Комбинированное лечение депрессии вортиоксетином и антипсихотиками второго поколения в период формирования ремиссии при шизофрении (данные промежуточного анализа)
- Авторы: Резник А.М.1,2,3, Сюняков Т.С.1,4,5, Мудрак А.В.1, Захаров Н.Б.1, Попова Ж.Б.1, Хорошилова А.Н.1, Хурбатова И.Г.6, Сайфулина А.М.7, Елисеенко А.М.8, Матвиевская Т.К.3, Ханнанова А.Н.2,3
-
Учреждения:
- ГБУЗ «Психиатрическая клиническая больница № 1 им. Н.А. Алексеева Департамента здравоохранения города Москвы»
- ФГБОУ ВО «Российский биотехнологический университет»
- ГБУЗ «Психиатрическая клиническая больница № 4 им. П.Б. Ганнушкина»
- Республиканский специализированный научно-практический центр наркологии
- ФГБОУ ВО «Самарский государственный медицинский университет»
- ФГБУ «Главный военный клинический госпиталь имени академика Н.Н. Бурденко»
- Клиника психиатрии и психотерапии «МАЙНДСЕТ»
- Центр ментального здоровья «Эмпатия»
- Выпуск: Том 4, № 1 (2023)
- Страницы: 18-36
- Раздел: ИССЛЕДОВАНИЕ
- URL: https://medbiosci.ru/2712-7672/article/view/125999
- DOI: https://doi.org/10.17816/CP3728
- ID: 125999
Цитировать
Аннотация
ВВЕДЕНИЕ: Депрессия у больных шизофренией ухудшает исходы болезни, повышая риск самоубийств, осложняя клиническую картину и снижая качество социального функционирования; ее лечение затруднено, так как монотерапия даже современными антипсихотиками не всегда успешна, а назначение дополнительных антидепрессантов (АД) может улучшать результат, но эффективность такой аугментации во многих случаях еще требует доказательств. Поэтому до сих пор остается актуальным анализ эффективности комбинаций большинства АД и антипсихотика второго поколения (АВП) при лечении депрессии, возникающей на разных этапах шизофрении. В ранее проведенных исследованиях назначение вортиоксетина в качестве дополнения к антипсихотику показало уменьшение выраженности негативных симптомов, клинически значимое улучшение когнитивных функций, которое отличался от его антидепрессивного действия, а также хорошую переносимость, что влияет на приверженность лечению.
ЦЕЛЬ: Изучение динамики клинических проявлений депрессии, негативных и когнитивных нарушений, а также социального функционирования пациентов на фоне комбинированной терапии АВП и вортиоксетином, которые назначались в условиях реальной клинической практики в разрешенных в Российской Федерации дозах.
МЕТОДЫ: Проведен сравнительный анализ динамики депрессивной и негативной симптоматики, когнитивных нарушений, а также личностного и социального функционирования у 78 пациентов с выраженными проявлениями депрессии на этапе редукции обострения и последующего становления ремиссии параноидной шизофрении. Лечение комбинацией АВП и вортиоксетина получали 39 человек, а 39 пациентов, имевших аналогичные клинические проявления, получали монотерапию АВП. В период наблюдения 3 раза (до начала лечения, спустя три месяца и шесть месяцев) проводилась оценка тяжести психического расстройства по шкале общего клинического впечатления (Clinical Global Impression, CGI), выраженности депрессивной симптоматики по шкале депрессии Калгари (Calgary Depression Scale for Schizophrenia, CDSS), а также пациенты оценивались по 5-пунктовой шкале негативной симптоматики (5-Items Negative Symptoms Assessment, NSA-5), по 20-пунктовой шкале субъективно воспринимаемого когнитивного дефицита (Perceived Deficits Questionnaire-20 items, PDQ-20) и по шкале личностного и социального функционирования (Personal and Social Performance, PSP).
РЕЗУЛЬТАТЫ: Данные проведенного теста ANOVA свидетельствуют, что вне зависимости от терапевтической группы у пациентов к завершению периода наблюдения отмечались статистически значимое снижение уровня депрессии по шкале CDSS, выраженности негативных симптомов по шкале NSA-5, когнитивных симптомов по шкале PDQ-20, а также улучшение личностного и социального функционирования — повышение итогового балла шкалы PSP. Вместе с тем, между сравниваемыми основной (АВП + вортиоксетин) и контрольной (АВП) группами выявлены статистически значимые различия по динамике суммарного балла по шкалам CDSS и PSP. Особенностью динамики показателей клинических шкал стало наличие заметного улучшения в группе АВП + вортиоксетин через 3 месяца лечения при отсутствии аналогичного улучшения в группе контроля и достижение примерно одинаковых значений шкал в обеих группах через 6 месяцев. В частности, через 3 месяца между группами АВП + вортиоксетин и АВП имелись статистически значимые различия средних значений шкал CDSS (p <0,001), NSA-5 (p=0,003), PDQ-20 (p <0,001) и PSP (p=0,004). Анализ времени до преждевременного завершения исследования продемонстрировал, что в группе АВП + вортиоксетин статистически значимо больше пациентов полностью завершили программу исследования (n=27, 69,23%) по сравнению с группой АВП (n=13, 33,33%) (χ2 = 14,618, df = 1, p <0,001, лог-ранк текст). Коэффициент выживаемости (коэффициент времени, в течение которого пациент продолжает назначенную терапию) в исследовании в группе АВП было статистически значимо (p <0,001) меньше и составило 101, 436 дня (95% ДИ: 81 518–121 354), а в группе АВП + вортиоксетин — 161 744 дня (147 981–175 506). Показатель относительного риска для полного завершения исследования в группе вортиоксетин + АВП по сравнению с АВП составил 3618 (1871–6994).
ЗАКЛЮЧЕНИЕ: Присоединение вортиоксетина к терапии АВП позволяет ускорить редукцию симптомов депрессии, возникающих на этапе обратного развития психоза и становления ремиссии, способствует ускоренному ослаблению негативных симптомов, положительно влияет на субъектную оценку выраженности когнитивных нарушений, оказывает существенное положительное влияние на уровень психосоциального функционирования.
Полный текст
ВВЕДЕНИЕ
Депрессия отмечается в статусе или прослеживается в анамнезе примерно 80% больных шизофренией [1]. Поэтому симптомы депрессии последнее время включены в основную симптоматику и добавляются в качестве одного из признаков при диагностике расстройств шизофренического спектра [1–5]. При этом подвергается пересмотру сложившееся в прошлом мнение, что аффективные симптомы при шизофрении могут быть хорошим прогностическим признаком, поскольку пациенты с высоким уровнем аффективных нарушений больше проявляются на «биполярном», а не дефицитарном/аутистическом полюсе континуума психоза [6]. На самом деле депрессия связана с худшими исходами шизофрении [7, 8]. Она повышает вероятность перехода от состояния сверхвысокого риска психоза к первому психотическому эпизоду [9]. У пациентов с шизофренией и депрессией чаще отмечается злоупотребление наркотиками, хуже показатели удовлетворенности жизнью, психическое функционирование, семейные отношения и приверженность лечению; у них значительно выше и чаще вероятность рецидива и угрозы безопасности для себя и других, в том числе совершения насилия, ареста, виктимности и суицида [10]. Депрессия при шизофрении является более значимым фактором завершенного суицида (самоубийства), чем даже влияние императивных галлюцинаций [11], причем суицидальные мысли возникают у 63% таких больных [7]. Депрессия в продромальной фазе психоза оказывается самым значимым предиктором будущей депрессии и случаев аутоагрессии [7]. Сочетание даже аттенуированных психотических переживаний и умеренного депрессивного расстройства сопряжено с суицидальным поведением: т.е. для суицидального поведения не обязательно иметь тяжелую депрессию или выраженный психоз [12].
Депрессия не только осложняет течение шизофрении, но и создает дополнительные трудности дифференциальной диагностики. В частности, симптомы депрессии у больных шизофренией ассоциированы с когнитивными нарушениями [13]. На практике депрессивные проявления трудноотличимы от негативных симптомов [14, 15]. В частности, сложно определить принадлежность к депрессии или к негативным проявлениям шизофрении таких симптомов, как ангедония, психическая анестезия и эмоциональное безразличие; потеря мотивации, анергия, уплощенный аффект, социальная отгороженность, идеаторная заторможенность и обеднение мышления [1, 15, 16]. Нередко затруднение вызывает различение признаков депрессии и кататонии [17, 18]. Бывает трудно оценить характер взаимосвязи депрессивных и психотических проявлений: с одной стороны, при обострении шизофрении часто отмечается депрессия, с другой стороны, тяжелая депрессия характеризуется появлением психотических симптомов [13, 16].
Несмотря на то, что депрессия признается одним из аспектов психопатологии шизофрении, ее лечение по-прежнему представляет трудности и не всегда научно обоснованно [1, 19]. Так, АД уже много десятилетий применяются скорее на прагматической основе [1], и примерно треть больных шизофренией в амбулаторных условиях лечится АД [20]. Прошло больше 20 лет с тех пор, как Samuel G. Siris для лечения депрессии при шизофрении рекомендовал переход на мототерапию АВП [21], и уже можно утверждать, что такая стратегия не вполне оправдала надежды. Несмотря на широкое применение АВП и в действительности присущее многим из них доказанное антидепрессивное действие [21, 22], распространенность депрессии при шизофрении остается высокой, показатели самоубийств не изменились, что указывает на необходимость большего количества вариантов лечения [1]. Проведенные рандомизированные контролируемые исследования (РКИ) и мета-анализ эффективности АД для лечения депрессии при шизофрении показали следующее: назначение комбинации АД и АВП оказалось умеренно более эффективным, чем монотерапия АВП, в отношении депрессивных, негативных и даже позитивных симптомов, а также качества жизни; влияние на депрессивные и негативные симптомы оказалось более выраженным, когда критерием назначения АД была минимальная выраженность этих симптомов; между получающими комбинированную терапию АД и АВП и контрольной группой, получающих монотерапию АВП, нет существенных различий риска обострения психоза, преждевременного прекращения приема лекарств и количества участников, продолжающих терапию [23]. Однако, как и прежде, эффективность многих АД при лечении депрессии, сопутствующей шизофрении, остается неясной или недоказанной. И наконец, несмотря на добавление в схему терапии АД, у большой части пациентов сохраняются депрессивные симптомы [19, 23].
Обобщая сказанное: депрессия у больных шизофренией ухудшает исходы болезни, повышая риск самоубийств, осложняя клиническую картину и снижая качество социального функционирования; ее лечение затруднено, так как монотерапия даже современными антипсихотиками не всегда успешна, а назначение дополнительных АД может улучшать результат, но эффективность такой аугментации во многих случаях еще требует доказательств. Поэтому до сих пор остается актуальным анализ эффективности комбинаций большинства АД и АВП при лечении депрессии, возникающей на разных этапах шизофрении. Выбор для настоящего исследования вортиоксетина объясняется тем, что в уже проведенных исследованиях его назначение в качестве дополнения к антипсихотику показало уменьшение выраженности негативных симптомов [24], клинически значимое улучшение когнитивных функций, которое отличалось от его антидепрессивного действия [25], способность улучшать состояние пациентов, резистентных к лечению [26], а также хорошую переносимость, что влияет на приверженность лечению [25]. Кроме того, еще раньше в многочисленных РКИ с включением больших выборок пациентов и в проведенном мета-анализе вортиоксетин, наряду с антидепрессивным действием, показал прямой прокогнитивный эффект и, по некоторым данным, связанное с ним благотворное влияние на показатели социального функционирования и качества жизни при лечении большого депрессивного расстройства [27–40]. Способностью отчетливо улучшать ряд когнитивных показателей (качество внимания, концентрацию, ориентировку, исполнительские функции, скорость психомоторных реакций, отсроченное воспроизведение) Вортиоксетин отличается от большинства АД [33, 41–43]. Предполагается, что механизм улучшения когнитивной функции заключается как в вызываемом вортиоксетином повышении уровня серотонина (за счет ингибирования транспортера серотонина), так и прямом модулировании серотониновых рецепторов, особенно блокаде 5-HT3, которая вызывает увеличение в гиппокампе трансмиттеров — глутамата, ацетилхолина и норадреналина [32, 41].
Целью исследования была определена оценка динамики психосоциального функционирования больных шизофренией в период становления ремиссии на фоне терапии вортиоксетином, который назначался дополнительно к основной терапии одним из АВП — кветиапином, оланзапином, палиперидоном или рисперидоном.
В задачи наблюдательной программы входило:
- проследить общую динамику симптомов обострения шизофрении, сопровождающегося депрессивными проявлениями, при помощи шкалы общего клинического впечатления (Clinical Global Impression Severity, CGI-S и Clinical Global Impression Improvement, CGI-I) [44];
- выяснить динамику (редукцию) депрессивных нарушений по шкале CDSS [45, 46];
- определить динамику негативных симптомов с помощью состоящей из пяти пунктов шкалы NSA-5 [47];
- изучить изменения субъективной оценки когнитивных нарушений посредством опросника PDQ-20 [48];
- провести динамическую оценку социального функционирования при помощи шкалы PSP [47, 50–52].
МЕТОДЫ
Дизайн исследования
Обсервационное (наблюдательное) когортное проспективное исследование динамики обострений шизофрении, протекающих с сочетанием психотических и депрессивных симптомов.
Условия проведения исследования
Исследование проведено на базе государственных бюджетных учреждений города Москвы: в Психиатрической клинической больнице № 1 им. Н. А. Алексеева и Психиатрической клинической больнице № 4 им. П. Б. Ганнушкина. В настоящем исследовании выборка сформирована из мужчин и женщин с подтвержденным диагнозом параноидная шизофрения, завершивших купирующую терапию обострения и имеющих на этапе становления ремиссии (стабилизации) депрессивные симптомы, которым, по мнению их лечащих врачей, было показано в качестве варианта терапии лечение комбинацией одним из АВП (кветиапином, оланзапином, рисперидоном или палиперидоном) и АД вортиоксетином, которые назначались в рекомендуемых инструкциями дозах. Выбор и решение о назначении различных схем терапии осуществлялись лечащим врачом каждого пациента в реальной клинической практике и определялись интересами пациента, медицинскими показаниями и безопасностью.
Проведение и сбор данных в рамках настоящего исследования включал общий период наблюдения за пациентами с шизофренией и сопутствующими депрессивными расстройствами с 3 декабря 2020 г. по 1 сентября 2022 г.
Все пациенты, за динамикой психического состояния и социального функционирования которых проводилось наблюдение, получали полную информацию о проводимом исследовании и давали письменное согласие на участие в нем. Протокол исследования, информация пациенту о исследовании и форма информированного согласия пациента, индивидуальная регистрационная карта рассмотрены и проведение исследования было одобрено на заседании этического комитета при ГБУЗ «Психиатрическая клиническая больница № 1 им. Н. А. Алексеева Департамента здравоохранения города Москвы» (Протокол заседания № 3 от 19.11.2020 г.).
Участники исследования
Критерии включения в наблюдательное исследование:
- письменное информированное согласие пациента на сбор социально-демографических и медицинских данных и ответы на вопросы психометрических шкал, а также на обработку обезличенных персональных социально- демографических и медицинских данных;
- возраст пациента (пациентки) от 18 до 60 лет (включительно);
- диагностированная согласно МКБ-10 параноидная шизофрения (F20), в том числе (F20.00 — непрерывное течение; F20.01 — эпизодическое течение с нарастающим дефектом; F20.02 — эпизодическое течение со стабильным дефектом; F20.03 — эпизодическое ремиттирующее (рекуррентное) течение; F20.09 — период наблюдения менее года);
- пациент перенес обострение шизофрении, которое стало причиной изменения организационной формы оказания психиатрической помощи (лечения в психиатрическом стационаре или дневном стационаре), не более недели назад завершил этап купирующей терапии и продолжает лечение в дневном стационаре или только что начал амбулаторное лечение, направленное на стабилизацию болезни;
- у пациента в период становления ремиссии (стабилизации) сохраняются симптомы депрессии, которые не удается устранить монотерапией АВП, в связи с чем вариантом лечения, по мнению врача, было назначение комбинации АВП и АД вортиоксетина;
- достаточно эффективная, по мнению врача, терапия психотической симптоматики одним из наиболее распространенных АВП — кветиапином, оланзапином, рисперидоном или палиперидоном — которую целесообразно продолжить в дальнейшем по клиническим показаниям;
- назначение лечащим врачом вортиоксетина в качестве адъювантной терапии депрессии (решение врача о применении данного препарата не было обусловлено дизайном программы и принималось независимо от целей настоящего исследования).
Критерии невключения:
- отказ пациентов от участия в наблюдении и обследовании его с помощью психометрических шкал;
- участие пациентов в любом другом клиническом или наблюдательном исследовании эффективности лекарственных средств;
- противопоказания к назначению вортиоксетина, которые определялись лечащим врачом на основании клинической картины болезни, имеющихся сопутствующих заболеваний и других индивидуальных рисков, а также противопоказаний, указанных в утвержденной Минздравом РФ инструкции по применению вортиоксетина;
- наличие клинически значимых соматических заболеваний почек, печени, сердечно-сосудистой системы, дыхательной системы, цереброваскулярных расстройств в стадии декомпенсации, онкологических и других прогрессирующих болезней;
- эпилепсия и судорожные состояния в анамнезе;
- наличие в анамнезе тяжелой лекарственной аллергии или гиперчувствительности к вортиоксетину или его составляющим;
- зависимость от психоактивных веществ (их диагностика или клинические проявления в течение 6 месяцев до включения в исследование).
Пациент исключался из программы в случаях:
- отзыва информированного согласия, отказа от приема назначенных в рамках программы лекарств или отказа от выполнения процедур наблюдательной программы;
- если не принимал вортиоксетин или антипсихотик последовательно на протяжении 5 дней;
- необходимости отмены одного из назначенных препаратов — вортиоксетина или антипсихотиков — из-за возникновения побочных эффектов или возникшего риска ухудшения соматического состояния; необходимости отмены одного из назначенных препаратов — вортиоксетина или антипсихотиков — из-за ухудшения психического состояния;
- если, по мнению врача, возникала необходимость изменения схемы терапии, например, смены антипсихотика, назначения второго антипсихотика с выраженным избирательным антипсихотическим действием, видимой необходимости назначения другого АД;
- любых других ситуаций, когда отмена, изменение терапии или решение о прекращении наблюдения принималось лечащим врачом или пациентом в интересах последнего;
- других обстоятельств, мешающих надлежащему лечению и наблюдению за пациентом.
Все пациенты получали терапию АВП и вортиоксетином исходя из клинической необходимости и согласно действующим в РФ Клиническим рекомендациям по терапии шизофрении и депрессивных расстройств. Режим лечения АВП и вортиоксетином предполагал возможность однократного и двукратного перорального приема препарата в дозах, разрешенных клиническими рекомендациями и утвержденными инструкциями к препаратам. Поскольку наблюдавшиеся больные имели индивидуально выраженную симптоматику, течение и анамнез шизофрении, допускался прием сопутствующей терапии (нормотимиков, транквилизаторов и других препаратов с преимущественно седативным действием, корректоров побочных неврологических симптомов), которая назначалась лечащим врачом по показаниям: в связи с имеющимися аффективными колебаниями, тревогой или побочными эффектами психофармакотерапии. Лечение АВП, вортиоксетином и другими сопутствующими препаратами, их назначение, отмена, выбор и изменение дозы определялось показаниями к применению этих препаратов и рекомендованными в инструкциях дозами, клинической необходимостью и интересами пациентов, а не целями исследования.
Все пациенты, за динамикой психического состояния которых проводилось наблюдение, образовали пять групп наблюдения:
- получающие комбинированное лечение кветиапином и вортиоксетином;
- получающие комбинированное лечение оланзапином и вортиоксетином;
- получающие комбинированное лечение рисперидоном и вортиоксетином;
- получающие комбинированное лечение палиперидоном и вортиоксетином;
- получающие монотерапию одним из АВП (кветиапином, оланзапином, рисперидоном или палиперидоном) без АД.
В программу планируется включить 250 пациентов. На данный момент в анализ вошли 160 пациентов, которые завершили программу наблюдения или выбыли из наблюдения по разным причинам.
Качественное определение психопатологических проявлений и порядковая оценка выраженности симптомов проводились исходно (до начала лечения, в 1-й день, визит 1) и далее: на 90-й (визит 2) и 180-й (визит 3) дни амбулаторного лечения с допустимым интервалом ± 10 дней. Таким образом, максимальная продолжительность периода наблюдения за каждым пациентом составляла 180 дней (25 недель или 6 месяцев).
Инструменты оценки
Основным методом сбора данных являлся клинико- описательный, включавший изучение анамнеза, выяснение жалоб больного на здоровье, наблюдение за его психическим и соматическим состоянием в динамике, выяснение особенностей его социального функционирования. Для проведения исследования была разработана индивидуальная регистрационная карта, включавшая обезличенные данные о возрасте, диагнозе, сопутствующей терапии, наличии или отсутствии нежелательных явлений терапии, преобладающей симптоматике и ее выраженности. Регистрировалось время начала и завершения исследования с указанием причин последнего. Для количественной оценки динамики психотических, депрессивных, негативных симптомов и качества социального функционирования на всех визитах применялись порядковые шкалы:
- шкала CDSS [45, 46], состоящая из 9 пунктов, каждый из которых оценивается от 0 до 3. Шкала обнаружила высокую внутреннюю и интеррейтинговую надежность в оценке депрессивных состояний при шизофрении [46];
- шкала CGI-S и CGI-I, позволяющая проводить самую общую оценку выраженности психического расстройства, на основе клинического впечатления врача [44, 53, 54];
- шкала NSA-5, состоящая из 5 пунктов, в каждом из которых дается оценка от 0 до 4 баллов. Шкала разработана и прошла проверку на валидность и надежность при определении выраженности негативных симптомов у больных шизофренией [47];
- опросник PDQ-20, состоящий из 20 пунктов, в каждом из которых дается оценка от 0 до 4 баллов, а результат шкалы представляет собой сумму баллов всех 20 пунктов. Опросник показал свою эффективность при изучении субъективного переживания недостатков когнитивного функционирования пациентами в период ремиссии шизофрении [48];
- шкала PSP, разработанная в результате интеграции шкалы оценки социального и профессионального функционирования (DSM-IV Social and Occupational Functioning Assessment Scale, SOFAS) и шкалы общей оценки функционирования (Global Assessment Functioning, GAF). PSP представляет собой шкалу с максимальным рейтингом в сто баллов, которые разделены на 10 одинаковых интервалов, имеющих порядковое обозначение [49]. При оценке учитываются четыре категории функционирования: потенциально полезная деятельность, отношения с близкими и прочие социальные отношения, самообслуживание, беспокоящее и агрессивное поведение. Шкала зарекомендовала себя как надежный и быстрый способ измерения личностного и социального функционирования, обладающий рядом преимуществ по сравнению с другими инструментами [49, 50–52, 55].
Основным показателем эффективности в наблюдательной программе было принято статистически значимое увеличение среднего заключительного балла шкалы PSP и увеличение ее заключительного балла не менее чем на 10,7 (17,1%), что согласуется с вычисленным для нее минимальным обнаруживаемым изменением (Minimal Detectable Change, MDC) [52]. Дополнительными показателями эффективности служили уменьшение проявлений депрессии, выраженное в уменьшении не менее чем на 1,3 балла по шкале CDSS, что согласуется с вычисленным для нее минимальным клинически значимым отличием (Minimum Clinically Important Difference, MCID) [45], статистически значимое снижение среднего шкалы CGI-S и среднего суммарного балла опросника PDQ-2).
Статистический анализ
С учетом того, что общая группа пациентов, принимавших комбинированную терапию АВП + вортиоксетин и монотерапию АВП, статистически значимо отличались по распределению ведущего синдрома, был проведен подбор «случай-контроль» в соотношении 1 : 1 по критериям полного совпадения по полу и ведущему синдрому и допуску по возрасту в 2 года. Финальную выборку исследования составили пациенты обеих групп, отвечающие критериям поиска «случай-контроль». В качестве основного оцениваемого параметра выступала терапевтическая динамика суммарного балла депрессии, оцениваемой по шкале CDSS, в качестве дополнительных оцениваемых параметров выступали суммарные баллы по шкалам PDQ-20, NSA-5 и PSP, отражающие оцениваемую клиницистом и пациентом выраженность негативных расстройств и общее функционирование, соответственно. В качестве поискового оцениваемого параметра изучалось время до досрочного завершения исследования в обеих группах.
Общая характеристика популяции приведена методами описательной статистики с представлением непрерывных данных в виде средних и стандартных отклонений (S.D.) медиан и первой и третьей квартилей (Q1 и Q3). Категориальные данные приведены в виде абсолютных и относительных частот. Сравнение исходных показателей представленности различных клинических вариантов шизофрении и психопатологических синдромов в независимых выборках проведено посредством критерия χ2 Пирсона.
Первичные и дополнительные оцениваемые параметры изучались в отдельной модели ANOVA для повторных измерений с фиксированным фактором группы с оценкой межгрупповых контрастов по динамике соответствующей шкалы между визитом 1 и визитами 2 и 3.
Для воcполнения пропущенных значений использовался подход замены пропущенных значений предшествующими (Last observation carried forward, LOCF). Анализ различия времени досрочного завершения исследования проводился с помощью анализа кривых выживаемости Каплана–Мейера (Kaplan–Meier) со сравнением различий между группами с помощью лог-ранк теста, вычислением средней продолжительности участия в исследовании для каждой из групп и показателя относительного риска для полного завершения исследования.
Все виды анализа проводились с помощью программного продукта Graphpad (GraphPad Prism version 9.3.1 for Windows, GraphPad Software, San Diego, California USA, www.graphpad.com) за исключением анализа выживаемости, который проводился с помощью программного обеспечения NCSS (NCSS 2021 Statistical Software (2021)). NCSS, LLC. Kaysville, Utah, USA, ncss.com/software/ncss).
В анализ включены все пациенты, которые к 1 сентября 2022 г. завершили участие в наблюдении, включая досрочно выбывших из исследования. В отношении досрочно выбывших из исследования пациентов использовался подход замены пропущенных значений предшествующими LOCF.
РЕЗУЛЬТАТЫ
Характеристика участников исследования
В анализ вошли 160 пациентов (табл. 1), которые завершили программу наблюдения или выбыли из наблюдения по разным причинам.
Таблица 1. Количество пациентов исследования в зависимости от схемы медикаментозной терапии
№ | Сравниваемые группы пациентов, | Целевое число пациентов | Число пациентов, включенных | Число пациентов, |
1. | Комбинированное лечение одним из АВП | 200 | 110 | 39 |
1.1. | Комбинированное лечение кветиапином | 50 | 32 | 10 |
1.2. | Комбинированное лечение оланзапином | 50 | 28 | 9 |
1.3. | Комбинированное лечение рисперидоном | 50 | 17 | 12 |
1.4. | Комбинированное лечение палиперидоном | 50 | 33 | 8 |
2. | Монотерапия одним из АВП (кветиапином, | 60 | 50 | 39 |
Общее число пациентов | 250 | 160 | 78 | |
Описательная статистика общей выборки приведена в табл. 2. Общую выборку составили 110 пациентов, получавших АВП + вортиоксетин и 50 пациентов, получавших только АВП.
Таблица 2. Описательные данные общей выборки пациентов из числа получающих комбинированную терапию АВП + вортиоксетин и монотерапию АВП
АВП+вортиоксетин n=110 | АВП (контроль) n=50 | [ВСЕГО] n=160 | p | |
Возраст1 | 34,0 (26,2; 44,0) | 36,0 (31,2; 42,8) | 34,0 (27,8; 44,0) | U=2455, p=0,277 |
Пол2: | χ2 =0,357, df=1, p=0,550 | |||
Жен. | 56 (50,9%) | 28 (56,0%) | 84 (52,5%) | |
Муж. | 54 (49,1%) | 22 (44,0%) | 76 (47,5%) | |
Образование2: | χ2=7,322, df=3, p=0,062 | |||
Неполное среднее | 7 (6,36%) | 0 (0,00%) | 7 (4,38%) | |
Среднее | 39 (35,5%) | 11 (22,0%) | 50 (31,2%) | |
Среднее специальное | 26 (23,6%) | 15 (30,0%) | 41 (25,6%) | |
Высшее | 38 (34,5%) | 24 (48,0%) | 62 (38,8%) | |
Род занятий2: | χ2=4,355, df=3, p=0,226 | |||
Работает | 26 (23,6%) | 19 (38,0%) | 45 (28,1%) | |
Учится | 6 (5,45%) | 3 (6,00%) | 9 (5,62%) | |
Учится и работает | 2 (1,82%) | 0 (0,00%) | 2 (1,25%) | |
Безработный | 76 (69,1%) | 28 (56,0%) | 104 (65,0%) | |
Условия проживание2: | χ2=1,346, df=1, p=0,246 | |||
Одиночное | 16 (14,5%) | 4 (8,00%) | 20 (12,5%) | |
Совместно с родственниками | 94 (85,5%) | 46 (92,0%) | 140 (87,5%) | |
Диагноз2: | χ2 =17,576, df=3, p <0,001 | |||
F20.00 | 19 (17,4%) | 6 (12,0%) | 25 (15,7%) | |
F20.01 | 72 (66,1%) | 20 (40,0%) | 92 (57,9%) | |
F20.03 | 13 (11,9%) | 18 (36,0%) | 31 (19,5%) | |
F20.09 | 5 (4,59%) | 6 (12,0%) | 11 (6,92%) | |
Ведущий синдром: | χ2 =18,729, df=5, p=0,002 | |||
Аффективно-бредовой | 17 (15,5%) | 20 (40,0%) | 37 (23,1%) | |
Апато-абулический | 15 (13,6%) | 4 (8,00%) | 19 (11,9%) | |
Депрессивный | 36 (32,7%) | 6 (12,0%) | 42 (26,2%) | |
Галлюцинаторно-параноидный | 22 (20,0%) | 15 (30,0%) | 37 (23,1%) | |
Неврозоподобный | 9 (8,18%) | 3 (6,00%) | 12 (7,50%) | |
Психопатоподобный | 11 (10,0%) | 2 (4,00%) | 13 (8,12%) | |
Длительность заболевания1 | U=2701, p=0,858 | |||
Количество госпитализаций1 | U=2688, p=0,816 | |||
Группа инвалидности2,*: | χ2=1,625, df=3, p=0,654 | |||
— | 42 (38,2%) | 23 (46,0%) | 65 (40,6%) | |
Первая группа инвалидности | 1 (0,91%) | 0 (0,00%) | 1 (0,62%) | |
Вторая группа инвалидности | 58 (52,7%) | 22 (44,0%) | 80 (50,0%) | |
Третья группа инвалидности | 9 (8,18%) | 5 (10,0%) | 14 (8,75%) | |
Антипсихотик2: | χ2=1,321, df=3, p=0,724 | |||
Оланзапин | 32 (29,1%) | 17 (34,0%) | 49 (30,6%) | |
Палиперидон | 17 (15,5%) | 7 (14,0%) | 24 (15,0%) | |
Кветиапин | 33 (30,0%) | 17 (34,0%) | 50 (31,2%) | |
Рисперидон | 28 (25,5%) | 9 (18,0%) | 37 (23,1%) |
Примечание: 1Медиана [1-й; 3-й квартили], Тест Манна-Уитни (Mann-Whitney U-test). 2Частость (%), критерий χ2 Пирсона (Pearson χ2-test). * Первая группа — самая тяжелая, третья — самая легкая.
У всех пациентов, участвовавших в наблюдательной программе, была диагностирована параноидная шизофрения с различными вариантами течения (табл. 2). Средний возраст во всей выборке и у пациентов разного пола не имел значимых отличий. Не было отличий в уровне образования, показателях занятости. В общей выборке пациентов, попавших в общую ветвь наблюдения с комбинированной терапией (АВП + вортиоксетин), оказалось больше случаев с шизофренией, характеризующейся эпизодическим течением с нарастающим дефектом, тогда как в контрольной группе (монотерапия АВП) — наоборот, случаев с рекуррентным течением шизофрении (p <0,001). Значимые отличия были выявлены и в том, какой синдром выявлялся на момент включения пациентов в исследование: в общей выборке комбинированной терапии оказалось больше пациентов с преобладанием депрессивного синдрома, тогда как в группе контроля – оказалось больше пациентов с аффективно-бредовым синдромом (p=0,002).
Для получения сопоставимых групп было проведено исследование «случай-контроль» по показателям пола (полное соответствие), ведущего синдрома (полное соответствие) и возраста (допуск 2 года). В результате в каждую сравниваемую когорту (когорту получающих комбинированную терапию АВП с добавлением вортиоксетина и в когорту получающих монотерапию АВП) были выбраны по 39 случаев с установленными и отраженными в медицинской документации синдромами: аффективно-бредовым — по 15 (38,5%) случаев, галлюцинаторно-параноидным — по 13 (33,3%), депрессивным — по 6 (14,4%), апатико-абулическим — по 3 (7,7%), неврозоподобным — по 1 (2,6%), психопатоподобным — по 1 (2,6%) случаю в каждой группе. Таким образом, с точки зрения преобладающей психопатологической симптоматики и доминирующего синдрома, обе когорты не имели отличий (р=1,0). Их детальная характеристика приведена в табл. 3. Между группами сохранились статистически значимые различия установленных диагностических кодов, однако все диагнозы были в рамках рубрики F20.0 и различались только по типам течения, но не по ведущему синдрому. По всем остальным параметрам обе группы оказались сопоставимыми. Весь последующий анализ наблюдавшихся изменений показателей депрессии у больных шизофренией, на фоне терапии АВП + вортиоксетин и монотерапии АВП, проводился в образованных методом «случай-контроль» эквивалентных группах. На этапе промежуточного анализа из-за небольшого числа пациентов, которые получали каждый конкретный АВП, сравнение эффективности их комбинаций с вортиоксетином и монотерапии не предоставили надежных данных.
Таблица 3. Описательные данные групп пациентов из числа получающих комбинированную терапию АВП + вортиоксетин и монотерапию АВП, образованные методом «случай–контроль»
АВП+вортиоксетин n=39 | АВП (контроль) n =39 | [ВСЕГО] n =78 | p | |
Возраст1 | 35,0 (30,5;39,0) | 36,0 (31,0; 40,0) | 35,5 (31,0; 40,0) | U=726,5, p=0,734 |
Пол2: | χ2 =0,0, df=1, p=1,0 | |||
Жен. | 23 (59,0%) | 23 (59,0%) | 46 (59,0%) | |
Муж. | 16 (41,0%) | 16 (41,0%) | 32 (41,0%) | |
Образование2: | χ2 =8,70, df=3, p=0,03 | |||
Неполное среднее | 3 (7,69%) | 0 (0,00%) | 3 (3,85%) | |
Среднее | 17 (43,6%) | 9 (23,1%) | 26 (33,3%) | |
Среднее специальное | 7 (17,9%) | 15 (38,5%) | 22 (28,2%) | |
Высшее | 12 (30,8%) | 15 (38,5%) | 27 (34,6%) | |
Род занятий2: | χ2 =3,73, df=3, p=0,29 | |||
Работает | 10 (25,6%) | 16 (41,0%) | 26 (33,3%) | |
Учится | 2 (5,13%) | 2 (5,13%) | 4 (5,13%) | |
Учится и работает | 2 (5,13%) | 0 (0,00%) | 2 (2,56%) | |
Безработный | 25 (64,1%) | 21 (53,8%) | 46 (59,0%) | |
Условия проживания2: | χ2 =3,14, df=1, p=0,08 | |||
Одиночное | 7 (17,9%) | 2 (5,13%) | 9 (11,5%) | |
Совместно с родственниками | 32 (82,1%) | 37 (94,9%) | 69 (88,5%) | |
Диагноз2: | χ2 =11,73, df=3, p=0,008 | |||
F20.00 | 4 (10,3%) | 3 (7,69%) | 7 (8,97%) | |
F20.01 | 29 (74,4%) | 16 (41,0%) | 45 (57,7%) | |
F20.03 | 5 (12,8%) | 14 (35,9%) | 19 (24,4%) | |
F20.09 | 1 (2,56%) | 6 (15,4%) | 7 (8,97%) | |
Ведущий синдром2: | χ2 =0,0, df=5, p=1,0 | |||
Аффективно-бредовой | 15 (38,5%) | 15 (38,5%) | 30 (38,5%) | |
Апато-абулический | 3 (7,69%) | 3 (7,69%) | 6 (7,69%) | |
Депрессивный | 6 (15,4%) | 6 (15,4%) | 12 (15,4%) | |
Галлюцинаторно-параноидный | 13 (33,3%) | 13 (33,3%) | 26 (33,3%) | |
Неврозоподобный | 1 (2,56%) | 1 (2,56%) | 2 (2,56%) | |
Психопатоподобный | 1 (2,56%) | 1 (2,56%) | 2 (2,56%) | |
Длительность заболевания1 | U=690,5, p=0,484 | |||
Количество госпитализаций1 | U=695, p=0,503 | |||
Группа инвалидности2,*: | χ2 =1,43, df=2, p=0,49 | |||
— | 14 (35,9%) | 19 (48,7%) | 33 (42,3%) | |
Первая группа инвалидности | 21 (53,8%) | 16 (41,0%) | 37 (47,4%) | |
Вторая группа инвалидности | 4 (10,3%) | 4 (10,3%) | 8 (10,3%) | |
Третья группа инвалидности | ||||
Антипсихотик1: | χ2 =4,34, df=3, p=0,227 | |||
Оланзапин | 9 (23,1%) | 13 (33,3%) | 22 (28,2%) | |
Палиперидон | 8 (20,5%) | 7 (17,9%) | 15 (19,2%) | |
Кветиапин | 10 (25,6%) | 14 (35,9%) | 24 (30,8%) | |
Рисперидон | 12 (30,8%) | 5 (12,8%) | 17 (21,8%) |
Примечание: 1Медиана [1-й; 3-й квартили], Тест Манна-Уитни (Mann-Whitney U-test). 2Частость (%), критерий χ2 Пирсона (Pearson χ2-test). * Первая группа — самая тяжелая, третья — самая легкая.
Динамика симптомов и показателей социального функционирования
По результатам проведения теста ANOVA для повторных измерений суммарного балла по шкалам CDSS, NSA-5, PDQ-20 и итогового балла шкалы PSP выявлен статистически значимый эффект взаимодействия между переменными визита и группы по шкалам CDSS и PSP, а также статистически значимый эффект переменной визита в отношении суммарного балла по каждой из шкал (табл. 4, рис. 1). Детальная статистика по различиям между группами приведена в табл. S1 (в Приложении). Эти результаты свидетельствуют, что вне зависимости от терапевтической группы у пациентов к завершению периода наблюдения отмечалось статистически значимое снижение уровня депрессии, оцениваемой по шкале CDSS, а также выраженности негативных симптомов, оцениваемых клиницистом (шкала NSA-5), когнитивных симптомов на основании субъективной оценки (шкала PDQ-20), а также улучшение личностного и социального функционирования — повышение итогового балла шкалы PSP. При этом размеры эффекта η²p для фактора визита во всех шкалах, измеряющих клинические показатели, оказались выше, чем для взаимодействия факторов визита и группы. Иными словами, в результате, спустя полгода становления ремиссии депрессивная и негативная симптоматика, когнитивные нарушения и уровень социального функционирования имели тенденцию к улучшению вне зависимости от применяемой комбинированной или монотерапии.
Таблица 4. Данные по изменениям в суммарных баллах CDSS, NSA-5, PDQ-20 и PSP в группах АВП и АВП + вортиоксетин, полученные в ходе двусторонних повторных измерений по ANOVA
Переменная | Сумма квадратов | df | Среднее | f | p | η²p | |
CDSS | Визит | 1116,009 | 2 | 558,004 | 31,062 | <0,001 | 0,29 |
Визит × Группа | 143,859 | 2 | 71,930 | 4,896 | 0,009 | 0,065 | |
Ост. | 2730,547 | 152 | 17,964 | ||||
NSA-5 | Визит | 797,598 | 2 | 398,799 | 39,606 | <0,001 | 0,343 |
Визит × Группа | 37,872 | 2 | 18,936 | 1,881 | 0,156 | 0,024 | |
Ост. | 1530,53 | 152 | 10,069 | ||||
PQD-20 | Визит | 3578,88 | 2 | 1789,44 | 31,775 | <0,001 | 0,295 |
Визит × Группа | 328,368 | 2 | 164,184 | 2,915 | 0,057 | 0,037 | |
Ост. | 8560,085 | 152 | 56,316 | ||||
PSP | Визит | 2206,778 | 2 | 1103,389 | 5,569 | 0,005 | 0,068 |
Визит × Группа | 1451,444 | 2 | 725,722 | 3,663 | 0,028 | 0,046 | |
Ост. | 30115,778 | 152 | 198,13 |
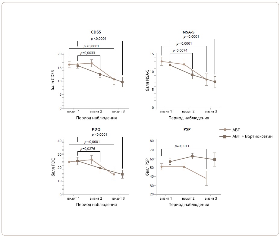
Вместе с тем, между сравниваемыми основной (АВП + вортиоксетин) и контрольной (АВП) группами выявлены статистически значимые различия по динамике суммарного балла по шкалам CDSS и PSP, что представлено в табл. 5. Так, средний балл по шкале CDSS в группе АВП + вортиоксетин статистически значимо снизился с 15,749 (границы 95% ДИ: 14,733-16,765) до 12,501 (11,28-13,722) на визите 2 и до 9,649 (7,854–11,445) на визите 3 (все p <0,01), а в группе АВП с 16,12 (15,02–17,219) увеличился на визите 2 до 16,645 (15,324–17,966) и статистически значимо снизился до 10,642 (8,699-12,585) на визите 3 (p <0,001). На рис. 1 видно, что особенностью динамики показателей клинических шкал стало наличие заметного улучшения в группе АВП + вортиоксетин к визиту 2 при отсутствии аналогичного улучшения в группе контроля и достижение примерно одинаковых значений шкал в обеих группах к визиту 3. В частности, среднее значение шкалы CDSS на визите 2 в группе АВП + вортиоксетин оказалось статистически значимо меньшим, чем в группе АВП (p <0,001, табл. 5). Показатель η²p=0,235 для межгрупповых различий динамки суммарного балла по шкале CDSS на визите 2 свидетельствует о большом по размеру вкладе вортиоксетина в динамику депрессивных симптомов на этот период. Также на визите 2 значимыми оказались различия суммарного балла NSA-5 (p=0,003) при η²p=0,121 — то есть при умеренном вкладе вортиоксетина в динамику негативной симптоматики, а также различия суммарного балла PDQ (p=0,046) при η²p=0,212, что говорит о большом вкладе вортиоксетина в динамику субъективной оценки когнитивного функционирования.
Рисунок 1. Итоговые суммарные баллы по шкалам CDSS, NSA-5, PDQ-20 и PSP в группах АВП и АВП + вортиоксетин.
Таблица 5. Итоговые суммарные баллы по шкалам CDSS, NSA-5, PDQ-20 и PSP в группах АВП и АВП + вортиоксетин
Шкала | Визит | АВП | АВП + вортиоксетин | Статистический | ||||||
Средн. | Нижний предел доверительного | Верхний предел доверительного | Средн. | Нижний предел доверительного | Верхний предел | f | p | η²p | ||
CDSS | 1 | 16,12 | 15,02 | 17,219 | 15,749 | 14,733 | 16,765 | - | - | - |
2 | 16,645 | 15,324 | 17,966 | 12,501 | 11,28 | 13,722 | 21,535 | <0,001 | 0,235 | |
3 | 10,642 | 8,699 | 12,585 | 9,649 | 7,854 | 11,445 | 0,197 | 0,659 | 0,003 | |
NSA5 | 1 | 12,984 | 11,819 | 14,15 | 11,919 | 10,842 | 12,996 | - | - | - |
2 | 12,133 | 10,904 | 13,361 | 9,209 | 8,074 | 10,344 | 9,663 | 0,003 | 0,121 | |
3 | 7,905 | 6,283 | 9,527 | 7,308 | 5,81 | 8,807 | 0,159 | 0,692 | 0,002 | |
PDQ | 1 | 24,36 | 21,399 | 27,321 | 25,105 | 22,369 | 27,841 | - | - | - |
2 | 26,139 | 23,017 | 29,261 | 19,901 | 17,016 | 22,786 | 18,839 | <0,001 | 0,212 | |
3 | 15,065 | 11,855 | 18,276 | 15,193 | 12,226 | 18,16 | 0,057 | 0,812 | 0,001 | |
PSP | 1 | 51,252 | 47,756 | 54,749 | 56,859 | 53,628 | 60,09 | - | - | - |
2 | 51,042 | 47,773 | 54,311 | 62,929 | 59,909 | 65,95 | 8,833 | 0,004 | 0,112 | |
3 | 38,334 | 30,287 | 46,382 | 59,338 | 51,902 | 66,775 | 7,091 | 0,01 | 0,092 | |
К визиту 3 различия значений шкал, оценивающих выраженность депрессивной, негативной симптоматики и когнитивных нарушений, сглаживались. В пользу влияния иных факторов, не связанных с действием адъювантного АД, говорит малый размер эффекта (η²p) вортиоксетина в различиях шкал на визите 3 (табл. 5).
В данном наблюдении прослеживается разнонаправленная в сравниваемых группах динамика социального функционирования, оцениваемого по суммарному баллу по шкале PSP. В группе АВП + вортиоксетин средний балл PSP в итоге недостоверно повысился по сравнению с первым визитом с 56,859 (53,628–60,09) до 59,338 (51,902–66,775). Напротив, в контрольной группе АВП средний итоговый балл PSP на втором визите почти не изменился, но к концу наблюдения статистически значимо ухудшился с 51,252 (47,756-54,749) до 38,334 (30,287-46,382) (p=0,0011). При этом показатели PSP имели значимые межгрупповые различия на визитах 2 и 3 (p=0,004 и p=0,01 соответственно), что показывает результирующее существенное влияние комбинированной терапии АВП + вортиоксетин на уровень социального функционирования больных шизофренией с депрессивной симптоматикой, сохраняющейся в период становления ремиссии.
Анализ выбывания пациентов из исследования
Анализ времени до преждевременного завершения исследования (рис. 2) продемонстрировал, что в группе АВП + вортиоксетин статистически значимо больше пациентов полностью завершили программу исследования (n=27, 69,23%) по сравнению с группой АВП (n=13, 33,33%) (χ2 =14,618, df=1, p <0,001, лог-ранк тест). Показатель Mean survival time в исследовании в группе АВП был статистически значимо меньше (p <0,001) и составил 101,436 дня (95% ДИ: 81,518-121,354), а в группе АВП + вортиоксетин — 161,744 дня (147,981-175,506). Показатель относительного риска для полного завершения исследования в группе вортиоксетин + АВП по сравнению с АВП составил 3,618 (1,871-6,994).
Рисунок 2. Вероятность полного прохождения исследования пациентами из групп АВП и АВП + вортиоксетин (метод Каплана-Мейера).
Анализ переносимости препаратов
В группе АВП + вортиоксетин зарегистрировано 62 нежелательных явления (НЯ), в группе АВП — 67 НЯ. Полный перечень НЯ приведен в табл. S2 (см. Приложение). Среди НЯ, наблюдавшихся в группе АВП + вортиоксетин: 11 возникли у 5% пациентов, сонливость у 6 (15,4%), тремор у 5 (12,8%), акатизия у 5 (12,8%), ухудшение внимания у 5 (12,8%), увеличение веса у 5 (12,8%), тошнота у 5 (12,8%), головокружение у 4 (10,3%), тревога у 4 (10,3%), слабость у 3 (7,8%), раздражительность у 3 (7,8%), зуд у 3 (7,8%). Остальные НЯ отмечались в единичных случаях. В группе АВП также у более, чем 5% пациентов, возникли 11 НЯ: ухудшение депрессии — у 10 человек (25,6%), сонливость у 6 (15,4%), тремор у 6 (15,4%), увеличение веса у 6 (15,4%), тревога у 6 (15,4%), акатизия у 5 (12,8%), ухудшение внимания у 5 (12,8%), слабость у 4 (10,3%), тахикардия у 3 (7,8%), гиперпролактинемия у 3 (7,8%). При отсутствии статистически значимых различий, объясняющихся величиной выборки, обращает внимание, что в группе АВП + вортиоксетин чаще отмечались тошнота и кожный зуд — эти НЯ достаточно типичные для вортиоксетина. В группе контроля чаще всего отмечалось усиление депрессии и несколько чаще — обострение психотических симптомов. В целом состав НЯ оказался схожим и довольно типичным для основной базовой терапии антипсихотиками: в обеих группах наиболее распространенными оказались легкие экстрапирамидные симптомы (ЭПС), а также сонливость, увеличение веса и ухудшение концентрации внимания.
ОБСУЖДЕНИЕ
Мы сообщаем здесь о результатах первого в России наблюдательного исследования психосоциального функционирования больных шизофренией, имеющих симптомы депрессии в период становления ремиссии, на фоне комбинированной терапии вортиоксетином и АВП. Данное исследование показало, что на фоне приема 6-месячного курса лечения комбинацией АВП и вортиоксетина, назначаемых согласно клинической необходимости в гибких дозах, наблюдается значимое улучшение по итоговому баллу шкалы PSP (первичный показатель эффективности), суммарному баллу шкалы CDSS (ключевой вторичный показатель эффективности) и другим вторичным результатам эффективности (шкале CGI-S и шкале NSA-5). Результаты этого исследования подтверждают, что присоединение вортиоксетина к базовой терапии антипсихотиком второго поколения является эффективным и хорошо переносимым вариантом лечения шизофрении с сопутствующими депрессивными симптомами в период становления ремиссии. В проведенном 6-месячном проспективном обсервационном исследовании динамики депрессивных симптомов и социального функционирования больных в период становления ремиссии параноидной шизофрении на фоне комбинированной терапии АВП и вортиоксетином и монотерапии АВП после применения метода «случай–контроль» установлено статистически значимое и клинически существенное улучшение депрессивных, негативных симптомов, самооценки когнитивных способностей, и особенно выраженное повышение качества личностного и социального функционирования.
Сравнительный анализ динамики показателей клинических шкал показывает, что присоединение вортиоксетина к терапии АВП позволяет ускорить редукцию симптомов депрессии, сохраняющихся или возникающих на этапе обратного развития психоза и становления ремиссии. Антидепрессивный эффект у больных с шизофрений согласуется с имеющимися данными об эффективности вортиоксетина, доказанной при лечении большого депрессивного расстройства [32, 35, 38, 40].
Кроме того, добавление вортиоксетина к базовой терапии АВП способствует ускоренному ослаблению негативных симптомов вне зависимости от того, с какой точки зрения их рассматривать — «преходящие» это негативные нарушения, присущие рецидиву и сохраняющиеся дольше позитивной симптоматики, или это связанная с депрессией негативная симптоматика, например, «негативная аффективность» [56], или негативные симптомы, обусловленные общими с депрессией механизмами развития, или погрешность, заложенная в шкале, когда в действительности депрессивные симптомы подпадают под оценку шкалы негативных симптомов.
Изучение субъективной оценки пациентами своих когнитивных способностей показало, что на фоне лечения комбинацией АВП + вортиоксетин происходит последовательное и статистически значимое улучшение среднего значения шкалы PDQ, причем с существенным вкладом в его динамику вортиоксетина, тогда как на фоне монотерапии АВП улучшение достигается лишь спустя полгода.
Наибольший эффект адъюнкция вортиоксетина оказывает на уровень психосоциального функционирования: ко второму визиту в основной группе итоговый балл PSP значительно возрастал и значимо отличался от контроля, и в последующем эта разница сохранялась. Выраженная положительная динамика психосоциального функционирования в группе АВП + вортиоксетин совпадает с отчетливым антидепрессивным эффектом, ослаблением негативной симптоматики, повышением самооценки когнитивных способностей.
Тот факт, что к третьему визиту различия значений шкал, оценивающих выраженность депрессивной, негативной симптоматики и когнитивных нарушений, сглаживались, может быть объяснен тремя обстоятельствами: 1) спонтанной редукцией депрессивной симптоматики по мере формирования ремиссии у существенной части больных, получающих любые схемы терапии; 2) относительно отсроченным наступлением антидепрессивного эффекта некоторых АВП; 3) наконец, с достижением наибольшего возможного улучшения психического состояния и/или с приближением шкальной оценки к минимальным заложенным в них значениям, когда вероятность различий снижается.
Комбинированная терапия АВП и вортиоксетином характеризуется высокой, превосходящей в два раза по сравнению с монотерапией АВП, частотой продолжения лечения (используя статистическую терминологию — выживаемостью пациента на фоне терапии): спустя полтора месяца разница числа принимающих участие пациентов в основной и в контрольной группе достигла статистической значимости и сохранялась до конца наблюдения.
Присоединение вортиоксетина показало не только эффективность, но и безопасность такой комбинации: у пациентов не наблюдается увеличения частоты и тяжести НЯ, характерных для АВП. Среди НЯ, которые отличали применение комбинированной схемы терапии АВП + вортиоксетин оказались кожный зуд и тошнота. Напротив, применение вортиоксетина снижало риск ухудшения депрессии, которая часто наблюдалась в случае монотерапии АВП. Хороший профиль безопасности вортиоксетина согласуется с данными РКИ [32, 34].
Ограничения исследования
До настоящего времени сохраняются трудности различения негативной симптоматики шизофрении и собственно симптомов депрессии, особенно проявлений так называемой «негативной аффективности». Принятые критерии диагностики и существующие клинические шкалы не решают этой проблемы. Поэтому на протяжении всего исследования имелся риск включения в него разнородных случаев с различной психопатологической структурой самой депрессии и аффективно-бредовых приступов, неодинаковой взаимосвязью бредовых и депрессивных проявлений.
Исследование было наблюдательным и максимально приближенным к реальной клинической практике, оно не было ослеплено, и в нем не применялось рандомизации. Обсервационный дизайн исследования повлек избирательность включения в разные ветви наблюдения: в группу контроля, где пациенты получали монотерапию АВП, вошли преимущественно пациенты с относительно равномерным обратным развитием депрессивно-бредовых приступов шизофрении и меньшей тяжестью депрессии, тогда как в основной группе значительно чаще оказывались больные шизофренией, у которых в период становления ремиссии на первый план в клинической картине выступали симптомы депрессии. Вероятно, это объясняется тем, что врачи-психиатры в реальной клинической практике, видя благоприятное обратное развитие аффективно-бредового (депрессивно-бредового) синдрома с параллельной редукцией психотических и депрессивных его составляющих, чаще всего продолжали монотерапию АВП. Напротив, когда у пациентов, несмотря на редукцию психотической симптоматики, сохранялись или усиливались депрессивные проявления, врачи обычно вместо бредовых и аффективно-бредовых синдромов диагностировали депрессивный синдром, и чаще дополнительно к АВП назначали вортиоксетин. Такая избирательность в выборе лечения, объясняющаяся врачебным стремлением уменьшить страдания пациента и избежать риски, связанные с недостаточной терапией депрессии, на наш взгляд, стала причиной статистически значимых различий распределения ведущего синдрома между основной выборкой АВП + вортиоксетин и контрольной группой монотерапии АВП. Для нивелирования этого эффекта на этапе промежуточного анализа полученных данных произведен отход от когортного исследования и с использованием полученного материала применен метод «случай–контроль». Данный метод не только предоставил возможность провести сравнение в клинически (синдромально) однородной выборке, но и уменьшил шансы выявить и тем более доказать более надежные различия.
ЗАКЛЮЧЕНИЕ
В 6-месячном наблюдательном исследовании динамики психосоциального функционирования больных шизофренией, имеющих симптомы депрессии в период становления ремиссии, на фоне комбинированной терапии вортиоксетином и антипсихотиками второго поколения, в условиях реальной клинической практики присоединение вортиоксетина к базовой терапии АВП отмечалось статистически значимое и клинически существенное улучшение симптомов депрессии, негативных проявлений и качества социального функционирования. Комбинированная терапия вортиоксетином и АВП, в том числе кветиапином, оланзапином, палиперидоном или рисперидоном, хорошо переносилась, а среди побочных эффектов терапии преобладают увеличение веса, ЭПС и седативное действие — НЯ, присущие антипсихотикам, частота которых в комбинированной терапии не превышает монотерапии.
Вклад авторов: Александр Резник разработал концепцию исследования и выступил главным координатором деятельности по сбору данных; Александр Мудрак, Николай Захаров, Жанна Попова, Анастасия Хорошилова, Илона Курбатова, Алина Сайфулина, Антон Елисеенко, Татьяна Матвиевская, Ангелина Ханнанова осуществляли сбор данных; Тимур Сюняков осуществлял анализ данных; Александр Резник и Тимур Сюняков написали черновой вариант рукописи, который в дальнейшем дорабатывался Александром Резником после получения всей дополнительной информации от соавторов.
Финансирование: Статья была написана без дополнительного финансирования.
Конфликт интересов: Авторы заявляют об отсутствии конфликта интересов.
Дополнительные данные: Дополнительные материалы к данной статье можно найти в онлайн-версии, doi: 10.17816/CP3728
Об авторах
Александр Михайлович Резник
ГБУЗ «Психиатрическая клиническая больница № 1 им. Н.А. Алексеева Департамента здравоохранения города Москвы»; ФГБОУ ВО «Российский биотехнологический университет»; ГБУЗ «Психиатрическая клиническая больница № 4 им. П.Б. Ганнушкина»
Автор, ответственный за переписку.
Email: a.m.reznik1969@gmail.com
ORCID iD: 0000-0002-7076-5901
SPIN-код: 4955-8297
к.м.н., доцент, заведующий кафедрой психиатрии, научный сотрудник
Россия, Москва; Москва; МоскваТимур Сергеевич Сюняков
ГБУЗ «Психиатрическая клиническая больница № 1 им. Н.А. Алексеева Департамента здравоохранения города Москвы»; Республиканский специализированный научно-практический центр наркологии; ФГБОУ ВО «Самарский государственный медицинский университет»
Email: sjunja@bk.ru
ORCID iD: 0000-0002-4334-1601
к.м.н., ведущий научный сотрудник
Россия, Москва; Ташкент; СамараАлександр Владимирович Мудрак
ГБУЗ «Психиатрическая клиническая больница № 1 им. Н.А. Алексеева Департамента здравоохранения города Москвы»
Email: mudrik_ne@mail.ru
ORCID iD: 0000-0003-1315-516X
врач-психиатр
Россия, МоскваНиколай Борисович Захаров
ГБУЗ «Психиатрическая клиническая больница № 1 им. Н.А. Алексеева Департамента здравоохранения города Москвы»
Email: a.m.reznik1969@gmail.com
ORCID iD: 0000-0002-4733-5233
заведующий дневным стационаром, врач-психиатр
Россия, МоскваЖанна Борисовна Попова
ГБУЗ «Психиатрическая клиническая больница № 1 им. Н.А. Алексеева Департамента здравоохранения города Москвы»
Email: a.m.reznik1969@gmail.com
заведующий дневным стационаром, врач-психиатр
Россия, МоскваАнастасия Николаевна Хорошилова
ГБУЗ «Психиатрическая клиническая больница № 1 им. Н.А. Алексеева Департамента здравоохранения города Москвы»
Email: a.m.reznik1969@gmail.com
Psychiatrist
Россия, МоскваИлона Георгиевна Хурбатова
ФГБУ «Главный военный клинический госпиталь имени академика Н.Н. Бурденко»
Email: a.m.reznik1969@gmail.com
врач-психиатр
Россия, МоскваАлина Маратовна Сайфулина
Клиника психиатрии и психотерапии «МАЙНДСЕТ»
Email: a.m.reznik1969@gmail.com
ORCID iD: 0000-0002-5867-7116
Psychiatrist
Россия, МоскваАнтон Михайлович Елисеенко
Центр ментального здоровья «Эмпатия»
Email: a.m.reznik1969@gmail.com
ORCID iD: 0000-0003-4148-3216
Psychiatrist
Россия, МоскваТатьяна Константиновна Матвиевская
ГБУЗ «Психиатрическая клиническая больница № 4 им. П.Б. Ганнушкина»
Email: a.m.reznik1969@gmail.com
Psychiatrist
Россия, МоскваАнгелина Наилевна Ханнанова
ФГБОУ ВО «Российский биотехнологический университет»; ГБУЗ «Психиатрическая клиническая больница № 4 им. П.Б. Ганнушкина»
Email: a.khannanova@gmail.com
ORCID iD: 0000-0002-5765-2259
SPIN-код: 7247-6175
Cand. Sci (Med.), Deputy Chief Doctor, Assistant
Россия, Москва; МоскваСписок литературы
- Upthegrove R, Marwaha S, Birchwood M. Depression and Schizophrenia: Cause, Consequence, or Trans-diagnostic Issue? Schizophrenia bulletin. 2017;43(2):240–244. doi: 10.1093/schbul/sbw097.
- Liu R, Fang X, Yu L, Wang D, Wu Z, Guo C, Teng X, Ren J, Zhang C. Gender Differences of Schizophrenia Patients With and Without Depressive Symptoms in Clinical Characteristics. Frontiers in psychiatry. 2022;12:792019. doi: 10.3389/fpsyt.2021.792019.
- Majadas S, Olivares J, Galan J, Diez T. Prevalence of depression and its relationship with other clinical characteristics in a sample of patients with stable schizophrenia. Comprehensive psychiatry. 2012;53(2):145–151. doi: 10.1016/j.comppsych.2011.03.009.
- Miura I, Nosaka T, Yabe H, Hagi K. Antidepressive Effect of Antipsychotics in the Treatment of Schizophrenia: Meta-Regression Analysis of Randomized Placebo-Controlled Trials. The international journal of neuropsychopharmacology. 2021;24(3):200–215. doi: 10.1093/ijnp/pyaa082.
- Tandon R, Gaebel W, Barch DM, Bustillo J, Gur RE, Heckers S, Malaspina D, Owen MJ, Schultz S, Tsuang M, Van OsJ, Carpenter W. Definition and description of schizophrenia in the DSM-5. Schizophrenia research. 2013;150(1):3–10. doi: 10.1016/j.schres.2013.05.028.
- Craddock N, Owen MJ. The Kraepelinian dichotomy — going, going... but still not gone. The British journal of psychiatry: the journal of mental science. 2010;196(2):92–95. doi: 10.1192/bjp.bp.109.073429.
- Upthegrove R, Birchwood M, Ross K, Brunett K, McCollum R, Jones L. The evolution of depression and suicidality in first episode psychosis. Acta psychiatrica Scandinavica. 2010;122(3):211–218. doi: 10.1111/j.1600-0447.2009.01506.x.
- Gardsjord ES, Romm KL, Friis S, Barder HE, Evensen J, Haahr U, ten Velden Hegelstad W, Joa I, Johannessen JO, Langeveld J, Larsen TK, Opjordsmoen S, Rund BR, Simonsen E, Vaglum P, McGlashan T, Melle I, Røssberg JI. Subjective quality of life in first-episode psychosis. A ten year follow-up study. Schizophrenia research. 2016;172(1-3):23–28. doi: 10.1016/j.schres.2016.02.034.
- Velthorst E, Nieman DH, Becker HE, van de Fliert R, Dingemans PM, Klaassen R, de Haan L, van Amelsvoort T, Linszen DH. Baseline differences in clinical symptomatology between ultra high risk subjects with and without a transition to psychosis. Schizophrenia research. 2009;109(1–3):60–65. doi: 10.1016/j.schres.2009.02.002.
- Conley RR, Ascher-Svanum H, Zhu B, Faries DE, Kinon BJ. The burden of depressive symptoms in the long-term treatment of patients with schizophrenia. Schizophrenia research. 2007;90(1–3):186–197. doi: 10.1016/j.schres.2006.09.027.
- Dutta R, Murray RM, Allardyce J, Jones PB, Boydell J. Early risk factors for suicide in an epidemiological first episode psychosis cohort. Schizophrenia research. 2011;126(1–3):11–19. doi: 10.1016/j.schres.2010.11.021.
- Kelleher I, Corcoran P, Keeley H, Wigman JT, Devlin N, Ramsay H, Wasserman C, Carli V, Sarchiapone M, Hoven C, Wasserman D, Cannon M. Psychotic symptoms and population risk for suicide attempt: a prospective cohort study. JAMA psychiatry. 2013;70(9):940–948. doi: 10.1001/jamapsychiatry.2013.140.
- Lindenmayer JP, Grochowski S, Kay SR. Schizophrenic patients with depression: psychopathological profiles and relationship with negative symptoms. Compr Psychiatry. 1991;32(6):528–533. doi: 10.1016/0010-440x(91)90032-8.
- An der Heiden W, Leber A, Hafner H. Negative symptoms and their association with depressive symptoms in the long-term course of schizophrenia. Eur Arch Psychiatry Clin Neurosci. 2016;266(5):387–396. doi: 10.1007/s00406-016-0697-2.
- Krynicki CR, Upthegrove R, Deakin JFW, Barnes TRE. The relationship between negative symptoms and depression in schizophrenia: a systematic review. Acta psychiatrica Scandinavica. 2018;137(5):380–390. doi: 10.1111/acps.12873.
- Felmet K, Zisook S, Kasckow JW. Elderly patients with schizophrenia and depression: diagnosis and treatment. Clinical schizophrenia & related psychoses. 2011;4(4):239–250. doi: 10.3371/CSRP.4.4.4.
- Jhawer H, Sidhu M, Patel RS. Missed Diagnosis of Major Depressive Disorder with Catatonia Features. Brain sciences. 2019;9(2):31. doi: 10.3390/brainsci9020031.
- Borisova PO. Nosological Dilemma and Clinical Polymorphism of the Catatonia Phenomenon. Psychiatry. 2020;18(2):61–70. doi: 10.30629/2618-6667-2020-18-2-61-70.
- Lako IM, Taxis K, Bruggeman R, Knegtering H, Burger H, Wiersma D, Slooff CJ. The course of depressive symptoms and prescribing patterns of antidepressants in schizophrenia in a one-year follow-up study. European psychiatry: the journal of the Association of European Psychiatrists. 2012;27(4):240–244. doi: 10.1016/j.eurpsy.2010.10.007.
- Vahia IV, Lanouette NM, Golshan S, Fellows I, Mohamed S, Kasckow JW, Zisook S. Adding antidepressants to antipsychotics for treatment of subsyndromal depressive symptoms in schizophrenia: Impact on positive and negative symptoms. Indian journal of psychiatry. 2013;55(2):144–148. doi: 10.4103/0019-5545.111452.
- Siris SG. Depression in schizophrenia: perspective in the era of “Atypical” antipsychotic agents. The American journal of psychiatry. 2000;157(9):1379–1389. doi: 10.1176/appi.ajp.157.9.1379.
- Huhn M, Nikolakopoulou A, Schneider-Thoma J, Krause M, Samara M, Peter N, Arndt T, Bäckers L, Rothe P, Cipriani A, Davis J, Salanti G, Leucht S. Comparative efficacy and tolerability of 32 oral antipsychotics for the acute treatment of adults with multi-episode schizophrenia: a systematic review and network meta-analysis. Lancet. 2019;394(10202):939–951. doi: 10.1016/S0140-6736(19)31135-3.
- Helfer B, Samara MT, Huhn M, Klupp E, Leucht C, Zhu Y, Engel RR, Leucht S. Efficacy and Safety of Antidepressants Added to Antipsychotics for Schizophrenia: A Systematic Review and Meta-Analysis. Am J Psychiatry. 2016;173(9):876–86. doi: 10.1176/appi.ajp.2016.15081035.
- Moazen-Zadeh E, Bayanati S, Ziafat K, Rezaei F, Mesgarpour B, Akhondzadeh S. Vortioxetine as adjunctive therapy to risperidone for treatment of patients with chronic schizophrenia: A randomised, double-blind, placebo-controlled clinical trial. J Psychopharmacol. 2020;34(5):506–513. doi: 10.1177/0269881120909416.
- Redaelli S, Porffy L, Oloyede E, Dzahini O, Lewis G, Lobo M, Whiskey E, Shergill SS. Vortioxetine as adjunctive therapy in the treatment of schizophrenia. Ther Adv Psychopharmacol. 2022;12:20451253221110014. doi: 10.1177/20451253221110014.
- Lowe P, Krivoy A, Porffy L, Henriksdottir E, Eromona W, Shergill SS. When the drugs don’t work: treatment-resistant schizophrenia, serotonin and serendipity. Ther Adv Psychopharmacol. 2018;8(1):63–70. doi: 10.1177/2045125317737003.
- Al-Sukhni M, Maruschak NA, McIntyre RS. Vortioxetine: a review of efficacy, safety and tolerability with a focus on cognitive symptoms in major depressive disorder. Expert opinion on drug safety. 2015;14(8):1291–1304. doi: 10.1517/14740338.2015.1046836.
- Baune BT, Sluth LB, Olsen CK. The effects of vortioxetine on cognitive performance in working patients with major depressive disorder: A short-term, randomized, double-blind, exploratory study. Journal of affective disorders. 2018;229:421–428. doi: 10.1016/j.jad.2017.12.056.
- Chokka P, Tvistholm AH, Bougie J, Clerzius G, Ettrup A. Improvements in Workplace Productivity in Working Patients With Major Depressive Disorder: Results From the AtWoRC Study. Journal of occupational and environmental medicine. 2020;62(3):e94–e101. doi: 10.1097/JOM.0000000000001805.
- Florea I, Danchenko N, Brignone M, Loft H, Rive B, Abetz-Webb L. The effect of vortioxetine on health-related quality of life in patients with major depressive disorder. Clinical therapeutics. 2015;37(10):2309–2323.e6. doi: 10.1016/j.clinthera.2015.08.008.
- Florea I, Loft H, Danchenko N, Rive B, Brignone M, Merikle E, Jacobsen PL, Sheehan DV. The effect of vortioxetine on overall patient functioning in patients with major depressive disorder. Brain and behavior. 2017;7(3):e00622. doi: 10.1002/brb3.622.
- Garnock-Jones KP. Vortioxetine: a review of its use in major depressive disorder. CNS drugs. 2014;28(9):855–874. doi: 10.1007/s40263-014-0195-x.
- Huang IC, Chang TS, Chen C, Sung JY. Effect of vortioxetine on cognitive impairment in patients with major depressive disorder: a systematic review and meta-analysis of randomized controlled trials. The international journal of neuropsychopharmacology. 2022;25(12):969–978. doi: 10.1093/ijnp/pyac054.
- Mahableshwarkar AR, Zajecka J, Jacobson W, Chen Y, Keefe RS. A randomized, placebo-controlled, active-reference, double-blind, flexible-dose study of the efficacy of vortioxetine on cognitive function in major depressive disorder. Neuropsychopharmacology: official publication of the American College of Neuropsychopharmacology. 2015;40(8):2025–2037. doi: 10.1038/npp.2015.52.
- Mattingly GW, Ren H, Christensen MC, Katzman MA, Polosan M, Simonsen K, Hammer-Helmich L. Effectiveness of vortioxetine in patients with major depressive disorder in real-world clinical practice: results of the RELIEVE study. Frontiers in psychiatry. 2022;13:824–831. doi: 10.3389/fpsyt.2022.824831.
- McIntyre RS, Lophaven S, Olsen CK. A randomized, double-blind, placebo-controlled study of vortioxetine on cognitive function in depressed adults. The international journal of neuropsychopharmacology. 2014;17(10):1557–1567. doi: 10.1017/S1461145714000546.
- McIntyre RS, Florea I, Tonnoir B, Loft H, Lam RW, Christensen MC. Efficacy of vortioxetine on cognitive functioning in working patients with major depressive disorder. The Journal of clinical psychiatry. 2017;78(1):115–121. doi: 10.4088/JCP.16m10744.
- Polosan M, Rabbani M, Christensen MC, Simonsen K, Ren H. Effectiveness of vortioxetine in patients with major depressive disorder in real-world clinical practice: French cohort results from the global RELIEVE study. Neuropsychiatric disease and treatment. 2022;18:1963–1974. doi: 10.2147/NDT.S374635.
- Smith J, Browning M, Conen S, Smallman R, Buchbjerg J, Larsen KG, Olsen CK, Christensen SR, Dawson GR, Deakin JF, Hawkins P, Morris R, Goodwin G, Harmer CJ. Vortioxetine reduces BOLD signal during performance of the N-back working memory task: a randomised neuroimaging trial in remitted depressed patients and healthy controls. Molecular psychiatry. 2018;23(5):1127–1133. doi: 10.1038/mp.2017.104.
- Wang G, Xiao L, Ren H, Simonsen K, Ma J, Xu X, Guo P, Wang Z, Bai L, Heldbo Reines E, Hammer-Helmich L. Effectiveness and safety of vortioxetine for major depressive disorder in real-world clinical practice: results from the single-arm RELIEVE China study. Neuropsychiatric disease and treatment. 2022;18:1939–1950. doi: 10.2147/NDT.S358253.
- Jensen JB, du Jardin KG, Song D, Budac D, Smagin G, Sanchez C, Pehrson AL. Vortioxetine, but not escitalopram or duloxetine, reverses memory impairment induced by central 5-HT depletion in rats: evidence for direct 5-HT receptor modulation. European neuropsychopharmacology: the journal of the European College of Neuropsychopharmacology. 2014;24(1):148–159. doi: 10.1016/j.euroneuro.2013.10.011.
- McIntyre RS, Xiao HX, Syeda K, Vinberg M, Carvalho AF, Mansur RB, Maruschak, Cha D S. The prevalence, measurement, and treatment of the cognitive dimension/domain in major depressive disorder. CNS drugs. 2015;29(7):577–589. doi: 10.1007/s40263-015-0263-x.
- Harrison JE, Lophaven S, Olsen CK. Which cognitive domains are improved by treatment with vortioxetine? The international journal of neuropsychopharmacology. 2016;19(10):pyw054. doi: 10.1093/ijnp/pyw054.
- Guy W. Clinical global impressions, ECDEU assessment manual for psychopharmacology, revised. Rockville: National Institute of Mental Health; 1976.
- Amri I, Millier A, Toumi M. Minimum clinically important difference in the Calgary Depression Scale for Schizophrenia. Value in health: the journal of the International Society for Pharmacoeconomics and Outcomes Research. 2014;17(7):A766. doi: 10.1016/j.jval.2014.08.288.
- Addington J, Shah H, Liu L, Addington D. Reliability and validity of the Calgary Depression Scale for Schizophrenia (CDSS) in youth at clinical high risk for psychosis. Schizophrenia research. 2014;153(1–3):64–67. doi: 10.1016/j.schres.2013.12.014.
- Assanovich МV. [Psychimetric properties and diagnostic criteria of Negative Symptoms Assessment-5 (NSA-5) in schizophrenia]. V.M. Bekhterev review of psychiatry and medical psychology. 2020:1:83–92. doi: 10.31363/2313-7053-2020-1-83-92. Russian.
- Strober LB, Binder A, Nikelshpur OM, Chiaravalloti N, DeLuca J. The perceived deficits questionnaire: perception, deficit, or distress? International journal of MS care. 2016;18(4): 183–190. doi: 10.7224/1537-2073.2015-028.
- Morosini PL, Magliano L, Brambilla L, Ugolini S, Pioli R. Development, reliability and acceptability of a new version of the DSM-IV Social and Occupational Functioning Assessment Scale (SOFAS) to assess routine social functioning. Acta psychiatrica Scandinavica. 2000;101(4):323–329.
- Opler M, Fu DJ. Comments on the scoring guideline of the personal and social performance scale (PSP). Schizophrenia research. 2014;152(1):304. doi: 10.1016/j.schres.2013.10.039.
- Nafees B, van Hanswijck de Jonge P, Stull D, Pascoe K, Price M, Clarke A, Turkington D. Reliability and validity of the Personal and Social Performance scale in patients with schizophrenia. Schizophrenia research. 2012;140(1–3):71–76. doi: 10.1016/j.schres.2012.06.013.
- Lee SC, Tang SF, Lu WS, Huang SL, Deng NY, Lue WC, Hsieh CL. Minimal detectable change of the Personal and Social Performance scale in individuals with schizophrenia. Psychiatry research. 2016;246:725–729. doi: 10.1016/j.psychres.2016.10.058.
- Berk M, Ng F, Dodd S, Callaly T, Campbell S, Bernardo M, Trauer T. The validity of the CGI severity and improvement scales as measures of clinical effectiveness suitable for routine clinical use. Journal of evaluation in clinical practice. 2008;14(6):979–983. doi: 10.1111/j.1365-2753.2007.00921.x.
- Dunlop BW, Gray J, Rapaport MH. Transdiagnostic clinical global impression scoring for routine clinical settings. Behavioral sciences. 2017;7(3):40. doi: 10.3390/bs7030040.
- Jelastopulu E, Giourou E, Merekoulias G, Mestousi A, Moratis E, Alexopoulos EC. Correlation between the Personal and Social Performance scale (PSP) and the Positive and Negative Syndrome Scale (PANSS) in a Greek sample of patients with schizophrenia. BMC psychiatry. 2014;14:197. doi: 10.1186/1471-244X-14-197.
- Smulevich AB. [Depression in general medicine: a guide for doctors]. Moscow: Medical Information Agency; 2007;256. Russian.
Дополнительные файлы



