Competitive ELISA test system for the detection of antibodies to the rabies virus in animals (Rhabdoviridae: Lyssavirus)
- Authors: Lobanova V.A.1,2, Tsarkova K.N.1, Bogomolova O.A.1, Matveeva I.N.1, Klyukina V.I.1
-
Affiliations:
- All-Russian Research and Technological Institute of Biological Industry
- Russian State Agrarian University – Moscow Timiryazev Agricultural Academy
- Issue: Vol 67, No 4 (2022)
- Pages: 331-340
- Section: ORIGINAL RESEARCHES
- URL: https://medbiosci.ru/0507-4088/article/view/118240
- DOI: https://doi.org/10.36233/0507-4088-127
- ID: 118240
Cite item
Full Text
Abstract
Introduction. The main approach to the rabies prevention is the vaccination of domestic and wild carnivores. For the routine evaluation the anti-rabies vaccination effectiveness, World Organization for Animal Health (OIE) recommends various enzyme-linked immunosorbent assays (ELISA).
The aim of the study was to design and validate a competitive ELISA (cELISA) test system for the detection of antibodies to the rabies virus (RABV).
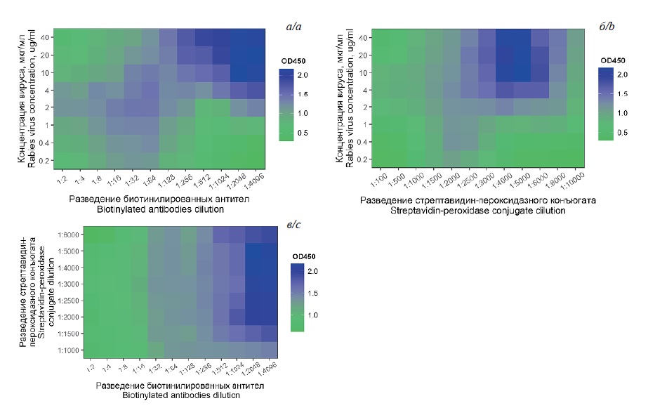
Materials and methods. The development of the cELISA was carried out following the OIE recommendations.
Results. The repeatability of the cELISA results within one laboratory was satisfactory (coefficient of variation 7.95–13.61%). The coefficient of determination (CD) between the results of the virus neutralization reaction (FAVN) and cELISA was 0.988, p < 0.001. The lower threshold for antibody detection was less than 0.02 IU/ml. The cELISA did not demonstrate cross-reactivity against antibodies to canine distemper virus, parainfluenza virus, parvovirus, coronavirus, and canine adenovirus (types I and II). During the study of 137 dog blood sera, diagnostic specificity (DSp) and diagnostic sensitivity (DSe) for the cELISA were 83.1% and 94.9%, respectively, and CD between the cELISA and FAVN results was 0.968, p < 0.001.
Discussion. Indirect ELISA test systems for determining the level of antibodies to RABV are not sensitive enough compared to reference tests, unlike cELISA. The developed test system is not inferior for its DSp and DSe to the commercial cELISA BioPro ELISA Rabies Ab (DSp 66.7%, DSe 94.4%).
Conclusion. The developed cELISA test system can be used to detect antibodies to RABV in the blood serum of dogs for evaluating the effectiveness of mass vaccination programs.
Full Text
##article.viewOnOriginalSite##About the authors
Varvara A. Lobanova
All-Russian Research and Technological Institute of Biological Industry; Russian State Agrarian University – Moscow Timiryazev Agricultural Academy
Author for correspondence.
Email: varvara.ustinova1995@gmail.com
ORCID iD: 0000-0001-9757-784X
SPIN-code: 4888-9180
Postgraduate Student of the Immunology Department, FSBI “All-Russian Research and Technological Institute of Biological Industry”; Assistant of Biotechnology Department, FSBEI HE “Russian State Agrarian University – Moscow Timiryazev Agricultural Academy”
Russian Federation, 141142, Moscow Region, Losino-Petrovsky urb. distr.; 127434, MoscowKristina N. Tsarkova
All-Russian Research and Technological Institute of Biological Industry
Email: car-cristina@rambler.ru
ORCID iD: 0000-0003-0694-9834
Junior Research Scientist of the Department of Immunology
Russian Federation, 141142, Moscow Region, Losino-Petrovsky urb. distr.Olesya A. Bogomolova
All-Russian Research and Technological Institute of Biological Industry
Email: noo_vnitibp@mail.ru
ORCID iD: 0000-0001-6442-226X
SPIN-code: 3155-3489
PhD of Biological Sciences, Senior Research Scientist of the Department of Immunology
Russian Federation, 141142, Moscow Region, Losino-Petrovsky urb. distr.Irina N. Matveeva
All-Russian Research and Technological Institute of Biological Industry
Email: biolog1967@mail.ru
ORCID iD: 0000-0003-0849-2524
SPIN-code: 6054-5026
Doctor of Biological Sciences, Professor, Head of the Department of Molecular Biology and Virology
Russian Federation, 141142, Moscow Region, Losino-Petrovsky urb. distr.Valentina I. Klyukina
All-Russian Research and Technological Institute of Biological Industry
Email: klyukinavi@yandex.ru
ORCID iD: 0000-0002-4295-1424
SPIN-code: 6675-9170
Doctor of Biological Sciences, Professor, Head of the Department of Immunology
Russian Federation, 141142, Moscow Region, Losino-Petrovsky urb. distr.References
- OIE Manual of Diagnostic Tests and Vaccines for Terrestrial Animals – 2018. Chapter 3.1.17. Rabies (infection with Rabies virus and other Lyssaviruses). Available at: https://www.woah.org/fileadmin/Home/eng/Health_standards/tahm/3.01.17_RABIES.pdf
- Karaulov A.K., Varkentin A.V., Petrova O.N., Tatsenko E.E., Semenova N.A., Shcherbin S.V., et al. Report of the information and analytical center of the Veterinary Supervision Department of the Federal Service for Veterinary and Phytosanitary Surveillance (Rosselkhoznadzor) (FSBI «Federal Centre for Animal Health» (FGBI «ARRIAH») on the epizootic situation in the Russian Federation for 2020. Available at: https://fsvps.gov.ru/sites/default/files/files/iac/2022/2021_31_12_godovoy_otchet.pdf (in Russian)
- Lobanova V.A., Klyukina V.I. Biotechnological aspects of improving detection methods antibodies to animal rabies virus. Vestnik biotekhnologii i fiziko-khimicheskoy biologii im. Yu. A. Ovchinnikova. 2021; 17(1): 62–75. (in Russian)
- Sugiyama M., Yoshiki R., Tatsuno Y., Hiraga S., Itoh O., Gamoh K., et al. A new competitive enzyme-linked immunosorbent assay demonstrates adequate immune levels to rabies virus in compulsorily vaccinated Japanese domestic dogs. Clin. Diagn. Lab. Immunol. 1997; 4(6): 727–30. https://doi.org/10.1128/cdli.4.6.727-730.1997
- Bedeković T., Šimić I., Krešić N., Lojkić I., Mihaljević Ž., Sučec I., et al. Evaluation of ELISA for the detection of rabies virus antibodies from the thoracic liquid and muscle extract samples in the monitoring of fox oral vaccination campaigns. BMC Vet. Res. 2016; 12: 76. https://doi.org/10.1186/s12917-016-0701-0
- Mojžiš M., Korytár P., Jerg S. Development and validation of ELISA test for detection of rabies anti-glycoprotein antibodies. In: Proceedings of the International Conference on Rabies in the Americas (RITA XIX). Atlanta; 2008: 48–9.
- Wasniewski M., Cliquet F. Evaluation of ELISA for detection of rabies antibodies in domestic carnivores. J. Virol. Methods. 2012; 179(1): 166–75. https://doi.org/10.1016/j.jviromet.2011.10.019
- Wasniewski M., Almeida I., Baur A., Bedekovic T., Boncea D., Chaves L.B., et al. First international collaborative study to evaluate rabies antibody detection method for use in monitoring the effectiveness of oral vaccination programmes in fox and raccoon dog in Europe. J. Virol. Methods. 2016; 238: 77–85. https://doi.org/10.1016/j.jviromet.2016.10.006
- Lobanova V.A., Klyukina V.I. Obtaining components of a test system based on a competitive ELISA for the detection of antibodies to the rabies virus. Veterinarnyy vrach. 2022; (2): 29–39. https://doi.org/10.33632/1998-698X.2022_29_39 (in Russian)
- Burns R., ed. Immunochemical Protocols. Totowa, NJ: Humana Press; 2005.
- Gibbs J., Vessels M., Rothenberg M. Effective blocking procedures in ELISA assays. Application note. Available at: https://www.corning.com/catalog/cls/documents/application-notes/CLS-DD-AN-456.pdf
- Novikov D.A., Novochadov V.V. Statistical Methods in Biomedical Experiment (Typical Cases) [Statisticheskie metody v mediko-biologicheskom eksperimente (tipovye sluchai)]. Volgograd; 2005. (in Russian)
- Esterhuysen J.J., Prehaud C., Thomson G.R. A liquid-phase blocking ELISA for the detection of antibodies to rabies virus. J. Virol. Methods. 1995; 51(1): 31–42. https://doi.org/10.1016/0166-0934(94)00098-2
- Hismatullina N.A., Guljukin A.M., Sabirova V.V., Gafarova A.Z., Elakov A.L. Development and application of a novel ELISA-block test-system to improve rabies vaccine prevention. Veterinarnaya meditsina. 2012; (96): 64–6. (in Russian)
- Aronthippaitoon Y., Samer W., Atuntee T., Thananchai H., Thongkorn K., Pongsopawijit P., et al. A cost effective easy competitive enzyme-linked immunosorbent assay suitable for monitoring protective immunity against the rabies virus in the serum of humans and dogs. Jpn J. Infect. Dis. 2019; 72(2): 99–105. https://doi.org/10.7883/yoken.JJID.2018.248
- Fontana D., Rodriguez M.C., Garay E., Russo S., Prieto C. Optimization and validation of a blocking ELISA for quantitation of anti-rabies immunoglobulins in multispecies sera. Appl. Microbiol. Biotechnol. 2020; 104(9): 4127–39. https://doi.org/10.1007/s00253-020-10490-6
- Zhang S., Liu Y., Zhang F., Hu R. Competitive ELISA using a rabies glycoprotein-transformed cell line to semi-quantify rabies neutralizing-related antibodies in dogs. Vaccine. 2009; 27(15): 2108–13. https://doi.org/10.1016/j.vaccine.2009.01.126
- Korimbocus J., Dehay N., Tordo N., Cano F., Morgeaux S. Development and validation of a quantitative competitive ELISA for potency testing of equine anti rabies sera with other potential use. Vaccine. 2016; 34(28): 3310–6. https://doi.org/10.1016/j.vaccine.2016.04.086
- Muhamuda K., Madhusudana S.N., Ravi V. Development and evaluation of a competitive ELISA for estimation of rabies neutralizing antibodies after post-exposure rabies vaccination in humans. Int. J. Infect. Dis. 2007; 11(5): 441–5. https://doi.org/10.1016/j.ijid.2006.09.013
- Servat A., Cliquet F. OIE Reference Laboratory for Rabies; WHO. Collaborative study to evaluate a new ELISA test to monitor the effectiveness of rabies vaccination in domestic carnivores. Virus. Res. 2006; 120(1-2): 17–27. https://doi.org/10.1016/j.virusres.2006.02.011
- Wasniewski M., Labbe A., Tribout L., Rieder J., Labadie A., Schereffer J.L., et al. Evaluation of a rabies ELISA as an alternative method to seroneutralisation tests in the context of international trade of domestic carnivores. J. Virol. Methods. 2014; 195: 211–20. https://doi.org/10.1016/j.jviromet.2013.10.021
- Feyssaguet M., Dacheux L., Audry L., Compoint A., Morize J.L., Blanchard I., et al. Multicenter comparative study of a new ELISA, PLATELIA RABIES II, for the detection and titration of anti-rabies glycoprotein antibodies and comparison with the rapid fluorescent focus inhibition test (RFFIT) on human samples from vaccinated and non-vaccinated people. Vaccine. 2007; 25(12): 2244–51. https://doi.org/10.1016/j.vaccine.2006.12.012
- Welch R.J., Anderson B.L., Litwin C.M. An evaluation of two commercially available ELISAs and one in-house reference laboratory ELISA for the determination of human anti-rabies virus antibodies. J. Med. Microbiol. 2009; 58(Pt. 6): 806–10. https://doi.org/10.1099/jmm.0.006064-0
- Cliquet F., McElhinney L.M., Servat A., Boucher J.M., Lowings J.P., Goddard T., et al. Development of a qualitative indirect ELISA for the measurement of rabies virus-specific antibodies from vaccinated dogs and cats. J. Virol. Methods. 2004; 117(1): 1–8. https://doi.org/10.1016/j.jviromet.2003.12.001
Supplementary files







