Matrix metalloproteinaze inchibitors system and experimental drug-resistant kidney tuberculosis treatment effectiveness
- Authors: Esmedlyaeva D.S.1, Alekseeva N.P.2, Dyakova M.E.1, Muravyev A.N.1, Ariel B.M.1, Vinogradova T.I.1
-
Affiliations:
- Saint Petersburg State Pediatric Medical University
- Saint Petersburg University
- Issue: Vol 14, No 4 (2023)
- Pages: 51-58
- Section: Original studies
- URL: https://medbiosci.ru/pediatr/article/view/232072
- DOI: https://doi.org/10.17816/PED14451-58
- ID: 232072
Cite item
Full Text
Abstract
BACKGROUND: Nephrotuberculosis is characterized by the accumulation of extracellular matrix proteins, the regulation of which is carried out by matrix metal propriets (MMP).
AIM: To study the dynamics of the MMP / inhibitors of the blood in the treatment of experimental nephrotuberculosis using mesenchymal stem cells (MSC).
MATERIALS AND METHODS: Among the 20 rabbits with nephrotuberculosis caused by the Mycobacterium tuberculosis, the group 1 compiled by untrue animals; group 2 — with anti-tuberculosis therapy; group 3 — with anti-tuberculosis therapy and mesenchymal stem cells. The development of nephrotuberculosis was confirmed by the reaction with Diaskintest. In the blood serum, the levels of MMP (MMP-1,-9), their tissue inhibitor-TIMP-1, cystatin C (CC), creatinine (KR), albumin (AL), ceruloplasmin (CP), neutrophilic elastasis (NE) and adenosin deaminase (ADA) were determined. A histological examination of the kidneys was carried out. Used Statistica 7.0.
RESULTS: The presence of specific inflammation in the kidneys by 2.5 weeks in all groups was confirmed by increased levels of ADA, CP and a decrease in the body weight of animals, but was not accompanied by changes in the MMP-1,-9, TIMP-1, CC and KR. By the 21st week after infection in all groups, an increased level of ADA, NE and the KR was preserved, and the concentrations of CP and AL were normalized. In group 1 alone, high levels of MMP-9 and CC, foci of specific inflammation and distinct glomerulus changes were noted. The differences between the groups 3 and 2 were associated with lower values of the area of interstitial fibrosis and collagen (p = 0.03). A discriminant function based on the values of the MMP-1,-9, TIMP-1, NE, KR and CC, characterizing significant differences between three groups has been obtained.
CONCLUSIONS: 1. Nephrotuberculosis in rabbits infected with the Mycobacterium tuberculosis 5582 Beijing genotype, after 2.5 weeks was characterized by an increase in the blood of ADA, NE, CP and a decrease in AL, and the lack of changes in the MMP-1,-9 and TIMP-1, KR and CC. 2. The processing of nephrotuberculosis was accompanied by an increase in the blood of concentrations of hell, NE and KR, MMP-9 and CC, but not MMP-1 and TIMP-1. 3. The therapy of the anti-tuberculosis and mesenchymal stem cells normalized the levels of the MMP-9 and the CC, but not ADA and NE. 4. The complex from MMP-1,-9, TIMP-1, NE, KR and CC, allows you to differentiate groups with different vephrotuberculosis activity.
Full Text
АКТУАЛЬНОСТЬ
Туберкулез почек (нефротуберкулез) — это инфекционно-воспалительное заболевание почек, вызванное Mycobacterium tuberculosis. Туберкулезное поражение мочеполовой системы занимает одну из ведущих позиций в структуре внелегочных локализаций туберкулеза [10].
Отсутствие выраженных изменений и многообразие неспецифических клинических проявлений заболевания затрудняет диагностику нефротуберкулеза. Подтверждение диагноза проводится по высеву в моче M. tuberculosis (положительно в 30–40 % случаев), результатам лучевой диагностики, провокационным пробам и пункционной биопсии [1, 4]. В большинстве случаев уровень креатинина (КР), как правило, не повышен, что делает актуальным поиск иных ранних лабораторных белковых маркеров повреждения почек при нефротуберкулезе [8].
Туберкулез почек характеризуется тубулоинтерстициальным фиброзом и гломерулосклерозом, обусловленными накоплением белков внеклеточного матрикса (ВКМ) [9]. Основными физиологическими регуляторами такого накопления ВКМ становятся матриксные металлопротеиназы (ММП). Они принадлежат к большому семейству протеолитических ферментов, разрушающих различные компоненты ВКМ, а также ряд субстратов, не входящих в состав ВКМ, включая сигнальные молекулы и молекулы клеточной адгезии. Экспрессия и активность ММП регулируются на нескольких уровнях, включая транскрипцию генов, посттранскрипционную модификацию и взаимодействие с циркулирующими ингибиторами (тканевые ингибиторы металлопротеиназ, ТИМП) [12].
Разнообразные почечные заболевания воспалительного генеза, при которых поражаются клубочки, связаны с глубоким дисбалансом оборота ВКМ, когда сочетаются два противоположно направленных патологических процесса: с одной стороны, это новообразование матрикса, характерное для рубцевания, с другой же — его деградация [2].
Плазменные концентрации MMП-2, MMП-9 и TИМП-1 значимо изменяются у пациентов с первичным гломерулонефритом, мембранозным гломерулонефритом, нефротическим заболеванием с минимальными изменениями и сегментарным гломерулярным склерозом [3].
В обмене белков ВКМ участвует и цистатин С (ЦC). Как эндогенный ингибитор цистеиновых протеиназ он играет важную роль в контроле их активности, а также в противовирусной и антимикробной активности. Кроме того, его рассматривают как ранний высоко чувствительный и специфичный маркер функции почек [5]. Его концентрация, в отличие от креатинина, почти не зависит от мышечной массы, возраста и пола. С постоянной скоростью он синтезируется всеми ядросодержащими клетками организма и полностью метаболизируется в почках. Литературные данные о характере изменений ММП и ЦС при нефротуберкулезе отсутствуют.
В настоящее время активно изучается возможность использования мезенхимных стволовых клеток (МСК) в качестве клеточной терапии при различных заболеваниях, включая инфекционные. Иммуномодулирующие свойства и способность замещать или восстанавливать поврежденные ткани делают МСК идеальными кандидатами для лечения как легочного, так и внелегочного туберкулеза [11].
Цель исследования — изучить динамику показателей системы матриксные металлопротеиназы / ингибиторы периферической крови в лечении экспериментального нефротуберкулеза, включающем применение МСК.
МАТЕРИАЛЫ И МЕТОДЫ
Эксперимент выполняли на 20 кроликах-самцах породы шиншилла массой 3543,45 ± 264,47 г (получены из ФГУП «Питомник лабораторных животных “Рапполово”» ФГБУ «Национальный центр “Курчатовский институт”»). Животных содержали в условиях сертифицированного вивария на базе ФГБУ «СПб НИИФ» Минздрава России в соответствии с Европейской конвенцией по защите позвоночных животных, используемых для экспериментальных и иных научных целей (Страсбург, 1986). Моделирование нефротуберкулеза осуществляли по ранее разработанной методике * с использованием суспензии клинического штамма Mycobacterium tuberculosis 5582 генотипа Beijing со множественной лекарственной устойчивостью (из коллекции ФГБУ «СПб НИИФ» Минздрава России) второй генерации, которую вводили под ультразвуковым контролем в корковый слой паренхимы нижнего полюса левой почки в дозе 106 КОЕ/0,2 мл 0,9 % раствора натрия хлорида. Состоятельность модели нефротуберкулеза подтверждали с помощью реакции гиперчувствительности замедленного типа с рекомбинантным туберкулезным аллергеном Диаскинтест® (Генериум, Москва, Россия).
В эксперименте участвовали три группы животных: группа 1 — зараженные нелеченные; группа 2 — зараженные животные, получавшие в течение 18,5 нед. перорально адекватную противотуберкулезную терапию, включающую этамбутол [в дозе 20 мг/(кг · сут)], бедаквилин (в дозе 14 мг/кг — 10 дней, с 11-го дня через день в дозе 7 мг/кг), тиоуреидоиминометилпиридиния перхлорат (в дозе 12 мг/кг), линезолид (в дозе 10 мг/кг); кроликам 3-й группы через 14,5 нед. после начала противотуберкулезной терапии однократно вводили в ушную вену суспензию аутологичных МСК (5 × 107 в 2 мл фосфатного буфера). МСК костного мозга кроликов получали методом аспирации. Выделение и культивирование аутологичных МСК выполняли по стандартной методике [7].
Забор крови для биохимической оценки белковых маркеров проводили трижды: исходно, через 2,5 нед. после заражения и по окончании терапии (21 нед.). В сыворотке крови методом твердофазного иммуноферментного анализа определяли концентрации показателей системы ММП/ингибиторы (ММП-1, -9) и их тканевого ингибитора-1 (ТИМП-1), ЦС — используя наборы реагентов «Cloud-CloneCorp.» согласно протоколу производителя. Оценка воспалительного ответа также включала анализ концентрации альбумина (АЛ) и креатинина (КР) на анализаторе фирмы Beckman Coulter, концентрацию церулоплазмина (ЦП) — методом Раввина, активность аденозиндезаминазы (АДА) [6] и активность нейтрофильной эластазы (НЭ) — по гидролизу синтетического субстрата пара- нитрофенил-N-трет-бутилоксикарбонил-L-аланина [13].
Для гистологического исследования почки фиксировали в 10 % нейтральном формалине, заливали в парафин, срезы окрашивали гематоксилином и эозином. Выявление соединительной ткани и степень ее зрелости оценивали на препаратах, окрашенных трихромом по Массону, детекцию кислотоустойчивых микобактерий проводили окраской по Цилю – Нельсену, обнаружение железа — в реакции Перлса.
Для статистического анализа использовали пакет программ Statistica 7.0 (StatSoftInc., США). Данные представлены в виде медианы (Ме), первого и третьего квартилей [Q1; Q3]. Различия в динамике показателей в течении нефротуберкулеза оценивали в статистической модели дисперсионного анализа повторных наблюдений (ANOVA RepeatedMeasures). Оценивали также дифференциальные эффекты факторов группы (способы лечения), факторов времени (три точки: начало заболевания, 2,5 и 21 нед.) и взаимодействия этих факторов. Достоверность различий статистических показателей определяли с использованием критерия Фишера. Для определения интегрального показателя (ДФ) различия между группами (скрытая переменная, которая была получена через исследуемые переменные) применялась линейная модель дискриминантного анализа. Проведение исследования одобрено Независимым этическим комитетом ФГБУ «СПб НИИФ» Минздрава России (протокол заседания № 80.3 от 23.06.2021).
РЕЗУЛЬТАТЫ И ОБСУЖДЕНИЕ
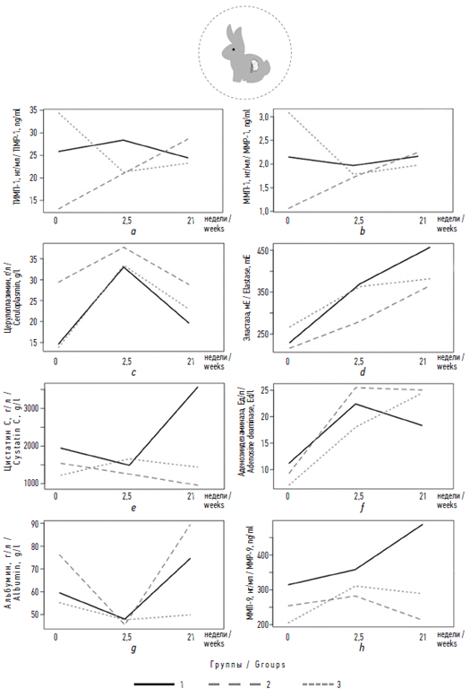
Согласно результатам дисперсионного анализа повторных наблюдений можно выделить несколько вариантов изменений показателей системы ММП/ингибиторы и маркеров воспалительного ответа в ходе развития нефротуберкулеза.
Первый вариант изменений установлен для таких показателей как ММП-1 и ТИМП-1 (рис. 1, а, b). Концентрации этих белковых маркеров значимо не различались между группами (р = 0,46, р = 0,52) и не менялись в ходе развития процесса (р = 0,76, р = 0,89) соответственно. Эффекта взаимодействия фактора группы и фактора времени не наблюдалось [0, 32; 0, 13].
Рисунок. Уровни показателей воспалительного ответа на сроках от момента инокуляции инфекта в левую почку кролика: исходно (0), через 2,5 и 21 нед.
Figure. Levels of inflammatory response indicators at the time from the moment of inoculation of the infection into the left kidney of the rabbit: at baseline (0), after 2.5 and 21 weeks
Второй вариант изменений был установлен для таких маркеров воспалительного ответа как АЛ, АДА, ЦП и НЭ. Их уровни значимо не различались между группами (р = 0,33; 0,33; 0,29; 0,13 соответственно), но менялись в ходе развития процесса (рис. 1, c, d, e, f). Уровень АЛ через 2,5 нед. исследования значимо понизился во всех трех группах (значимость различий по фактору времени составила р = 0,003), тогда как различий по фактору группы (р = 0,26) и эффекту их взаимодействия (р = 0,12) установлено не было. По окончании эксперимента в группе 1 его уровень вернулся к исходным значениям, в группе 2 даже превысил исходный уровень, тогда как в группе с МСК остался сниженным. В целом группу МСК отличали минимальные колебания концентрации показателя. Уровни АДА (р = 0,003), ЦП (р = 0,003) и НЭ (р = 0,003) значимо повышались через 2,5 нед, от начала эксперимента и не снижались во всех группах до его окончания. Эффекта взаимодействия фактора группы и фактора времени для всех трех показателей не наблюдалось (р = 0,52; 0,62; 0,84 соответственно).
Учитывая способность АДА — ключевого фермента пуринового метаболизма — вносить свой вклад в развитие и поддержание иммунной системы, НЭ — играть роль в дегенеративных и воспалительных заболеваниях, и ЦП — участвовать в острофазовых реакциях, полученные результаты можно рассматривать как сохранение неспецифического компонента воспаления к окончанию эксперимента во всех группах. Изменения КР были однонаправленны. Отмечался его рост во всех группах (р = 0,003).
Третий вариант изменений был выявлен при исследовании ММП-9 и ЦС. Концентрации этих белковых маркеров значимо различались между группами и сроками исследования. Через 2,5 нед. отмечалась лишь тенденция к повышению концентраций ММП-9 и ЦС во всех группах (рис. 1, g, h). Но к окончанию эксперимента величины показателей повысились (р < 0,05) у зараженных нелеченных кроликов, тогда как в группах с лечением они снизились почти до исходного уровня. Наиболее высокие концентрации протеиназы и ингибитора катепсина отмечались у зараженных нелеченных животных (р = 0,04). Различий обоих маркеров по фактору времени (р = 0,19) и эффекта взаимодействия фактора группы и времени установлено не было (р = 0,18). Во всех трех группах животных отмечался прирост массы тела в ходе эксперимента (р = 0,003), но его величина в группе 1 была минимальной (р = 0,02).
Суммируя результаты биохимической оценки показателей системы ММП/ингибиторы, маркеров функции почек и воспалительной реакции через 2,5 нед. после инокуляции M. tuberculosis, можно отметить следующее.
Наблюдалось значимое снижение концентрации АЛ, повышение ЦП, активности НЭ и АДА на фоне снижения массы тела животных (р = 0,03). К этому сроку были получены данные о положительной реакции у всех исследуемых животных на внутрикожное введение Диаскинтеста® (эритема размером 27,73 ± 0,54 мм), что в сочетании с биохимическими показателями свидетельствует о развитии специфического воспалительного процесса и адекватности данной модели нефротуберкулеза. В то же время изменений концентрации маркеров функции почек (ЦС и КР), а также показателей системы ММП/ингибиторы (ММП-1, -9 и ТИМП-1) к этому сроку еще не было.
На 21-й неделе от начала эксперимента во всех трех группах воспалительный процесс характеризовался сохранением высокой активности таких маркеров, как АДА и НЭ, тогда как концентрации ЦП и АЛ вернулись к исходным значениям. Одномерный статистический анализ выявил значимые различия между группой контроля заражения (без лечения) и группами с лечением. Они были связаны с уровнями ММП-9 и ЦС, но не КР. Величины ММП-1 и ТИМП-1 не отличались между группами и от референтных значений. Таким образом, значимых различий между 2-й и 3-й группой ни по биохимическим маркерам воспалительного ответа, ни по показателям системы ММП/ингибиторы установлено не было, что послужило в дальнейшем, необходимостью поиска интегральной переменной в виде дискриминантной функции (ДФ), по которой можно было бы охарактеризовать значимые различия между всеми тремя группами. Следует обратить внимание, что в состав ДФ вошли не только показатели системы ММП/ингибиторы, но маркеры функции почек и воспалительного ответа.
ДФ = НЭ × 183285,57 + ММП-1 × 22848,45 – ММП-9 × × 44989,18 + ТИМП-1 × 197091,42 – КР × 527454,12 + + ЦС × 20227,34.
ДФ позволила отделить группу 1 от групп 2 (р = 0,012) и 3 (р = 0,0005), а также 2-ю группу от 3-й (р = 0,04).
Животные с нефротуберкулезом без лечения имели самые высокие показатели ДФ, что соответствует росту концентрации ЦС на фоне сохранения деструктивных изменений, судя по уровням НЭ, ММП-1, -9 и ингибиторной защиты в виде ТИМП-1. Сопоставление биохимических данных с морфологическими характеристиками структурного строения паренхимы и стромы почек показало их согласованность. В самом деле, по окончании эксперимента (21-я неделя) только в 1-й группе сохранялись очаги специфического воспаления с кислотоустойчивыми микобактериями, локализованные преимущественно в мозговом веществе. В некоторых случаях очаги выявлялись в почечных лоханках, полость которых была расширена, также отмечались отчетливо выраженные изменения клубочков. В группах лечения были выявлены только косвенные признаки хронического воспалительного процесса в виде неспецифической интерстициальной лимфоцитарной инфильтрации.
В группах лечения явных признаков специфического поражения в виде гранулем, очагов некроза и инфильтратов не обнаружено. Выявлены только косвенные признаки хронического воспалительного процесса в виде неспецифической интерстициальной лимфоцитарной инфильтрации различной выраженности.
В эти же сроки у кроликов группы 3 выявлены более низкие значения площади интерстициального фиброза, площади коллагена в коре (р = 0,04) по сравнению с данными 2-й группы, что, по-видимому, связано с наличием фибропластических или склеротических интерстициальных изменений. Не совсем объяснимо наличие большего количества клеток в клубочках нефронов в 3-й группе по сравнению с группами 1 и 2 (р = 0,02). Возможно, это связано с лимфоцитарной инфильтрацией.
ВЫВОДЫ
- Воспалительный ответ у кроликов, зараженных штаммом M. tuberculosis 5582 генотипа Beijing с МЛУ, через 2,5 нед. характеризовался повышением в крови аденозиндезаминазы, нейтрофильной эластазы, церулоплазмина и снижением альбумина и отсутствием изменений концентраций показателей системы матриксные металлопротеиназы / ингибиторы (ММП-1, -9 и ТИМП-1) и маркеров функции почек (креатинана, цистатина С).
- Прогрессирование нефротуберкулеза сопровождалось увеличением в крови концентраций аденозиндезаминазы, нейтрофильной эластазы и креатинина, ММП-9 и цистатина С, но не ММП-1 и ТИМП-1.
- Терапия ПТП и с МСК нормализовала уровни ММП-9 и цистатина С, но не аденозиндезаминазы и нейтрофильной эластазы.
- Комплекс белковых маркеров крови, таких как ММП-1, -9, ТИМП-1, нейтрофильная эластаза, креатинин и цистатин С, позволяет дифференцировать группы с различной активностью нефротуберкулеза.
ДОПОЛНИТЕЛЬНАЯ ИНФОРМАЦИЯ
Вклад авторов. Все авторы внесли существенный вклад в разработку концепции, проведение исследования и подготовку статьи, прочли и одобрили финальную версию перед публикацией.
Источник финансирования. Исследование выполнено в рамках Государственного задания Министерства здравоохранения Российской Федерации «Разработка и применение биологических и математических моделей для изучения туберкулеза различных локализаций» (рeг. № НИОКТР 121112600145-2).
Конфликт интересов. Авторы декларируют отсутствие явных и потенциальных конфликтов интересов, связанных с публикацией настоящей статьи.
ADDITIONAL INFORMATION
Authors’ contribution. Thereby, all authors made a substantial contribution to the conception of the study, acquisition, analysis, interpretation of data for the work, drafting and revising the article, final approval of the version to be published and agree to be accountable for all aspects of the study.
Funding source. The study was performed within the framework State task of the Ministry of Health of the Russian Federation “Development and use of biological and mathematical models for studying tuberculosis of various localizations” (No. NOKTR 121112600145-2)
Competing interests. The authors declare that they have no competing interests.
About the authors
Dilyara S. Esmedlyaeva
Saint Petersburg State Pediatric Medical University
Author for correspondence.
Email: diljara-e@yandex.ru
ORCID iD: 0000-0002-9841-0061
PhD, Cand. Sci. (Biol.), Senior Research Associate, Research Laboratory of Microbiology, Biochemistry and Immunogenetics
Russian Federation, Saint PetersburgNina P. Alekseeva
Saint Petersburg University
Email: ninaalexeyeva@mail.ru
ORCID iD: 0000-0001-8837-6739
PhD, Cand. Sci. (Phys. and Math.), Assistant Professor of Scientific Technical Information Department
Russian Federation, Saint PetersburgMarina E. Dyakova
Saint Petersburg State Pediatric Medical University
Email: marinadyakova@yandex.ru
ORCID iD: 0000-0002-7810-880X
Dr. Sci. (Biol.), Senior Research Associate, Rresearch Laboratory of Microbiology, Biochemistry and Immunogenetics
Russian Federation, Saint PetersburgAlexander N. Muravyev
Saint Petersburg State Pediatric Medical University
Email: urolog5@gmail.com
ORCID iD: 0000-0002-6974-5305
MD, PhD, Cand. Sci. (Med.), Scientific Secretary
Russian Federation, Saint PetersburgBoris M. Ariel
Saint Petersburg State Pediatric Medical University
Email: arielboris@rambler.ru
ORCID iD: 0000-0002-7243-8621
MD, PhD, Dr. Sci. (Med.), Professor, Scientific Consultant
Russian Federation, Saint PetersburgTatyana I. Vinogradova
Saint Petersburg State Pediatric Medical University
Email: vinogradova@spbniif.ru
ORCID iD: 0000-0002-5234-349X
MD, PhD, Dr. Sci. (Med.), Professor, Head of the Research Laboratory of Experimental Medicine
Russian Federation, Saint PetersburgReferences
- Mushkin AYu, Belilovskii EM, Pershin AA. Vnelegochnyi tuberkulez v Rossiiskoi Federatsii: sopostavlenie nekotorykh ofitsial’nykh dannykh i rezul’tatov anketnogo skrininga. Medical Alliance. 2013;(1):80–85. (In Russ.)
- Akiyama K, Shikata K, Sugimoto H, et al. Changes in serum concentrations of matrix metalloproteinases, tissue inhibitors of metalloproteinases and type IV collagen in patients with various types of glomerulonephritis. Res Commun Mol Pathol Pharmacol. 1997;95(2):115–128.
- Bauvois B, Mothu N, Nguyen J, et al. Specific changes in plasma concentrations of matrix metalloproteinase-2 and -9, TIMP-1 and TGF-beta1 in patients with distinct types of primary glomerulonephritis. Nephrol Dial Transplant. 2007;22(4):1115–1122. doi: 10.1093/ndt/gfl743
- Berta M, Sturm G, Juri L, et al. Bacteriological diagnosis of renal tuberculosis: an experience at the regional tuberculosis laboratory in Córdoba Province, Argentina. Rev Argent Microbiol. 2011;43(3): 191–194. doi: 10.1590/S0325-75412011000300006
- Ferguson TW, Komenda P, Tangri N. Cystatin C as a biomarker for estimating glomerular filtration rate. Curr Opin Nephrol Hypertens. 2015;24(3):295–300. doi: 10.1097/mnh.0000000000000115
- Giusti G. Adenosine deaminase. Bergmeyer H., editor. Methods of enzymatic analysis. Vol. 2. New York: Academic Press, 1974. P. 1092–1099. doi: 10.1016/B978-0-12-091302-2.X5001-4
- Gudleviciene Z, Kundrotas G, Liudkeviciene R, et al. Quick and effective method of bone marrow mesenchymal stem cell extraction. Open Med (Wars). 2014;10(1):44–49. doi: 10.1515/med-2015-0008
- MacLean E, Broger T, Yerlikaya S, et al. A systematic review of biomarkers to detect active tuberculosis. Nat Microbiol. 2019;4(5):748–758. doi: 10.1038/s41564-019-0380-2
- Marti HP. Role of matrix metalloproteinases in the progression of renal lesions. Presse Med. 2000;29(14):811–817.
- Muneer A, Macrae B, Krishnamoorthy S, Zumla A. Urogenital tuberculosis — epidemiology, pathogenesis and clinical features. Nat Rev Urol. 2019;16(10):573–598. doi: 10.1038/s41585-019-0228-9
- Murav’ev AN, Vinogradova TI, Remezova AN, et al. The use of mesen-chymal stem cells in the complex treatment of kidney tuberculosis (experimental study). Biomedicines. 2022;10(12):3062. doi: 10.3390/biomedicines10123062
- Nissinen L, Kähäri V-M. Matrix metalloproteinases in inflammation. Biochim Biophys Acta. 2014;1840(8):2571–2580. doi: 10.1016/j.bbagen.2014.03.007
- Visser L, Blout ER. The use of p-nitrophenyl N-tert-butyloxycarbonyl-L-alaninate as substrate for elastase. Biochim Biophys Acta. 1972;268(1):257–260. doi: 10.1016/0005-2744(72)90223-9
Supplementary files


