ФФ-композитов, армированных полиоксадиазольным (ПОД) волокном, характеризуются значительно более высокой термостабильностью и стойкостью к истиранию по сравнению с ФФ-композитами на основе целлюлозных, углеродных, полиамидных, полиарамидных волокон [7–10]. Эти композиты относят к классу “антифрикционных органопластов”.
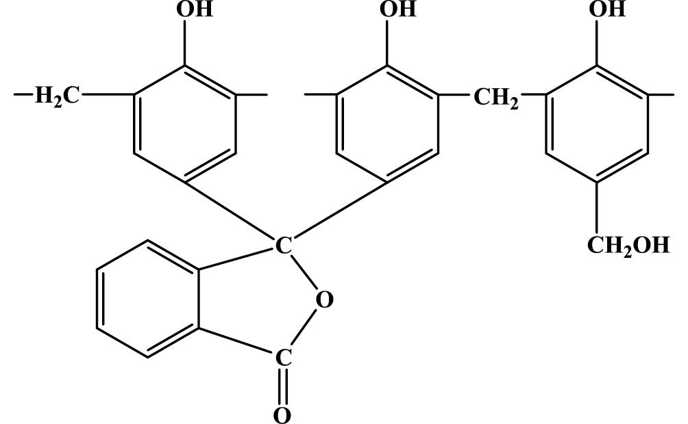
Перспективным подходом к созданию новых полимерных износостойких органопластов с улучшенными термическими, прочностными и трибологическими свойствами является химическая модификация ФФ-связующего жесткоцепным полимером. В качестве модификатора было выбрано ФФ-связующее резольного типа, содержащее фталидную группу (рис. 1), впервые полученное в 1967 г. В.В. Коршаком, В.А. Сергеевым и В.К. Шитиковым [11, 12].
Фталидсодержащее ФФ-связующее резольного типа ФФ-40 характеризуется повышенными прочностными, термическими характеристиками и высокими коксовыми числами, а также улучшенными трибологическими свойствами, по сравнению с ФФ-резолом, не содержащим фталидную группу [11–13].
С целью создания новых антифрикционных материалов, работоспособных в различных узлах сухого трения, в настоящей работе поставлены задачи: получение ПКМ, армированных ПОД-волокном, на основе двухкомпонентной смеси, состоящей из ФФ-связующего, традиционно применяемого в производстве листовых органопластов, и термостойкого жесткоцепного фталидсодержащего ФФ-связующего; изучение трибологических и термофрикционных свойств полученных ПКМ.
Рис. 1. Структурная формула ФФ-связующего резольного типа на основе фенола, фенолфталеина и формальдегида (ФФ-40).
ЭКСПЕРИМЕНТАЛЬНАЯ ЧАСТЬ
В качестве связующих использовали резольную фенолформальдегидную смолу ФЭЛ-03 (ТУ 2221-026-48090685-2014) и резольную фталидсодержащую ФФ-смолу марки ФФ-40 (методика синтеза описана в [12]) и их смеси в соотношениях (мас. %) 70 : 30, 30 : 70. Данные соотношения выбраны на основании предварительных исследований, которые показали, что ПКМ на основе двухкомпонентного связующего фенолформальдегидного (ФФ) и фенолфталеинформальдегидного (ФФ-40) полимеров в соотношении 50 : 50 характеризуются неудовлетворительными трибологическими свойствами.
Определение времени желатинизации проводили в соответствии с ГОСТ 901-2017 (п. 7.6) при Т = 150°С.
Тканевый армирующий наполнитель выполнен из термостойкого антифрикционного ПОД- волокна марки “Арселон” (Россия), свойства и роль которого в трении фенолформальдегидных композитов подробно исследованы в [7–10].
Все образцы для испытаний изготавливали по одинаковой технологии методом компрессионного прессования (Т = 160°С, Руд = 300 кгс см–2, время выдержки τ = 1 мин мм–1 толщины образца) из препрегов с содержанием связующего 40 мас. %.
Микротвердость поверхности определяли на приборе ПМТ-3 (Россия) при нагрузке 50 г.
Фрикционные испытания ПКМ проводили на торцевой машине трения И-47 (Россия). Применяли два типа стальных контртел:
– трехшариковое контртело: шарики диаметром 5.0 мм, изготовленные в соответствии с ГОСТ 3722-81, Ra 0.02, Руд = 10 МПа;
– втулка с торцевой поверхностью Ø22 × 12 мм, изготовленная из стали марки 30Х13 в соответствии с ГОСТ 5632-2014, полировка поверхности до Ra 0.2, Руд = 0.043 МПа.
Образцы испытывали в течение 30 мин при скорости вращения 0.5 м с–1. Массовый износ всех образцов определяли с точностью до 0.0001 г взвешиванием на аналитических весах до и после испытания.
Термофрикционные свойства образцов исследовали на торцевой машине трения И-47 с нагревательным элементом, расположенным вокруг места контакта контртела и образца. Образец нагревали от комнатной температуры до 180°С со скоростью 10°С мин–1. Испытания проводили при скорости вращения 0.5 м с–1 и нагрузке 0.17 МПа. Замер температуры в зоне фрикционного контакта осуществляли непрерывно на расстоянии 1 мм от поверхности контр- тела с помощью термопары.
Рис. 2. Зависимость времени желатинизации связующих (1) и микротвердости поверхности отпрессованных ПКМ (2) от содержания фталидсодержащего компонента ФФ-40 в ФФ-связующем.
РЕЗУЛЬТАТЫ И ОБСУЖДЕНИЕ
Для разработки многокомпонентных систем определение времени желатинизации является важным технологическим этапом. При увеличении количества фталидсодержащего связующего ФФ-40 в смеси с ФФ-связующим время желатинизации возрастает (рис. 2, кривая 1). Время желатинизации для связующих ФФ-40 и ФФ составило 118 и 94 с соответственно. Более высокое значение времени желатинизации в случае связующего ФФ-40 обусловлено наличием в его макромолекуле объемного фталидного фрагмента, нереакционноспособного при данных условиях переработки и эксплуатации, затрудняющего сшивание реактопласта и способствующего образованию редкосшитой структуры полимера [11–13].
Исследование микротвердости поверхности образцов ПКМ, полученных методом компрессионного прессования в одинаковых условиях, показало, что с увеличением содержания фталидсодержащего связующего ФФ-40 в смеси с ФФ-связующим происходит снижение значений микротвердости поверхности (рис. 2, кривая 2). Можно предположить, что это связано с редкосшитой структурой макромолекул двухкомпонентного связующего, которая является менее жесткой по сравнению со сшитой структурой ФФ-связующего.
Исследование трибологических свойств полученных ПКМ выполнено по двум схемам трения: “шарик–диск” и “диск–втулка”. На начальном этапе трения (до 30 мин) природа армирующих волокон оказывает минимальное влияние на коэффициент трения, поскольку поверхность тканевых образцов покрыта слоем полимерного связующего [10].
На рис. 3 представлены данные исследования трибологических свойств ПКМ по схеме трения “шарик–диск”, благодаря которой удается достичь достаточно высокого давления и минимальной площади контакта в узле трения. При такой схеме трения развитие фрикционного нагрева сводится к минимуму [14, 15]. Для ПКМ на основе фталидсодержащего связующего ФФ-40 характерны более высокие показатели коэффициента трения µ и износа I, по сравнению с ПКМ на основе ФФ-связующего, что может быть обусловлено пониженной твердостью поверхностного слоя, приводящей к локализации ПОД-волокон на поверхности и изменению механизма трения [10]. Необходимо отметить, что в двухкомпонентной системе связующих наблюдается другая зависимость – введение фталидсодержащей смолы ФФ-40 в ФФ-связующее ПКМ способствует значительному снижению коэффициента трения и амплитуды его колебания. Наилучшие трибологические показатели достигнуты при содержании фталидсодержащего связующего ФФ-40, равном 30 мас. %, в смеси с ФФ-связующим (рис. 3).
Рис. 3. Зависимость коэффициента трения и амплитуды его колебания (1) и износа (2) ПКМ от содержания фталидсодержащего компонента ФФ-40 в ФФ-связующем при сухом трении стальными шариковым контртелом.
Коэффициент взаимного перекрытия при трении контртелом “втулка” равен 1, что почти соответствует реальным условиям эксплуатации деталей из ПКМ, поскольку они широко применяются в производстве подшипников скольжения, втулок, вкладышей и др. При трибологических испытаниях ПКМ на основе ФФ-связующего (рис. 4) наблюдается достаточно высокая амплитуда колебаний коэффициента трения (от 0.19 до 0.33) и повышенный износ (1.2 мг). В то же время, в случае ПКМ на основе фталидсодержащего связующего ФФ-40, несмотря на более высокий показатель коэффициента трения (0.3), характер процесса трения является стабильным (амплитуда колебания коэффициента трения – от 0.28 до 0.32), а износ составил 0.3 мг. Минимальный коэффициент трения (0.21) достигается в системе с преобладанием ФФ-связующего, а минимальный износ (0.2 мг) – в системе с преобладанием фталидсодержащего связующего ФФ-40 (рис. 4).
Рис. 4. Зависимость коэффициента трения и амплитуды его колебания (1) и износа (2) ПКМ от содержания компонента ФФ-40 в ФФ-связующем при сухом трении стальным контртелом “втулка”.
Таким образом, независимо от схемы трения (“шарик–диск” или “втулка–диск”) ПКМ на основе смесей фталидсодержащего ФФ-40 и ФФ-связующих обладают лучшими трибологическими свойствами, по сравнению с ПКМ на основе однокомпонентных связующих ФФ-40 или ФФ.
При исследовании термофрикционных зависимостей ПКМ, представленных на рис. 5, показано, что более высокая степень поперечной межмолекулярной сшивки матрицы ПКМ на основе ФФ-связующего в условиях испытаний негативно влияет на его трибологические свойства (рис. 5, кривая 1) – коэффициент трения менее стабилен и при 140–160°С достигает максимальных значений (более 0.8). При дальнейшем увеличении температуры происходит резкое снижение коэффициента трения, что может быть обусловлено увеличением скорости изнашивания более твердой и хрупкой матрицы, а также более высокой интенсивностью усталостного изнашивания с образованием “третьего тела” (механизм фрикционного переноса) [16].
Рис. 5. Зависимость коэффициента трения от температуры для ПКМ на основе ФФ-связующего (1), фталидсодержащего связующего ФФ-40 (2) и их смесей, содержащих 30 мас. % ФФ-40 (3) и 70 мас. % ФФ-40 (4).
Процесс трения ПКМ на основе фталидсодержащего связующего ФФ-40 (рис. 5, кривая 2) и его смесей с ФФ-связующим, содержащих ФФ-40 (30 и 70 мас. % соответственно) (рис. 5, кривые 3, 4), характеризуется большей стабильностью и низкими значениями коэффициента трения, по сравнению с ПКМ на основе ФФ-связующего. Это свидетельствует не только о высокой термостойкости фталидсодержащего ФФ-связующего, но и о его способности создавать положительный градиент механических свойств [14] при трении ПКМ в условиях динамически возрастающей температуры внешней среды.
ЗАКЛЮЧЕНИЕ
В работе впервые изучено влияние состава двухкомпонентной смеси резольных фенолформальдегидных и фталидсодержащих фенолформальдегидных связующих на твердость поверхностного слоя, трибологические и термофрикционные свойства ПКМ, армированных полиоксадиазольным волокном. Показана эффективность применения фталидсодержащих фенолформальдегидных олигомеров в качестве модифицирующей добавки, обеспечивающей регулируемую редкосшитую структуру промышленных фенолформальдегидных связующих. Полученные ПКМ обладают улучшенными трибологическими и термофрикционными свойствами по сравнению с ПКМ на основе фенолформальдегидного или фталидсодержащего фенолформальдегидного связующих резольного типа. Результаты выполненного исследования имеют существенное значение при разработке ПКМ со свойствами, регулируемыми в широком диапазоне, благодаря использованию многокомпонентных связующих.
ИСТОЧНИК ФИНАНСИРОВАНИЯ
Работа выполнена в рамках Государственного задания № 075-00697-22-00 Министерства науки и высшего образования Российской Федерации.
СОБЛЮДЕНИЕ ЭТИЧЕСКИХ СТАНДАРТОВ
В данной работе исследования на человеке или животных не проводились.
КОНФЛИКТ ИНТЕРЕСОВ
Авторы данной работы заявляют об отсутствии конфликта интересов.
About the authors
M. O. Panova
Nesmeyanov Institute of Organoelement Compounds of Russian Academy of Sciences (INEOS RAS)
Author for correspondence.
Email: maxi4@list.ru
Russian Federation, 119334 Moscow
D. I. Buyaev
Nesmeyanov Institute of Organoelement Compounds of Russian Academy of Sciences (INEOS RAS)
Email: maxi4@list.ru
Russian Federation, 119334 Moscow
V. V. Shaposhnikova
Nesmeyanov Institute of Organoelement Compounds of Russian Academy of Sciences (INEOS RAS)
Email: maxi4@list.ru
Russian Federation, 119334 Moscow
References
- Ren Y., Zhang L., Xie G., Li Z., Chen H., Gong H., Xu W., Guo D., Luo J. // Friction. 2021. V. 9. P. 429–470. https://doi .org/10.1007/s40544-020-0446-4
- Rodiouchkina M., Lind J., Pelcastre L., Berglund K., Rudolphi Å.K., Hardell J. // Wear. 2021. V. 484. P. 204027. https://doi .org/10.1016/j.wear.2021.204027
- Торлова А.С., Виткалова И.А., Пикалов Е.С. // Научное обозрение. Технические науки. 2017. № 2. С. 96–114.
- Burmistr M.V., Boiko V.S., Lipko E.O., Gerasimenko K.O., Gomza Yu.P., Vesnin R.L., Kovalenko V.L. // Mech. Compos. Mater. 2014. V. 50. P. 213–222. https://doi .org/10.1007/s11029-014-9408-0
- Senthilkumar K., Siva I., Karthikeyan S., Pulikkalparambil H., Parameswaranpillai J., Sanjay M.R., Siengchin S. Mechanical, structural, thermal and tribological properties of nanoclay based phenolic composites. In: Composites science and technology. Phenolic polymers based composite materials. Jawaid M., Asim M. (eds.). Springer, Singapore, 2021. pp. 123–138. https://doi .org/10.1007/978-981-15-8932-4_8
- Bakri M.K.B., Rahman M.R., Matin M.M. Cellulose reinforcement in thermoset composites. In: Fundamentals and recent advances in nanocomposites based on polymers and nanocellulose. Elsevier, 2022. pp. 127–142. https://doi .org/10.1016/B978-0-323-85771-0.00011-7
- Sazanov Yu.N., Dobrovol’skaya I.P., Lysenko V.A., Sal’nikova P.Yu., Kosyakov D.S., Pokryshkin S.A., Fedorova G.N., Kulikova E.M. // Russ. J. Appl. Chem. 2015. V. 88. № 8. P. 1304–1310. https://doi .org/10.1134/S1070427215080121
- Buyaev D.I., Krasnov A.P., Naumkin A.V., Yudin A.S., Afonicheva O.V., Golub A.S., Goroshkov M.V., Buzin M.I. // J. Frict. Wear. 2016. V. 37. P. 351–357. https://doi .org/10.3103/S106836661604005X
- Sharifullin S.N., Denisov V.A., Zadorozhny R.N., Kudryashova E.Y., Reschikov E.O., Izikaeva A.I. // Tribol. Ind. 2020. V. 42. № 1. P. 81–88. https://doi .org/10.24874/ti.2020.42.01.08
- Yudin A.S., Buyaev D.I., Afonicheva O.V., Goryacheva I.G., Krasnov A.P. // J. Frict. Wear. 2013 V. 34. P. 245–252. https://doi .org/10.3103/S1068366613040120
- Сергеев В.А., Коршак В.В., Шитиков В.К. // Высокомолекулярные соединения А. 1967. Т. 9А. № 9. С. 1952–1957.
- Коршак В.В., Сергеев В.А., Шитиков В.К., Северов А.А., Назмутдинова И.Х., Желтакова С.Г., Бурлуцкий В.Ф., Киселев Б.А., Яременко В.В. // Высокомолекулярные соединения. 1968. Т. 10. № 5. C. 1085–1091.
- Панова М.О., Краснов А.П., Горбунова И.Ю., Клабукова Л.Ф., Салазкин С.Н., Езерницкая М.Г. // Пластические массы. 2020. № 9–10. P. 53–55. https://doi .org/10.35164/0554-2901-2020-9-10-53-55
- Крагельский И.В. Трение и износ. М.: Машиностроение, 1968. 480 с.
- Горячева И.Г., Маховская Ю.Ю., Морозов А.В., Степанов Ф.И. Трение эластомеров. Моделирование и эксперимент. М.–Ижевск: Институт компьютерных исследований, 2017. 204 с.
- Чичинадзе А.В., Левин А.Л., Бородулин М.М., Зиновьев Б.В. Полимеры в узлах трения машин и приборов. М.: Машиностроение, 1988. 328 с.
Supplementary files






