Temperature dependences of the magnetic anisotropy constants of single-crystal inclusions MnSb in an InSb matrix
- Authors: Dmitriev A.I.1, Kochura A.V.2,3, Kuzmenko A.P.2, Htet Aung Z.2, Rodionov V.V.2, Marenkin S.F.4,5, Aronzon B.A.3
-
Affiliations:
- Federal Research Center for Problems of Chemical Physics and Medicinal Chemistry of the Russian Academy of Sciences
- Southwest State University
- Lebedev Physical Institute of the Russian Academy of Sciences
- Kurnakov Institute of General and Inorganic Chemistry of the Russian Academy of Sciences
- MISIS National University of Science and Technology
- Issue: Vol 88, No 2 (2024)
- Pages: 227-230
- Section: New Materials and Technologies for Security Systems
- URL: https://medbiosci.ru/0367-6765/article/view/266109
- DOI: https://doi.org/10.31857/S0367676524020101
- EDN: https://elibrary.ru/RSGJUY
- ID: 266109
Cite item
Full Text
Abstract
The contributions of the first order K1 and second order K2 magnetic anisotropy constants to the effective constant are separated. Their competition determines the type of magnetic anisotropy «easy plane». Extrapolation of the dependences K1(T) and K2(T) to the region of high temperatures made it possible to predict the temperature TSR = 570 K, which corresponds to the spin-reorientation transition, at which the easy-axis magnetic anisotropy is formed.
Full Text
ВВЕДЕНИЕ
Антимонид марганца MnSb – ферромагнитный полуметалл, который обладает сильной магнитокристаллической анизотропией ~ 106 эрг/см3 с сопоставимыми вкладами констант анизотропии первого K1 и второго K2 порядков в эффективную константу K = K1 + 2K2. Конкуренция вкладов K1 и K2 в эффективную константу и их температурные вариации открывает широкие возможности тонкой подстройки анизотропии магнитных свойств, что делает пригодным MnSb для использования в устройствах магнитной записи [1]. Перспективность использования MnSb в устройствах магнитного охлаждения [2] также стимулирует более подробное исследование его магнитной анизотропии. В зависимости от знаков K1 и K2 и их абсолютных величин реализуются следующие типы магнитной анизотропии: 1) K1 > 0 – анизотропия типа «легкая ось»; 2) K1 < 0, K1 + 2K2 < 0 – анизотропия типа «легкая плоскость»; 3) K1 < 0, K1 + 2K2 > 0 – анизотропия типа «конус легких осей». Магнитная анизотропия массивных и тонкопленочных образцов MnSb в зависимости от условий приготовления образцов, их состава и структуры изучена в работах [3–6]. Было установлено, что знаки констант K1 и K2 и перераспределение их вкладов в эффективную константу приводит к спин-переориентационным переходам (изменениям типа магнитной анизотропии), вызванным изменением стехиометрии [3], температуры [4, 5], толщины для тонкопленочных образцов [6]. При изменении стехиометрии изменение магнитной анизотропии и температуры спин-переориентационного перехода TSR обусловлено изменением постоянной решетки и величины взаимодействия между соседними атомами Mn [6, 7].
В настоящей работе для исследования магнитной анизотропии в MnSb использовалась направленно закристаллизованная эвтектическая композиция InSb-MnSb со строго ориентированными игольчатыми включениями MnSb [8]. В работе [9] был выполнен анализ полевых зависимостей намагниченности M(H) в подобных образцах. По кривым M(H) были определены величина поля магнитной анизотропии HA и направление оси легкого намагничивания. Было установлено, что величина эффективной константы магниной анизотропии K прямо пропорциональна намагниченности насыщения (MS)n с показателем степени n = 3.2 ± 0.4 в соответствии с теориями, развитыми в работах Акулова, Зинера и Калленов. Значение n соответствует случаю, когда в величину K вносят сопоставимый вклад обе константы первого K1 и второго K2 порядков, что подтверждается результатами исследования ферромагнитного резонанса [9].
Настоящая работа посвящена следующему этапу исследования магнитной анизотропии в MnSb – разделению вкладов K1 и K2 в эффективную константу магнитной анизотропии, определению температурных зависимостей K1(T) и K2(T) и типа магнитной анизотропии.
МЕТОДИКА ЭКСПЕРИМЕНТА
Эвтектическую композицию InSb-MnSb выращивали методом Бриджмена, с параметрами процесса синтеза, описанными в работе [8]. Предполагалось, что наличие внешней матрицы InSb будет препятствовать образованию структурных дефектов в игольчатых включениях MnSb, которые ухудшают кристалличность этого соединения при использовании простых расплавных методов синтеза [10–12]. В качестве шихты использовали порошок, получаемый из предварительно сплавленной исходной смеси монокристаллического высокочистого InSb (93.5 мол.%) и MnSb (6.5 мол.%). Образцы имели характерные размеры 1 × 1 × 0.3 мм3.
Методом рентгенофазового анализа (GBC EMMA, Сu Kα) подтверждено наличие двух фаз: InSb и MnSb с ориентированием вдоль оси роста по направлениям [110] и [001], соответственно, и установлено, что эвтектическая композиция состоит из монокристаллических матрицы InSb и включений MnSb с общим интерфейсом (100) InSb//(1010) MnSb, который соответствует минимуму энергии границы раздела фаз [13].
С помощью сканирующего электронного микроскопа (JEOL JSM-6610-LV) установлено, что такие включения MnSb имеют игольчатую форму и направлены либо вдоль, либо перпендикулярно оси роста (рис. 1а и 1б). Включения MnSb имеют длину до 1 мм и диаметр от 1 до 5 мкм (рис. 1).
Рис. 1. Изображения игольчатых монокристаллических включений MnSb в матрице InSb вдоль (а) и поперек (б) оси роста MnSb [001], полученные на сканирующем электронном микроскопе
Включения MnSb исследовалась методом рамановского рассеяния света на установке OmegaScope (AIST NT, 785 нм, ≤ 5 мВт, 0.8 см-1, время экспозиции 60 с) при комнатной температуре. Спектры были получены при пятне фокусировки много меньше диаметра включения и представлены линиями: 110, 121, 132, 138, 143, 145 и 148 см-1. Принадлежность включений монокристаллическому MnSb была подтверждена рамановским спектром для референсного кристаллического образца MnSb и соответствовала результатами моделирования и экспериментального обнаружения раман-активных фононных мод кристаллов и пленок MnSb [14–16].
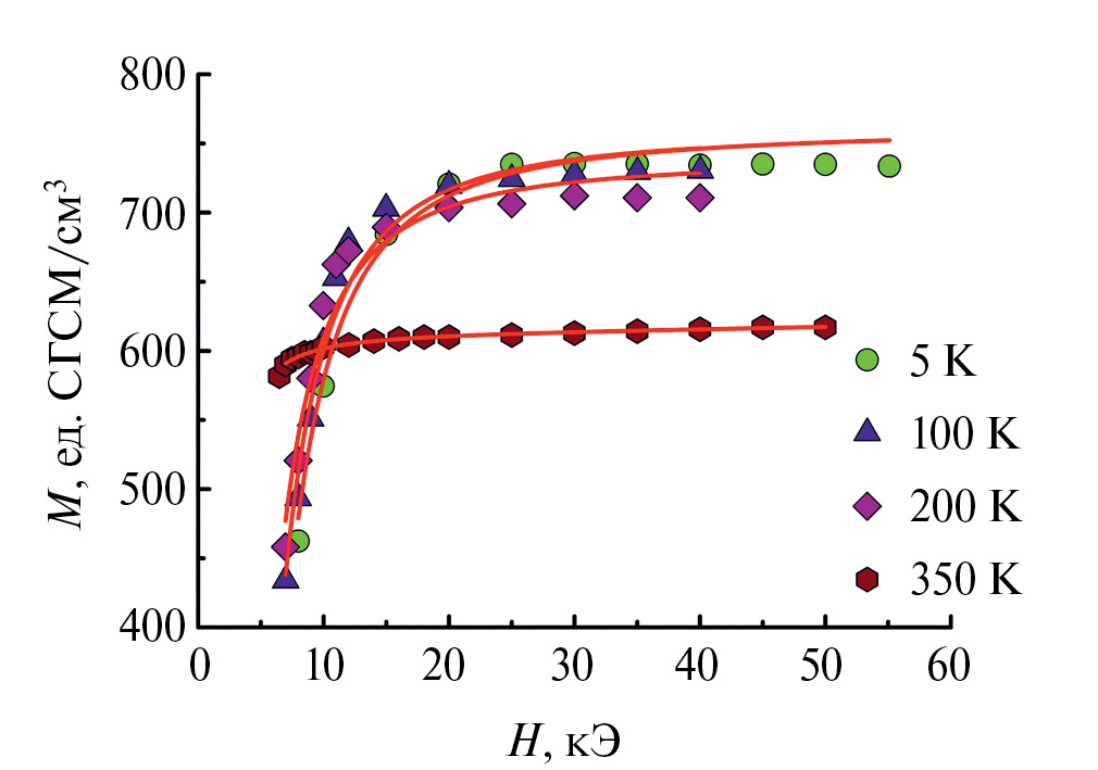
Полевые зависимости намагниченности M(H) были измерены с помощью СКВИД-магнитометра (S600X, Cryogenic Ltd.) (рис. 2) в магнитных полях до 50 кЭ в температурном интервале T = 5 – 350 К.
Рис. 2. Полевые зависимости намагниченности M, измеренные при указанных температурах. Сплошные линии – аппроксимации, описанные в тексте
РЕЗУЛЬТАТЫ И ИХ ОБСУЖДЕНИЕ
На рис. 2 представлены высокополевые участки зависимостей M(H) образца InSb-MnSb при различных температурах. Вид кривых M(H) во всем исследованном интервале магнитных полей H = 0–50 кЭ и их подробное обсуждение приведены в работе [9]. В настоящей работе предпринята попытка аппроксимации зависимостей M(H) в рамках закона асимптотического насыщения, справедливого в достаточно сильном магнитном поле [17]. В рамках этого приближения с учетом сопоставимых вкладов констант магнитной анизотропии первого K1 и второго K2 порядков в эффективную константу и учетом разброса направлений осей легкого намагничивания выражение для M(H) принимает вид:
, (1)
где MS – намагниченность насыщения, слагаемое χH обусловлено увеличением спонтанной намагниченности с ростом H (парапроцесс). Аппроксимация кривых M(H) выражением (1) позволила определить значения K1 и K2 для каждой из температур T = 5, 100, 200 и 350 К (рис. 3). Во всем исследованном интервале температур T = 5 – 350 К знаки констант K1 < 0, K2 > 0. Знаки констант и их абсолютные величины совпадают с теми, что были определены в работе [9] из анализа ориентационной зависимости спектров ферромагнитного резонанса. Отрицательному значению K1 < 0 может соответствовать два случая. Если K1 + 2K2 < 0, то имеет место анизотропия типа «легкая плоскость». Если K1 + 2K2 > 0, то имеет место анизотропия типа «конус легких осей». В нашем случае во всем исследованном интервале температур T = 5 – 350 К имеет место первый вариант, что отличает рассматриваемые в настоящей работе образцы от тех, что были исследованы, например, в работе [4], где реализовался второй вариант.
Рис. 3. Температурные зависимости констант магнитной анизотропии первого K1 и второго K2 порядков. Сплошные линии – аппроксимации, описанные в тексте. Вертикальной штриховой линией отмечена температура спонтанного спин-переориентационного перехода TSR. На вставках показаны схематические изображения эллипсоидов магнитной анизотропии, соответствующих анизотропии типа «легкая ось» (справа) и «легкая плоскость» (слева)
На рис. 3 представлены температурные зависимости констант магнитной анизотропии первого K1 и второго K2 порядков. Наблюдается рост абсолютного значения обеих констант с понижением температуры. Температурные зависимости K1(T) и K2(T) были аппроксимированы модифицированной формулой Брюхатова–Киренского [18]:
, (2)
где значение i = 1 соответствует K1, а значение i = 2 соответствует K2. Феноменологические константы a, b и c имеют следующий смысл. Константа b определяет скорость изменения величин K1 и K2 с изменением температуры. Из аппроксимации b1 = 3·10–5 К-2, b2 = 5·10–6 К-2. Полученные значения означают, что абсолютное значение K1 быстрее уменьшается с ростом температуры, чем K2, что видно из рис. 3. Вариации температуры приводят к перераспределению вкладов обеих констант в эффективную константу и, как следствие, к спин-переориентационному переходу. Сумма a + c определяет значения констант МА K0i при T → 0: K01 = a1 + b1 = –4.3·106 эрг/см3, K02 = a2 + b2 = 0.8·106 эрг/см3. Величина c определяет значения констант магнитной анизотропии K∞i при T → ∞. Здесь оговоримся, что на самом деле речь идет о константе магнитной анизотропии вблизи температуры Кюри, когда при переходе в парамагнитное состояние, анизотропия магнитных свойств исчезает. Из аппроксимации c1 = K∞1 = 0.9·106 эрг/см3, c2 = K∞2 = 0.4·106 эрг/см3. Экстраполяция зависимости K1(T) в область высоких температур с использованием параметров a1, b1 и c1 обнаруживает, что при температуре TSR = 570 К константа K1 меняет знак с отрицательного на положительный. Это означает, что при этой температуре происходит спин-переориентационный переход, сопровождающийся поворотом оси легкого намагничивания и сменой типа магнитной анизотропии. При T > TSR имеет место тип анизотропии «легкая ось», при T < TSR имеет место тип анизотропии «легкая плоскость», т.к. K1 + 2K2 < 0. На вставках рис. 3 показаны схематические изображения эллипсоидов магнитной анизотропии каждого типа. В нашем случае значение TSR = 570 К оказалось несколько выше значений TSR = 520 К [4, 5] и TSR = 540 К [6], известных для массивных образцов MnSb, направленно закристаллизованных эвтектических композиций MnSb/Sb и тонкопленочных образцов MnSb/MnSi, соответственно.
ЗАКЛЮЧЕНИЕ
Измерены зависимости намагниченности игольчатых монокристаллических включений MnSb в матрице InSb от напряженности магнитного поля M(H). Аппроксимации зависимостей M(H) в достаточно сильных магнитных полях в рамках закона асимптотического насыщения, позволила определить константы магнитной анизотропии первого K1 и второго K2 порядков. Во всем исследованном интервале температур T = 5–350 К знаки констант K1 < 0, K2 > 0. Установлены температурные зависимости K1(T) и K2(T). Выполнена их аппроксимация модифицированной формулой Брюхатова–Киренского. Экстраполяция зависимости K1(T) в область высоких температур позволила предсказать температуру спин-переориентационного переходу TSR = 570 К. Поворот оси легкого намагничивания сопровождается изменением типа магнитной анизотропии. Высоким температурам T > 570 К соответствует анизотропия типа «легкая ось». Низким температурам T < 570 К соответствует анизотропия типа «легкая плоскость».
Работа выполнена при поддержке Министерства науки и высшего образования РФ в рамках тем государственного задания № FFSG-2024-0009 и № 0851-2020-0035, а также Российского научного фонда (проект № 21-12-00254) и программы «Приоритет-2030» (проект № 075-15-2021-1213).
About the authors
A. I. Dmitriev
Federal Research Center for Problems of Chemical Physics and Medicinal Chemistry of the Russian Academy of Sciences
Author for correspondence.
Email: aid@icp.ac.ru
Russian Federation, Chernogolovka
A. V. Kochura
Southwest State University; Lebedev Physical Institute of the Russian Academy of Sciences
Email: aid@icp.ac.ru
Russian Federation, Kursk; Moscow
A. P. Kuzmenko
Southwest State University
Email: aid@icp.ac.ru
Russian Federation, Kursk
Zaw Htet Aung
Southwest State University
Email: aid@icp.ac.ru
Russian Federation, Kursk
V. V. Rodionov
Southwest State University
Email: aid@icp.ac.ru
Russian Federation, Kursk
S. F. Marenkin
Kurnakov Institute of General and Inorganic Chemistry of the Russian Academy of Sciences; MISIS National University of Science and Technology
Email: aid@icp.ac.ru
Russian Federation, Moscow; Moscow
B. A. Aronzon
Lebedev Physical Institute of the Russian Academy of Sciences
Email: aid@icp.ac.ru
Russian Federation, Moscow
References
- Wibowo N.A., Irawan C.F., Setiawan A. // J. Phys. Conf. Ser. 2019. V. 1153. Art. No. 012054.
- Cooley J.A., Horton M.K., Levin E.E. et al. // Chem. Mater. 2020. V. 32. No. 3. P. 1243.
- Okita T., Makino Y. // J. Phys. Soc. Japan. 1968. V. 25. No. 1. P. 120.
- Markandeyulu G., Rama Rao K.V.S. // J. Magn. Magn. Mater. 1987. V. 67. No. 2. P. 215.
- Pan Y., Sun G. // Scripta Mater. 1999. V. 41. No. 8. P. 803.
- Ashizawa Y., Saito S., Takahashi M. // J. Appl. Phys. 2002. V. 91. No. 10. P. 803.
- Liang D., Yang Y.B., Yang W.Y. et al. // J. Alloys Compounds. 2021. V. 856. No. 5. Art. No. 158184.
- Новоторцев В.М., Кочура А.В., Маренкин С.Ф. и др. // Журн. неорг. хим. 2011. Т. 56. № 12. С. 2038; Novotortsev V.M., Kochura A.V., Marenkin S.F. et al. // Russ. J. Inorg. Chem. 2011. V. 56. No. 12. P. 1951.
- Дмитриев А.И., Кочура А.В., Маренкин С.Ф. и др. // Письма в ЖТФ. 2021. Т. 47. № 10. С. 46; Dmitriev A.I., Kochura A.V., Marenkin S.F. et al. // Tech. Phys. Lett. 2021. V. 47. No. 7. P. 490.
- Chen T., Charlan G.B., Keezer R.C. // J. Cryst. Growth. 1977. V. 37. No. 7. P. 29.
- Maskery I., Burrows C.W., Walker M. et al. // J. Vac. Sci. Technol. 2016. V. 34. No. 4. Art. No. 041219.
- Oveshnikov L.N., Granovsky A.B., Davydov A.B. et al. // J. Magn. Magn. Mater. 2022. V. 563. No. 1. Art. No. 169873.
- Umehara Y., Koda S. // Metallogr. 1974. V. 7. No. 4. P. 313.
- Chong X. Yu., Jiang Y.H., Zhou R., Feng J. // Sci. Reports. 2016. V. 6. Art. No. 21821.
- Romcevic M., Gilic M., Kilanski L. et al. // J. Raman Spectrosc. 2018. V. 49. No. 10. P. 1678.
- Мамедов И.Х., Араслы Д.Г., Рагимов Р.Н., Халилова А.А. // ФТП. 2020. Т. 54. № 4. С. 341; Mammadov I.Kh., Arasly D.H., Rahimov R.N., Khalilova A.A. // Semiconductors. V. 54. No. 4. P. 412.
- Chikazumi S. Physics of magnetism. New York: Wiley, 1964. 554 p.
- Брюхатов Н.Л., Киренский Л.В. // ЖЭТФ. 1938. Т. 6. № 2. С. 198; Brukhatov N.L., Kirensky L.V. // Phys. Zeit. der Sowjetunion. 1937. V. 12. No. 5. P. 602.
Supplementary files





