The Effectiveness of Detecting Thematic Relations of Objects in 3–6 Years Old Children
- Authors: Kurgansky A.V.1,2, Zakharova M.N.1,3,4, Kayumov D.D.1, Antonova S.Y.4
-
Affiliations:
- Institute of Developmental Physiology of RAE
- The Institute of Social Sciences, RANEPA
- Multidisciplinary Psychological Center “Territory of happiness”
- Institute of Developmental Neuropsychology
- Issue: Vol 49, No 4 (2023)
- Pages: 5-15
- Section: Articles
- URL: https://medbiosci.ru/0131-1646/article/view/139831
- DOI: https://doi.org/10.31857/S0131164623700261
- EDN: https://elibrary.ru/GAMCGE
- ID: 139831
Cite item
Full Text
Abstract
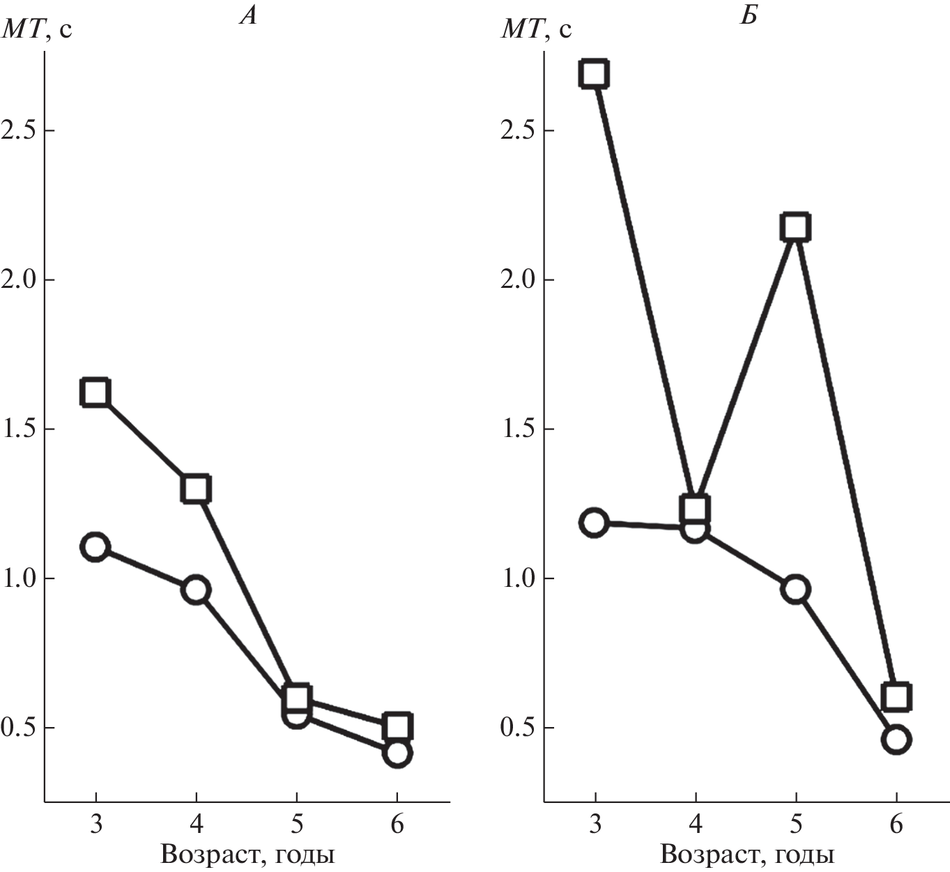
In this work, the ability of preschoolers aged 3–6 to detect and understand the thematic connections of objects was assessed. Children (95 children; 53 girls and 42 boys) of four age groups of 3, 4, 5 and 6 years old (respectively, 17, 33, 18 and 27 children) solved two tasks aimed at the detection of thematic relations of objects within the framework of the standard “yes–no” procedure. In the first task, it was required to indicate whether the image of the shown object was relevant to a given context (the “object-context” task, O–C), and in the second – whether two objects were related thematically (the “object–object” task, O–O). A touch screen computer was used to present images and record motor responses. For each task, we measured the accuracy scores (the proportion of correct responses) and the delay in the motor response “yes” or “no” relative to the moment the image was presented (reaction time). Two components of the reaction time were analyzed separately: the duration of the latent phase and the duration of the overt movement towards the response button. With age, the accuracy of solving both tasks increased, and the time required to discover the thematic connection (reaction time) decreased. At the same time, the accuracy scores were lower, and the detection time was longer in the O–O task compared to the O–C. The gender of the child did not affect the accuracy value, and affected only the duration of the motor (but not the latent) phase of the motor response, and only in the O–O task. The data obtained show that (i) the O–O task is more difficult than the O–C task, and that this may be due to the necessity to activate the thematic links of two objects in the O–O task instead of just one, as in the O–C task, and (ii) the process of activation of thematic links probably does not end in the latent phase of the motor response and continues during its movement phase. The question of the extent to which the success and duration of the process of detecting the thematic links of objects can limit the success of cognitive planning in preschoolers aged 3–6 is also discussed.
About the authors
A. V. Kurgansky
Institute of Developmental Physiology of RAE; The Institute of Social Sciences, RANEPA
Author for correspondence.
Email: akurg@yandex.ru
Russia, Moscow; Russia, Moscow
M. N. Zakharova
Institute of Developmental Physiology of RAE; Multidisciplinary Psychological Center “Territory of happiness”; Institute of Developmental Neuropsychology
Email: akurg@yandex.ru
Russia, Moscow; Russia, Moscow; Russia, Moscow
D. D. Kayumov
Institute of Developmental Physiology of RAE
Email: akurg@yandex.ru
Russia, Moscow
S. Yu. Antonova
Institute of Developmental Neuropsychology
Email: akurg@yandex.ru
Russia, Moscow
References
- Mirman D., Landrigan J.F., Britt A.E. Taxonomic and thematic semantic systems // Psychol. Bull. 2017. V. 143. № 5. P. 499.
- Miller G.A., Galanter E., Pribram K.A. Plans and the Structure of Behavior. N.Y.: Holt, Rinehart and Winston, 1960. 226 p.
- Owen A.M. Cognitive planning in humans: neuropsychological, neuroanatomical and neuropharmacological perspectives // Prog. Neurobiol. 1997. V. 53. № 4. P. 431.
- Herd S.A., Krueger K.A., Kriete T.E. et al. Strategic cognitive sequencing: a computational cognitive neuroscience approach // Comput. Intell. Neurosci. 2013. V. 2013. P. 149329.
- Best J.R., Miller P.H. A developmental perspective on executive function // Child. Dev. 2010. V. 81. № 6. P. 1641.
- McCormack T., Atance C. Planning in young children: A review and synthesis // Dev. Rev. 2011. V. 31. № 1. P. 1.
- Anderson P.J., Reidy N. Assessing executive function in preschoolers // Neuropsychol. Rev. 2012. V. 22. № 4. P. 345.
- Diamond A. Executive functions // Annu. Rev. Psychol. 2013. V. 64. P. 135.
- Курганский А.В. Оценка управляющих функций у детей 3–6 лет: состояние, проблемы, перспективы // Журн. высш. нервн. деят. им. И.П. Павлова. 2021. Т. 71. № 4. С. 468.
- Pezzulo G., Cisek P. Navigating the affordance landscape: Feedback control as a process model of behavior and cognition // Trends Cogn. Sci. 2016. V. 20. № 6. P. 414.
- Osiurak F., Rossetti Y., Badets A. What is an affordance? 40 years later // Neurosci. Biobehav. Rev. 2017. V. 77. P. 403.
- Collette C., Bonnotte I., Jacquemont C. et al. The Development of Object Function and Manipulation Knowledge: Evidence from a Semantic Priming Study // Front. Psychol. 2016. V. 7. P. 1239.
- Estes Z., Golonka S., Jones L.L. Thematic thinking: The apprehension and consequences of thematic relations / Psychology of Learning and Motivation. Elsevier, 2011. V. 54. P. 249.
- Rissman L., Majid A. Thematic roles: Core knowledge or linguistic construct? // Psychon. Bull. Rev. 2019. V. 26. № 6. P. 1850.
- Perraudin S., Mounoud P. Contribution of the priming paradigm to the understanding of the conceptual developmental shift from 5 to 9 years of age // Dev. Sci. 2009. V. 12. № 6. P. 956.
- Landrigan J.F., Mirman D. The cost of switching between taxonomic and thematic semantics // Mem. Cognit. 2018. V. 46. № 2. P. 191.
- Kalénine S., Peyrin C., Pichat C. et al. The sensory-motor specificity of taxonomic and thematic conceptual relations: a behavioral and fMRI study // Neuroimage. 2009. V. 44. № 3. P. 1152.
- Schwartz M.F., Kimberg D.Y., Walker G.M. et al. Neuroanatomical dissociation for taxonomic and thematic knowledge in the human brain // Proc. Natl. Acad. Sci. U.S.A. 2011. V. 108. № 20. P. 8520.
- Lewis G.A., Poeppel D., Murphy G.L. The neural bases of taxonomic and thematic conceptual relations: an MEG study // Neuropsychologia. 2015. V. 68. P. 176.
- Geng J., Schnur T.T. Role of features and categories in the organization of object knowledge: Evidence from adaptation fMRI // Cortex. 2016. V. 78. P. 174.
- Xu Y., Wang X., Wang X. et al. Doctor, Teacher, and Stethoscope: Neural Representation of Different Types of Semantic Relations // J. Neurosci. 2018. V. 38. № 13. P. 3303.
- Thye M., Geller J., Szaflarski J.P., Mirman D. Intracranial EEG evidence of functional specialization for taxonomic and thematic relations // Cortex. 2021. V. 140. P. 40.
- Tsagkaridis K., Watson C.E., Jax S.A., Buxbaum L.J. The role of action representations in thematic object relations // Front. Hum. Neurosci. 2014. V. 8. P. 140.
- Kahrs B.A., Lockman J.J. Tool Using // Child. Dev. Perspect. 2014. V. 8. № 4. P. 231.
- Alessandroni N., Rodríguez C. The development of categorisation and conceptual thinking in early childhood: methods and limitations // Psicol. Reflex. Crit. 2020. V. 33. № 1. P. 17.
- Zuniga-Montanez C., Kita S., Aussems S., Krott A. Beyond the shape of things: Infants can be taught to generalize nouns by objects' functions // Psychol. Sci. 2021. V. 32. № 7. P. 1073.
- Fenson L., Vella D., Kennedy M. Children’s knowledge of thematic and taxonomic relations at two years of age // Child. Dev. 1989. V. 60. № 4. P. 911.
- Shylaja K.R., Manjula R. Assessment of thematic relations in 2–4 years normally developing children // J. Commun. Disord. Deaf Stud. Hearing Aids. 2016. V. 4. P. 1.
- Waxman S.R., Namy L.L. Challenging the notion of a thematic preference in young children // Dev. Psychol. 1997. V. 33. № 3. P. 555.
- Blaye A., Bonthoux F. Thematic and taxonomic relations in preschoolers: The development of flexibility in categorization choices // Br. J. Dev. Psychol. 2001. V. 19. P. 395.
- Barrouillet P., De Paepe A., Langerock N. Time causes forgetting from working memory // Psychon. Bull. Rev. 2012. V. 19. № 1. P. 87.
- Kiselev S., Espy K.A., Sheffield T. Age-related differences in reaction time task performance in young children // J. Exp. Child. Psychol. 2009. V. 102. № 2. P. 150.
- Bourgeois F., Hay L. Information processing and movement optimization during development: kinematics of cyclical pointing in 5- to 11-year-old children // J. Mot. Behav. 2003. V. 35. № 2. P. 183.
- Hiraga C.Y., Garry M.I., Carson R.G., Summers J.J. Dual-task interference: attentional and neurophysiological influences // Behav. Brain Res. 2009. V. 205. № 1. P. 10.
- Janczyk M., Kunde W. Dual tasking from a goal perspective // Psychol. Rev. 2020. V. 127. № 6. P. 1079.
- Löhr-Limpens M., Göhringer F., Schenk T. Dual-task interference in action programming and action planning – Evidence from the end-state comfort effect // Acta Psychol. (Amst). 2022. V. 228. P. 103637.
- Schach S., Lindner A., Braun D.A. Bounded rational decision-making models suggest capacity-limited concurrent motor planning in human posterior parietal and frontal cortex // PLoS Comput. Biol. 2022. V. 18. № 10. P. e1010585.
- Venetsanou F., Kambas A. Motor proficiency in young children: A closer look at potential gender differences // SAGE Open. 2016. V. 6. P. 1.
- Navarro-Patón R., Lago-Ballesteros J., Arufe-Giráldez V. et al. Gender differences on motor competence in 5-year-old preschool children regarding relative age // Int. J. Environ. Res. Public. Health. 2021. V. 18. № 6. P. 3143.
- De Bellis M.D., Keshavan M.S., Beers S.R. et al. Sex differences in brain maturation during childhood and adolescence // Cereb. Cortex. 2001. V. 11. № 6. P. 552.
- Koolschijn P.C., Crone E.A. Sex differences and structural brain maturation from childhood to early adulthood // Dev. Cogn. Neurosci. 2013. V. 5. P. 106.
- Kaczkurkin A.N., Raznahan A., Satterthwaite T.D. Sex differences in the developing brain: insights from multimodal neuroimaging // Neuropsychopharmacology. 2019. V. 44. № 1. P. 71.
- Lee D., Son T. Structural connectivity differs between males and females in the brain object manipulation network // PLoS One. 2021. V. 16. № 6. P. e0253273.
- Shinohara I., Moriguchi Y. Are there sex differences in the development of prefrontal function during early childhood? // Dev. Psychobiol. 2021. V. 63. № 4. P. 641.
Supplementary files





