Vol 67, No 4 (2022)
REVIEWS
Epstein–Barr viral infection is a global epidemiological problem
Abstract
The number of studies devoted to Epstein-Barr viral infection (EBV infection) has been growing in recent years. However, they all relate to the clinical aspects of this problem. Epidemiology issues remain practically unexplored. A review of domestic and foreign publications has shown that at the present stage there is a high intensity of the epidemic process of EBV infection both in Russia and abroad. The main indicators of unfavorable epidemiological situation are the ubiquitous spread of the pathogen and the increase in the incidence of infectious mononucleosis in recent years. The deterioration of the epidemic situation of EBV infection is influenced by changes in the immunological reactivity of various population groups due to the spread of HIV, HBV, HCV, the causative agent of tuberculosis and SARS-CoV-2. The above makes it possible to classify the problem as a global one and determines the need for the rapid implementation of the system of epidemiological surveillance of EBV infection and optimization of the complex of preventive and anti-epidemic measures. Reducing the burden of EBV is possible only with the consolidated participation of specialists of various profiles.
265-277
The prospects for the use of drugs based on the phenomenon of RNA interference against HIV infection
Abstract
The human immunodeficiency virus (HIV) is currently one of the most pressing global health problems. Since its discovery in 1978, HIV has claimed the lives of more than 35 million people, and the number of people infected today reaches 37 million. In the absence of highly active antiretroviral therapy (HAART), HIV infection is characterized by a steady decrease in the number of CD4+ T-lymphocytes, but its manifestations can affect the central nervous, cardiovascular, digestive, endocrine and genitourinary systems. At the same time, complications induced by representatives of pathogenic and opportunistic microflora, which can lead to the development of bacterial, fungal and viral concomitant infections, are of particular danger. It should be borne in mind that an important problem is the emergence of viruses resistant to standard therapy, as well as the toxicity of the drugs themselves for the body. In the context of this review, of particular interest is the assessment of the prospects for the creation and clinical use of drugs based on small interfering RNAs aimed at suppressing the reproduction of HIV, taking into account the experience of similar studies conducted earlier. RNA interference is a cascade of regulatory reactions in eukaryotic cells, which results in the degradation of foreign messenger RNA. The development of drugs based on the mechanism of RNA interference will overcome the problem of viral resistance. Along with this, this technology makes it possible to quickly respond to outbreaks of new viral diseases.
278-289
ORIGINAL RESEARCHES
Alternative approaches to the diagnosis of African swine fever in the Russian Federation in 2017–2021
Abstract
Introduction. Prevention and control of African swine fever (ASF) transmission on the territory of the Russian Federation requires monitoring based on testing of samples from pigs and wild boars. Specific anti-ASFV antibodies are rarely detected in samples during routine serological diagnostics. Although, ASF isolates with weakened virulence were confirmed in Russia and neighboring countries.
The aim of this work was to determine the possibility of using alternative samples for ASF diagnosis and evaluate the effectiveness of the diagnostic methods used on the territory of Russia.
Materials and methods. Biological materials obtained from experimentally infected animals and samples collected in the “field” conditions were used in this study.
Results. Complex testing (RT-PCR and ELISA) is a more effective approach to diagnose chronic and asymptomatic forms of ASF compared to the separate use of these techniques. The possibility and efficiency of using alternative samples in diagnostics are demonstrated. It was confirmed that IPT method overcomes ELISA by high diagnostic sensitivity and detection of antibodies on earlier stages in extended range of samples. Anti-ASFV antibodies were detected in domestic and wild pigs in five regions of Russia. Samples from infected pigs that are negative in RT-PCR can be positive for anti-ASFV antibodies. The detection of antibodies in samples from shot wild boars (negative or uncertain in RT-PCR test) suggests the existence of animals surviving ASF infection.
Conclusion. The data obtained suggest a revision of the ASF surveillance strategy, by introducing complex diagnostic methods aimed at detection of both the virus genome and anti-ASFV antibodies simultaneously.
290-303
Determination of the optimal immunizing dose of heterologous goat pox virus vaccine (Poxviridae: Chordopoxvirinae: Capripoxvirus) against lumpy skin disease
Abstract
Introduction. Lumpy skin disease (LSD), sheep pox and goat pox are dangerous diseases of domestic ruminants. Representatives of the genus of capripoxviruses are antigenically similar and can be used as a vaccine for three infections, as in the case of representatives of the genus of orthopoxviruses, which includes viruses of smallpox, monkeypox, and cowpox, that all belong to a single family Poxviridae.
Materials and methods. In this study, the vaccine strain G20-LKV of the goat pox virus and the virulent strain RIBSP-2019/K of the LSD virus were used. The experiments were carried out on clinically healthy cattle of the Kazakh White-headed breed, aged six to eight months. Virological and serological research methods were used in the work.
Results. All immunized animals that received different doses of the vaccine showed resistance to the infection challenge, without showing any clinical signs of the disease. In animals that received the lowest doses of the vaccine 15,000, 30,000 and 40,000 TCID50, no adverse events, skin and temperature reactions were observed at the injection site. Those vaccinated with high doses of the vaccine had a local reaction in the form of swelling at the site of vaccine administration. Control animals infected with a virulent virus showed clinical signs of the cattle lumpy skin disease .
Conclusion. The vaccine, prepared based on the “G20-LKV” strain of the goat virus, is protective for cattle against infection with a virulent LSD virus at immunizing doses from 15,000 to 80,000 TCID50, which are dependent on the LSD epizootic situation in particular region.
304-309
Genetic diversity of the human immunodeficiency virus (HIV-1) in the Kaliningrad region
Abstract
Introduction. As is currently known, the epidemic process in the Kaliningrad Region was mainly associated with the spread of the recombinant form of HIV-1 (CRF03_AB); however, regular HIV importations from other countries and continents has created favorable conditions for emergence and spread of various recombinant forms of the virus.
The most complete information on the diversity of recombinant forms in the region is also necessary to understand the structure of drug resistance (DR).
The aim of the study was to explore the HIV-1 genetic diversity in the Kaliningrad Region.
Materials and methods. We studied 162 blood plasma samples obtained from patients from the Kaliningrad Region, both with confirmed virological failure of antiretroviral therapy (ART) and with newly diagnosed HIV infection. For reverse transcription and amplification of HIV genome fragments, diagnostic «AmpliSense HIVResist-Seq».
Results and discussion. The various recombinants between subtypes A and B (74%) were predominant in study group: recombinant was between CRF03_AB and subtype A (33.95%) and CRF03_AB-like (13.58%) were the most common. Among the “pure” subtypes of the virus, subtype A6 (16.67%). The circulation of subtypes B (3.70%) and G (1.23%) was also noted.
Ninety-six patients (59.26%) were identified with at least one mutation associated with antiretroviral (ARV) drug resistance.
Conclusion. The observed diversity of subtypes and recombinant forms of the virus implies that the new recombinants are actively emerging in the studied region, both between existing recombinant forms and “pure” subtypes, as well as between “pure” subtypes.
310-321
Characteristics of imported cases of Dengue fever and hemorrhagic Dengue fever in 2009–2019
Abstract
Introduction. In Russia, the approved morbidity statistics system is represented by the International Classification of Diseases of the 10th revision (ICD-10). This classification provides two forms of dengue fever (DF): dengue fever (A90) and hemorrhagic dengue (A91). Official statistics on the ratio of forms of DF is not published in open sources and this lack of information about the real ratio of the forms of DF makes it difficult to objectively assess the factors that determine the severity of this disease.
The aim: compare the clinical and epidemiological features of dengue fever and hemorrhagic dengue fever in patients hospitalized in 2009–2019 to the City Infectious Clinical Hospital No. 1, Moscow.
Materials and methods. A retrospective cohort study. We analyzed the patient database and reviewed 391 medical records of patients with diagnosed dengue fever. We compared gender, age characteristics, travel geography including information about previous visits of patients to endemic regions and dengue virus serotype. To determine the primary and re-infection rate, an analysis of IgG for the dengue virus was carried out on days 1–5 of the disease. To compare indicators, 95% confidence intervals for proportions, medians, and interquartile ranges were calculated. The significance of differences between independent samples for assessing qualitative characteristics was carried out using the criteria χ2, the odds ratio. To assess the quantitative characteristics, the Mann-Whitney test was used. Differences were considered statistically significant at p ≤ 0.05.
Results. The proportion of patients with dengue fever was 14.9% of all hospitalized with febrile illnesses that developed after international travel. Hemorrhagic dengue fever (DHF) was diagnosed in 15.7% of patients with dengue fever. DHF developed significantly more often in women, as well as in those who had history of repeated visits to endemic regions. However, DHF was also diagnosed in 10.9% of first-time travelers to tropical countries. We did not find significant differences in the rates of DHF development depending on age and dengue virus serotype. In a number of patients who had not previously traveled to endemic regions, IgG to the dengue virus were detected, which may indicate a previous infection with related flaviviruses.
Conclusion. It has been established that in the regions most visited by Russians, there is a circulation of all serotypes of the dengue virus with an annual change in the predominant serotype.
322-330
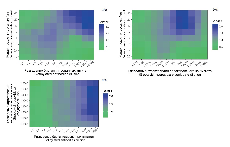
Competitive ELISA test system for the detection of antibodies to the rabies virus in animals (Rhabdoviridae: Lyssavirus)
Abstract
Introduction. The main approach to the rabies prevention is the vaccination of domestic and wild carnivores. For the routine evaluation the anti-rabies vaccination effectiveness, World Organization for Animal Health (OIE) recommends various enzyme-linked immunosorbent assays (ELISA).
The aim of the study was to design and validate a competitive ELISA (cELISA) test system for the detection of antibodies to the rabies virus (RABV).
Materials and methods. The development of the cELISA was carried out following the OIE recommendations.
Results. The repeatability of the cELISA results within one laboratory was satisfactory (coefficient of variation 7.95–13.61%). The coefficient of determination (CD) between the results of the virus neutralization reaction (FAVN) and cELISA was 0.988, p < 0.001. The lower threshold for antibody detection was less than 0.02 IU/ml. The cELISA did not demonstrate cross-reactivity against antibodies to canine distemper virus, parainfluenza virus, parvovirus, coronavirus, and canine adenovirus (types I and II). During the study of 137 dog blood sera, diagnostic specificity (DSp) and diagnostic sensitivity (DSe) for the cELISA were 83.1% and 94.9%, respectively, and CD between the cELISA and FAVN results was 0.968, p < 0.001.
Discussion. Indirect ELISA test systems for determining the level of antibodies to RABV are not sensitive enough compared to reference tests, unlike cELISA. The developed test system is not inferior for its DSp and DSe to the commercial cELISA BioPro ELISA Rabies Ab (DSp 66.7%, DSe 94.4%).
Conclusion. The developed cELISA test system can be used to detect antibodies to RABV in the blood serum of dogs for evaluating the effectiveness of mass vaccination programs.
331-340
TO VIROLOGIST’S AID
Development of a method for detection of specific antibodies to E protein of yellow fever virus (Flaviviridae: Flavivirus) by enzyme immunoassay
Abstract
Introduction. Yellow fever (YF) remains one of the most common natural focal infectious diseases in the world. In connection with the increasing tourist flow to countries endemic for YF, the discovery of stable populations of Aedes aegypti and Ae. albopictus which are the main vectors of the yellow fever virus (YFV), in the southern regions of Russia, and the fact that in medical institutions in our country it is possible to obtain a live attenuated vaccine against YF, but there is no way to evaluate the effectiveness of vaccination, the question arises of the development and implementation of diagnostic kits for detecting antibodies (AB) to the pathogen by enzyme immunoassay (ELISA).
The aim of this study was to develop a method for detecting specific IgG antibodies to the E protein of YFV by ELISA and assessing its diagnostic characteristics.
Materials and methods. A specific cDNA was synthesized by reverse transcription on an RNA template of YFV isolated on a cell culture of Aedes albopictus clone C6/36, and a fragment of the genome coding the YFV E protein was amplified and subsequently cloned into the plasmid pET160 (Thermo Fisher Scientific, USA). The resulting gene fragment was used as a DNA template to obtain a recombinant analog of the third domain of the YFV E protein in Escherichia coli cells (BL-21(DE3)). Next, the immunogenicity of the obtained antigen was evaluated and the analysis conditions were optimized.
Results. The optimal conditions for the production of the obtained recombinant E protein of YFV were determined, its specificity was confirmed by immunological methods (Western blot and ELISA), sorption buffers and blocking solutions were selected, and sensitivity and specificity of detection of antibodies to YFV using the recombinant antigen were assessed.
Conclusion. A method for the detection of specific IgG antibodies to the YFV E protein by ELISA was developed. This diagnostic kit can be used both to study the protective properties of the YF vaccine and to detect imported cases of infection in non-endemic areas.
341-350
