Changes in Raman spectra from the surface of titanium foils under their fluorination
- Authors: Sergeev P.B.1, Melnik N.N.1
-
Affiliations:
- Lebedev Physical Institute of the Russian Academy of Sciences
- Issue: Vol 88, No 12 (2024)
- Pages: 1926-1931
- Section: Nanooptics, photonics and coherent spectroscopy
- URL: https://medbiosci.ru/0367-6765/article/view/286515
- DOI: https://doi.org/10.31857/S0367676524120138
- EDN: https://elibrary.ru/EWEOBY
- ID: 286515
Cite item
Full Text
Abstract
The transformation of Raman spectra from titanium foils during their fluorination in gas mixtures was experimentally studied. It was found that fluorination leads to a strong increase in the intensity of scattering bands from the initial components of the nanocoating of titanium foils. A new strong band also appears at 905±5 см-1 and a wide continuum with a maximum of ≈1700 см-1, increasing during fluorination.
Full Text
Введение
Изделия из титана, его сплавов и соединений находят все более широкое применение. Это сопровождается интенсивными поисками методов повышения их функциональности, в частности, за счет модификации поверхностей деталей [1—3]. Контролировать результаты такой модификации можно с помощью методов и инструментария спектроскопии комбинационного рассеяния света (КРС), что часто и делается [4—10]. Но здесь есть сложности, которые обусловлены свойствами титана. Из-за его химической активности уже на стадии изготовления при первом контакте с воздухом поверхность титановых изделий покрывается пленкой оксида титана толщиной ≈10—100 нм. Эта пленка неоднородна по толщине, а величина x в варьируется от 1 до 2 [11]. При этом надо отметить, что даже идеальное по стехиометрии может существовать в разных кристаллических состояниях, ключевые из которых известны как анатаз и рутил [12, 13]. Кроме того, размеры кристалликов всех фаз могут различаться. И весь набор приведенных факторов у оксидной титановой нанопленки по-своему проявляется в ее спектрах КРС (зависимости интенсивности комбинационного рассеянного света от рамановского сдвига ΔE) [12, 14]. А в воздухе есть еще и азот, который может приводить к образованию в поверхностном слое титана соединений TiN и встраиваться в решетку [7, 9, 15]. Поэтому спектры КРС с поверхности Ti образцов могут сильно различаться из-за разнообразия их предыстории. Это обстоятельство и осложняет использование спектроскопии КРС для характеризации поверхностей титановых изделий и указывает на необходимость расширения базы данных по этой теме.
В наибольшей степени состояние поверхности может сказываться на потребительских свойствах тонких, ≈10 мкм, титановых фольг. Такие фольги используются, в частности, в качестве окон для вывода электронных пучков (ЭП) из вакуумных объемов электронных пушек в разные газовые среды [16—20]. Так, в электронно-пучковых эксимерных лазерах (ЭПЛ) фольговый узел является одним из ключевых элементов, обуславливающих относительно низкий ресурс их работы до ремонта, ≈104 импульсов [17, 20]. Здесь ресурс Ti фольг может ограничиваться процессами на поверхностях, контактирующими с разными газами в процессе облучения ЭП [16, 19—20]. Изучение таких процессов методами КРС здесь может быть плодотворным.
Это подтверждает работа [21]. В ней был отмечен факт многократного роста интенсивности спектров КРС от поверхности Ti фольг после их работы в контакте с газовыми смесями KrF-ЭПЛ, содержащими фтор. Сразу же возник вопрос: связан ли этот рост с электронно-пучковым воздействием на фольги или он вызван травлением поверхности титана фтором? Целью данной работы был поиск ответа на данный вопрос путем экспериментального изучения влияния фторирования в газовых смесях на спектры КРС от титановых фольг с разными вариантами их облучения электронным пучком.
Материалы и техника эксперимента
Экспериментальные результаты получены при обследовании титановых фольг, используемых на электронно-пучковой лазерной установке ЭЛА. Ее детальное описание можно найти в [17, 20—22]. Здесь приведем лишь ключевые параметры, важные для характеризации воздействия ЭП на фольги.
Электронный пучок установки ЭЛА импульсный с длительностью 80 нс и частотой повторения не более 5 мГц. ЭП выводится из электронной пушки в лазерную камеру или в воздух через разделитель — слойку, состоящую из двух титановых фольг толщиной 13—20 мкм и полиимидной пленки между ними толщиной около 40 мкм [20—22]. Такая конструкция разделителя, как показал длительный опыт эксплуатации установки ЭЛА, обеспечивает и высокую прозрачность для ЭП, и достаточно высокую надежность [17, 20—22].
Средняя энергия электронов ЭП за импульс составляет около 300 кэВ, а плотность энергии ЭП на входной и выходной поверхности разделителя — до 9 и 5 , соответственно. Внешняя титановая фольга разделителя, расположенная со стороны лазерной камеры, получает за импульс дозу от ЭП в центральной зоне облучения на уровне Гр при мощности Гр/с. В конце импульса ЭП эта фольга нагревается примерно на 200°C. Использованные в разделителях установки ЭЛА титановые фольги, исходя из измерений их примесного состава, изготавливались из сплавов типа ВТ1—0.
В одной из серий экспериментов на установке ЭЛА [22] фольги разделителя выдержали 5630 импульсов ЭП при его выводе в воздух. Внешняя титановая фольга разделителя и полиимидная пленка за эту серию импульсов получили суммарную дозу облучения на уровне 1 ГГр [20, 21]. Полоски из этой фольги, как и чистые образцы Ti фольг, использовались в опытах по травлению в газовых смесях при общем давлении 1 атм и первичным содержанием до 40 Торр. Травление образцов проводилось в лазерной камере установки ЭЛА в темноте при комнатной температуре. Время травления было от 1 до 29 сут.
Спектры КРС с поверхности всех этих фольг будут представлены в следующем разделе. Там же будут показаны и спектры от третьей группы Ti фольг, проработавших при выводе ЭП в лазерную камеру KrF-ЭПЛ в контакте с его газовой смесью из =300/30/1. При давлении 2 атмосферы эта смесь содержала около 5 Торр фтора. Общее время пребывания этих Ti фольг в контакте с фтором не превышало 2 сут. За это время было сделано до 200 импульсов ЭП, а фольги получили дозы облучения до 40 МГр.
Полученные после таких испытаний спектры КРС от Ti фольг, как будет показано далее, имеют сложную структуру. Для их понимания и сравнения понадобились спектры КРС от наиболее вероятных первичных компонентов титановых покрытий: TiN и . Они измерялись на чистых порошках соответствующих соединений титана с размерами частиц около 1 мкм. В придачу к спектрам чистых порошков были получены еще и спектры этих же порошков после их травления вместе с фольгами в газовых смесях .
Спектры КРС у образцов Ti фольг и порошков регистрировались на установке inVia (Renishaw). Возбуждение КРС и регистрация спектров осуществлялись в стандартной геометрии “на отражение” при использовании возбуждающего лазерного излучения на длине волны нм. Спектр КРС из [21], который для сравнения будет так же показан далее, измерялся с использованием лазера, излучающего на длине волны 532 нм.
Экспериментальные результаты
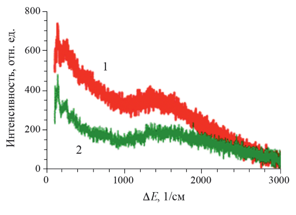
На рис. 1 под номером 1 представлен спектр КРС чистой поверхности титановой фольги толщиной 14 мкм, которая используется в сборках слоек для фольгового узла установки ЭЛА. Данный спектр был получен в режиме максимальной чувствительности рамановского спектрофотометра. Спектр мало информативен. В нем лишь угадываются полосы в области ΔE ≈ 110 и 230 см-1 и наличие широкого континуума с максимумом около 1500 см-1.
Рис. 1. Спектры КРС чистой титановой фольги (1) и фольги после облучения на воздухе электронным пучком установки ЭЛА с дозой 1 ГГр (2).
Под номером 2 на рис. 1 показан спектр КРС титановой фольги, отработавшей в слойке установки ЭЛА 5630 импульсов с выводом ЭП в воздух. Эта фольга получила общую дозу облучения около 1 ГГр. Отметим, что спектр КРС с внутренней стороны этой фольги, контактировавшей в слойке с полиимидной пленкой и остатками воздуха, практически не отличался от спектра с поверхности, контактировавшей с воздухом. По интенсивности, по общему виду, да и по информативности спектр 2 очень похож на 1. Меньшая интенсивность второго спектра может быть обусловлена очисткой поверхности титановой фольги от загрязнений под действием электронного пучка.
На рис. 2 приводятся спектры КРС порошков TiN и до и после их максимально сильного травления в газовой смеси . Травление продолжалось 29 суток при содержании фтора в исходной смеси 30 Торр.
Рис. 2. Спектры КРС порошков TiN и TiO2 с размерами частиц около 1 мкм, соответственно, до (1 и 3) и после (2 и 4) фторирования 29 сут в газовой смеси Ar/F2 при 1 атм с содержанием фтора 30 Торр.
Общая структура спектра КРС у порошка TiN после травления фтором не изменилась, сохранилось положение трех исходных основных максимумов на 208, 288 и 556 . Подробности о природе всех полос КРС в TiN можно найти в [23] и приводимых в ней ссылках. Здесь лишь отметим достаточно сильное, почти в 5 раз, увеличение интенсивность всего спектра после фторирования.
Номерами 3 и 4 на рис. 2 помечены спектры КРС порошка до (№ 3), и после травления фтором — № 4. Сильные и практически сливающиеся полосы с максимумом на и имеющие интенсивность около 20000 у порошка до фторирования, а после — 26300, здесь были обрезаны для более четкой передачи особенностей спектра у менее интенсивных полос. Природа полос КРС у разных состояний TiO2 изучается давно, что отражено в списках литературы уже приводившихся ссылок [5, 12—15], а также в [24, 25]. Данные, приведенные в работах [12—15, 24], позволяют провести идентификацию полос с рис. 2 по виду и положению их максимума. Для краткости далее будем помечать соответствующие полосы буквой А, если они могут принадлежать анатазу, и Р — рутилу. Кроме этого, результаты [14] позволяют по соотношению интенсивностей ряда полос А и Р оценивать отношение масс рутила и анатаза. По использованному порошку эти оценки показывают, что оно близко к 1, т. е. массы рутила и анатаза в частичках порошка почти одинаковы.
Далее, наряду с идентификацией, покажем рост интенсивности полос TiO2 с рис. 2 после фторирования. А(143 см-1) — увеличение в 1.3 раза, А(196) — 1.4, А(396) — 1.5, А(516) — 1.4, А(640) — 1.4, Р(242) — 1.5, Р(447) — 1.5, Р(608) — 1.6. В среднем интенсивность полос анатаза после травления порошка фтором повысилась в 1.4 раза, а у рутила — в 1.5 раза. Напомним, что у порошка TiN после аналогичного травления интенсивность полос КРС выросла почти в 5 раз. В заключение комментария по рис. 2 отметим факт отсутствия новых линий КРС у порошков TiN и после их фторирования в газовой смеси .
На рис. 3 представлены типичные спектры КРС поверхности Ti фольг с разной предысторией до фторирования. Спектр № 1 принадлежит поверхности чистой Ti фольги толщиной 14 мкм после ее фторирования 5 сут в газовой смеси с содержанием в 40 Торр. Спектр под № 2 принадлежит Ti фольге получившей на установке ЭЛА дозу в 1 ГГр, а затем протравленной вместе с порошками 29 суток. На обоих спектрах 1 и 2 проявилась новая сильная полоса (далее N) с максимумом на и шириной на полувысоте . Эти цифры получены усреднением по 18 разным спектрам КРС. Ни в одной известной нам публикации не удалось найти даже намека на наличие данной сильной полосы с приведенными параметрами в спектрах КРС от поверхностей титановых изделий с разной предысторией.
Рис. 3. Спектры КРС: исходная Ti фольга после 5 суток фторирования (1), фольга с предварительным облучением ЭП с дозой 1 ГГр и фторирования 29 сут (2), одна и та же фольга, проработавшая в KrF-ЭПЛ (3 и 4, 3 — прописана на приборе с возбуждающим лазером 532 нм [21], а 4—785 нм), Ti фольга в области микрокристалла анатаза, протравлена 1 сут (5).
Появление и рост при фторировании Ti фольг полосы N в спектрах КРС сопровождается ростом в области интенсивного широкого континуума (далее К) с максимумом в области 1700 , который простирается примерно до 3200 . Экстраполяция показывает, что левое крыло этого К может сказываться на структуре спектра КРС и в области малых ΔE > 1000 см-1. На фоне К присутствуют две относительно узких полосы с максимумами на , интенсивность которых растет при фторировании Ti фольг синхронно с ростом К. С учетом результатов по порошкам можно сделать вывод, что новые полосы N и K на Ti фольгах после фторирования не связаны с химической трансформацией и Ti N.
В спектрах 1 и 2 на рис. 3 в области наблюдаются очень похожие структуры, на которых выделяются отдельные полосы анатаза, рутила и Ti N. Отметим, что интенсивность этих полос почти на порядок выше, чем различимые на рис. 1 первичные полосы у Ti фольг до фторирования.
Пара спектров 3 и 4 на рис. 3 принадлежат одной Ti фольге, отработавшей на установке ЭЛА в контакте с газовой смесью KrF-ЭПЛ. Спектр 3, приводившийся ранее в [21], получен на приборе с возбуждающим лазером на 532 нм, а 4 — на 785 нм. У спектров 3 и 4 структура в области существенно отличается от структур на спектрах 1 и 2 при незначительной разнице общих интенсивностей, которые более чем на порядок выше интенсивностей исходного спектра (рис. 1). В спектрах 3 и 4 угадывается наличие полосы в области 910 см-1, но ее выделение требует специфических методов анализа спектров КРС [21] не гарантирующих высокой точности.
На рис. 3 представлен еще и спектр под № 5. Этот спектр получен после суточного фторирования чистой Ti фольги в области, где на поверхности был найден кристалл анатаза микронного размера. Узкие линии анатаза на данном рисунке являются реперами, указывающими на возможное положение соответствующих полос в спектрах 1—4. Еще одна особенность этого спектра — наличие у него полосы с максимумом в области 905 см-1, т. е. полосы N. Но у порошков эта полоса не наблюдалась, а, значит, на титановой фольге она принадлежит структурам, которые располагаются под покровом нанопленки , находящейся в данном месте в состоянии анатаза.
Дополнительное подтверждение этого утверждения дают спектры 2 и 3 на рис. 4. Они получены с соседних участков чистой Ti фольги после ее суточного фторирования. На рис. 4 под № 3 показан тот же спектр, что и № 5 с рис. 3, но, как видно по шкале «Интенсивность», в другой детализации. Вид спектра 2 с рис. 4 показывает, что покрытие в точке его измерения находится в состоянии рутила. Однако и здесь есть полоса N, которая практически сливается с аналогичной полосой в спектре 3. Получается, что состояние TiO2 на поверхности Ti фольги, анатаз это или рутил, не влияет на процессы образования структур, ответственных за полосу N. Совпадение континуумов у спектров 2 и 3 в области так же указывает на то, что порождающие их структуры находятся под пленкой . Что это за структуры — вопрос открытый.
Рис. 4. Спектры КРС чистой Ti фольги в области минимального травления (1), разные участки чистой фольги после суточного травления (2 и 3), та же фольга после 5 сут травления в Ar/F2 газовой смеси (1 атм, 40 Торр F2) (4).
Под номером 1 на рис. 4 приводится спектр КРС у чистой Ti фольги с минимальным уровнем фторирования, после которого становится заметным полоса N. Спектр 4 на рис. 4 получен с фольги после 5 сут фторирования. Набор спектров 1, 2 и 4 здесь иллюстрирует полную картину трансформации спектров КРС от чистой Ti фольги с увеличением уровня фторирования с привязкой к расположению характерных узких полос анатаза от спектра 3.
Заключение
Представленные в работе результаты по экспериментальному изучению изменения спектров КРС от поверхностей титановых фольг с разными комбинациями облучения электронным пучком и фторирования показывают, что основной причиной трансформации спектров является фторирование. Оно приводит к повышению интенсивности спектра КРС в области , где расположены ключевые полосы оксидов, нитридов и фторидов титана. Это можно использовать для повышения чувствительности методов КРС спектроскопии при изучении этих соединений на титановых изделиях.
Кроме этого, фторирование титана в газовых смесях ведет к появлению в спектрах КРС от его поверхности новой сильной полосы с максимумом на . Появляется, так же интенсивный континуум с максимумом в области 1700 см-1, на фоне которого выделяются две полосы на . Природа всех этих полос пока не понятна, но можно утверждать, что ответственные за появление этих новых полос структуры, возникают под первичной поверхностной нанопленкой из или Ti N.
Работа выполнена по теме государственного задания Физического института им. П. Н. Лебедева РАН (код темы FFMR-2024-0017).
About the authors
P. B. Sergeev
Lebedev Physical Institute of the Russian Academy of Sciences
Author for correspondence.
Email: sergeevpb@lebedev.ru
Branch in Troitsk
Russian Federation, MoscowN. N. Melnik
Lebedev Physical Institute of the Russian Academy of Sciences
Email: sergeevpb@lebedev.ru
Branch in Troitsk
Russian Federation, MoscowReferences
- Хохлов В.А., Жаховский В.В., Иногамов Н.А. и др. // Письма в ЖЭТФ. 2022. Т. 115. № 9. С. 576, Khokhlov V.A., Zhakhovsky V.V., Inogamov N.A. et al. // JETP Lett. 2022. V. 115. No. 9. P. 523.
- Воробьев В.Л., Гильмутдинов Ф.З., Сюгаев А.В. и др. // Физ. металл. и металловед. 2020. Т. 121. № 5. С. 509, Vorob’ev V.L., Gil’mutdinov F.Z., Syugaev A.V. et al. // Phys. Metals Metallogr. V. 121. No. 5. P. 460.
- Комаров Д.В., Коновалов С.В., Жуков Д.В. и др. // Ползуновский вестн. 2022. № 3. С. 204.
- Тимченко П.Е., Фролов О.О., Тимченко Е.В. и др. // Опт. и спектроск. 2023. Т. 131. № 6. С. 728, Timchenko P.E., Frolov O.O., Timchenko E.V. et al. // Opt. Spectrosc. 2023. V. 131. No. 6. P. 684.
- Kiselyova E.S., Sypchenko V.S., Nikitenkov N.N. et al. // Lett. Materials. 2017. V. 7. No. 2. P. 117.
- Lohse B.H., Calka A., Wexler D. // J. Appl. Phys. 2005. V. 97. P. 114912.
- Mahalingam S., Edirisinghe M.J. // J. Phys. D. Appl. Phys. 2008. V. 41. No. 21. Art. No. 215406.
- Sarycheva A., Gogotsi Y. // Chem. Mater. 2020. V. 32. P. 3480.
- Бронников К.А., Гладких С.А., Окотруб К.А. и др. // Квант. электрон. 2022. Т. 52. № 11. С. 1042.
- Popova A.D., Sheveyko A.N., Kuptsov K.A. et al. // ACS Appl. Mater. Interfaces. 2023. V. 15. No. 31. P. 37274.
- Жирухин Д.А., Капустин Ю.И., Ваграмян Т.А. // Успехи в хим. и химич. технол. 2021. Т. 35. № 8. С. 108.
- Hanaor D.A.H., Sorrell C.C. // J. Mater Sci. 2011. V. 46. P. 855.
- Hardcastle F.D. // JAAS. 2011. V. 65. Art. No. 9.
- Zanatta A.R. // AIP Advances. 2017. V. 7. Art. No. 075201.
- Surmacki J., Wronski P., Szadkowska-Nicze M., Abramczyk H. // Chem. Phys. Lett. 2013. V. 566. P. 54.
- Blanco-Pinzon C., Liu Z., Voisey K. et al. // Corros. Sci. 2005. V. 47. P. 1251.
- Sergeev P.B. // J. Russ. Laser Res. 1993. V. 14. No. 4. P. 237.
- Бодакин Л.В., Гусаков А.И., Комаров О.В. и др. // ЖТФ. 2016. Т. 86. № 9. С. 122, Bodakin L.V., Gusakov A.I., Komarov O.V. et al. // Tech. Phys. 2016. V. 61. No. 9. P. 1404.
- Egorov I., Smolyanskiy E., Poloskov A., Serebrennikov M. // Vacuum. 2022. V. 199. Art. No. 110921.
- Сергеев П.Б., Морозов Н.В. // Опт. и спектроск. 2019. Т. 126. № 3. С. 280, Sergeev P.B., Morozov N.V. // Opt. Spectrosc. 2019. V. 126. No. 3. P. 200.
- Сергеев П.Б., Ковалец Н.П., Кожина Е.П., Бедин С.А. // Изв. РАН. Сер. физ. 2023. Т. 87. № 12. С. 1819, Sergeev P.B., Kovalets N.P., Kozhina E.P., Bedin S.A. // Bull. Russ. Acad. Sci. Phys. 2023. V. 87. No. 12. P. 1890.
- Сергеев П.Б., Сергеев А.П., Зворыкин В.Д. // Квант. электрон. 2007. Т. 37. № 8. С. 706, Sergeev P.B., Sergeev A.P., Zvorykin V.D. // Quantum. Electron. 2007. V. 37. No. 8. P. 706.
- Cheng Y.H., Tay B.K., Lau S.P. et al. // J. Appl. Phys. 2002. V. 92. No. 4. P. 1845.
- Balachandran U., Eror N.G. // J. Solid State Chem. 1982. V. 42. P. 276.
- Pawar T.J., Contreras Lуpez D., Olivares Romero J.L. et al. // J. Mater Sci. 2023. V. 58. P. 6887.
Supplementary files






