Assessment of the preventive effect of knockdown of cellular genes NXF1, PRPS1PRPS1 and NAA10 in influenza infection in an in vitro model
- Authors: Pashkov E.A.1,2, Shikvin D.A.3, Pashkov G.A.1,2, Nagieva F.G.1, Bogdanova E.A.2, Bykov A.S.2, Pashkov E.P.2, Svitich O.A.1,2, Zverev V.V.1,2
-
Affiliations:
- Sechenov First Moscow State Medical University of the Ministry of Health of the Russian Federation (Sechenov University)
- I.I. Mechnikov Scientific and Research Institute of Vaccines and Sera
- Moscow State University of Fine Chemical Technologies
- Issue: Vol 70, No 1 (2025)
- Pages: 66-77
- Section: ORIGINAL RESEARCHES
- URL: https://medbiosci.ru/0507-4088/article/view/287911
- DOI: https://doi.org/10.36233/0507-4088-289
- EDN: https://elibrary.ru/oqonmm
- ID: 287911
Cite item
Abstract
Introduction. Influenza is an acute respiratory viral infectious disease caused by the influenza viruses. Current preventive and therapeutic approaches are of great anti-epidemic importance, but there are a number of problems, such as the rapid emergence of resistant strains, the lack of cross-immunity and the effectiveness of vaccines. One of the approaches to the development of anti-influenza agents is the use of RNA interference and small interfering RNAs complementary to the mRNA target of viral and cellular genes.
Aim ‒ to evaluate the prophylactic anti-influenza effect of siRNAs directed to the cellular genes NXF1, PRPS1 and NAA10 in an in vitro model.
Materials and methods. Antigenic variants of influenza A virus: A/California/7/09 (H1N1), A/WSN/33 (H1N1) and A/Brisbane/59/07 (H1N1); cell cultures A549 and MDCK. The study was performed using molecular genetic (transfection, NC isolation, RT-PCR-RV) and virological (cell culture infection, titration by visual CPE, viral titer assessment using the Ramakrishnan method) methods.
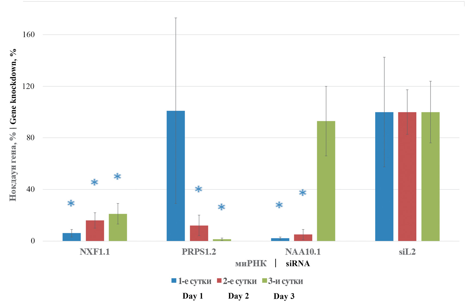
Results. It was shown that siRNAs targeting the cellular genes NXF1, PRPS1 and NAA10, when used prophylactically in cell culture at a concentration of 0.25 μg per well, during infection with influenza virus strains A/California/7/09 (H1N1), A/WSN/33 (H1N1) and A/Brisbane/59/07 (H1N1) at a multiplicity of infection of 0.01, reduced viral replication to a level of 220 TCID50 per 1 ml of cell medium, whereas in control untreated cells the viral yield was ~106 TCID50 per 1 ml of medium.
Conclusions. Reproduction of influenza A viruses directly depends on the protein products of the NXF1, PRPS1, and NAA10 genes. Reduced expression of these genes disrupts the life cycle and activity of influenza viruses. Such an approach can potentially be studied and used for closely and distantly related representatives of other virus families.
Keywords
Full Text
##article.viewOnOriginalSite##About the authors
Evgeny A. Pashkov
Sechenov First Moscow State Medical University of the Ministry of Health of the Russian Federation (Sechenov University); I.I. Mechnikov Scientific and Research Institute of Vaccines and Sera
Author for correspondence.
Email: pashckov.j@yandex.ru
ORCID iD: 0000-0002-5682-4581
Ph. D., assistant of microbiology, virology and immunology department of Sechenov University; junior researcher laboratory of virology applied of I. Mechnikov Research Institute of Vaccines and Sera
Russian Federation, 119991, Moscow; 105064, MoscowDmitry A. Shikvin
Moscow State University of Fine Chemical Technologies
Email: carrypool@gmail.com
ORCID iD: 0009-0005-9874-2081
student of the Department of Biotechnology and Industrial Pharmacy of the Institute of Fine Chemical Technologies named after M.V. Lomonosov
Russian Federation, 119454, MoscowGeorge A. Pashkov
Sechenov First Moscow State Medical University of the Ministry of Health of the Russian Federation (Sechenov University); I.I. Mechnikov Scientific and Research Institute of Vaccines and Sera
Email: georgp2004@mail.ru
ORCID iD: 0000-0003-0392-9969
student of the Institute of Children Health
Russian Federation, 119991, Moscow; 105064, MoscowFiraya G. Nagieva
Sechenov First Moscow State Medical University of the Ministry of Health of the Russian Federation (Sechenov University)
Email: fgn42@yandex.ru
ORCID iD: 0000-0001-8204-4899
MD, private-docent, The Head of laboratory of hybrid cell cultures
Russian Federation, 119991, MoscowEkaterina A. Bogdanova
I.I. Mechnikov Scientific and Research Institute of Vaccines and Sera
Email: bogdekaterin@yandex.ru
ORCID iD: 0000-0002-5620-1843
Ph. D., private-docent of Microbiology, Virology and Immunology department
Russian Federation, 105064, MoscowAnatoly S. Bykov
I.I. Mechnikov Scientific and Research Institute of Vaccines and Sera
Email: drbykov@bk.ru
ORCID iD: 0000-0002-8099-6201
MD, Professor of Microbiology, Virology and Immunology department
Russian Federation, 105064, MoscowEvgeny P. Pashkov
I.I. Mechnikov Scientific and Research Institute of Vaccines and Sera
Email: 9153183256@mail.ru
ORCID iD: 0000-0002-4963-5053
MD, Professor of Microbiology, Virology and Immunology department
Russian Federation, 105064, MoscowOxana A. Svitich
Sechenov First Moscow State Medical University of the Ministry of Health of the Russian Federation (Sechenov University); I.I. Mechnikov Scientific and Research Institute of Vaccines and Sera
Email: svitichoa@yandex.ru
ORCID iD: 0000-0003-1757-8389
Corresponding member of RAS, MD, The head of I. Mechnikov Research Institute of Vaccines and Sera; Professor of Microbiology, Virology and Immunology department of Sechenov University
Russian Federation, 119991, Moscow; 105064, MoscowVitaly V. Zverev
Sechenov First Moscow State Medical University of the Ministry of Health of the Russian Federation (Sechenov University); I.I. Mechnikov Scientific and Research Institute of Vaccines and Sera
Email: vitalyzverev@outlook.com
ORCID iD: 0000-0002-0017-1892
Academician of RAS, Doctor of Biological Sciences, Scientific Adviser of I. Mechnikov Research Institute of Vaccines and Sera; Professor, The Leader of Microbiology, Virology and Immunology department of Sechenov University
Russian Federation, 119991, Moscow; 105064, MoscowReferences
- Purcell R., Giles M.L., Crawford N.W., Buttery J. Systematic review of avian influenza virus infection and outcomes during pregnancy. Emerg. Infect. Dis. 2025; 31(1): 50–6. http://doi.org/10.3201/eid3101.241343
- Bin N.R., Prescott S.L., Horio N., Wang Y., Chiu I.M., Liberles S.D. An airway-to-brain sensory pathway mediates influenza-induced sickness. Nature. 2023; 615(7953): 660–7. http://doi.org/10.1038/s41586-023-05796-0
- Kenney A.D., Aron S.L., Gilbert C., Kumar N., Chen P., Eddy A., et al. Influenza virus replication in cardiomyocytes drives heart dysfunction and fibrosis. Sci. Adv. 2022; 8(19): eabm5371. http://doi.org/10.1126/sciadv.abm5371
- Conrad A., Valour F., Vanhems P. Burden of influenza in the elderly: a narrative review. Curr. Opin. Infect. Dis. 2023; 36(4): 296–302. http://doi.org/10.1097/QCO.0000000000000931
- Watanabe T. Renal complications of seasonal and pandemic influenza A virus infections. Eur. J. Pediatr. 2013; 172(1): 15–22. http://doi.org/10.1007/s00431-012-1854-x
- van de Veerdonk F.L., Wauters J., Verweij P.E. Invasive aspergillus tracheobronchitis emerging as a highly lethal complication of severe influenza. Am. J. Respir. Crit. Care Med. 2020; 202(5): 646–8. http://doi.org/10.1164/rccm.202005-1883ED
- Feys S., Cardinali-Benigni M., Lauwers H.M., Jacobs C., Stevaert A., Gonçalves S.M., et al. Profiling bacteria in the lungs of patients with severe influenza versus COVID-19 with or without aspergillosis. Am. J. Respir. Crit. Care Med. 2024; 210(10): 1230–42. http://doi.org/10.1164/rccm.202401-0145OC
- Białka S., Zieliński M., Latos M., Skurzyńska M., Żak M., Palaczyński P., et al. Severe bacterial superinfection of influenza pneumonia in immunocompetent young patients: case reports. J. Clin. Med. 2024; 13(19): 5665. http://doi.org/10.3390/jcm13195665
- Pleguezuelos O., James E., Fernandez A., Lopes V., Rosas L.A., Cervantes-Medina A., et al. Efficacy of FLU-v, a broad-spectrum influenza vaccine, in a randomized phase IIb human influenza challenge study. NPJ Vaccines. 2020; 5(1): 22. http://doi.org/10.1038/s41541-020-0174-9
- Isakova-Sivak I., Rudenko L. Next-generation influenza vaccines based on mRNA technology. Lancet Infect. Dis. 2025; 25(1): 2–3. http://doi.org/10.1016/S1473-3099(24)00562-0
- Hodgson D., Sánchez-Ovando S., Carolan L., Liu Y., Hadiprodjo A.J., Fox A., et al. Quantifying the impact of pre-vaccination titre and vaccination history on influenza vaccine immunogenicity. Vaccine. 2025; 44: 126579. http://doi.org/10.1016/j.vaccine.2024.126579
- Gaitonde D.Y., Moore F.C., Morgan M.K. Influenza: diagnosis and treatment. Am. Fam. Physician. 2019; 100(12): 751–8.
- Li Y., Huo S., Yin Z., Tian Z., Huang F., Liu P., et al. The current state of research on influenza antiviral drug development: drugs in clinical trial and licensed drugs. mBio. 2023; 14(5): e0127323. http://doi.org/10.1128/mbio.01273-23
- Wang J., Li Y. Current advances in antiviral RNA interference in mammals. FEBS J. 2024; 291(2): 208–16. http://doi.org/10.1111/febs.16728
- Traber G.M., Yu A.M. RNAi-based therapeutics and novel RNA bioengineering technologies. J. Pharmacol. Exp. Ther. 2023; 384(1): 133–54. http://doi.org/10.1124/jpet.122.001234
- Qureshi A., Tantray V.G., Kirmani A.R., Ahangar A.G. A review on current status of antiviral siRNA. Rev. Med. Virol. 2018; 28(4): e1976. http://doi.org/10.1002/rmv.1976
- Chokwassanasakulkit T., Oti V.B., Idris A., McMillan N.A. SiRNAs as antiviral drugs – Current status, therapeutic potential and challenges. Antiviral. Res. 2024; 232: 106024. http://doi.org/10.1016/j.antiviral.2024.106024
- Wang L., Dai X., Song H., Yuan P., Yang Z., Dong W., et al. Inhibition of porcine transmissible gastroenteritis virus infection in porcine kidney cells using short hairpin RNAs targeting the membrane gene. Virus Genes. 2017; 53(2): 226–32. http://doi.org/10.1007/s11262-016-1409-8
- Lambeth L.S., Zhao Y., Smith L.P., Kgosana L., Nair V. Targeting Marek’s disease virus by RNA interference delivered from a herpesvirus vaccine. Vaccine. 2009; 27(2): 298–306. http://doi.org/10.1016/j.vaccine.2008.10.023
- Chen W., Liu M., Jiao Y., Yan W., Wei X., Chen J., et al. Adenovirus-mediated RNA interference against foot-and-mouth disease virus infection both in vitro and in vivo. J. Virol. 2006; 80(7): 3559–66. http://doi.org/10.1128/JVI.80.7.3559-3566.2006
- Keene K.M., Foy B.D., Sanchez-Vargas I., Beaty B.J., Blair C.D., Olson K.E. RNA interference acts as a natural antiviral response to O’nyong-nyong virus (Alphavirus; Togaviridae) infection of Anopheles gambiae. Proc. Natl. Acad. Sci. USA. 2004; 101(49): 17240–5. http://doi.org/10.1073/pnas.0406983101
- Ahmed F., Kleffmann T., Husain M. Acetylation, methylation and allysine modification profile of viral and host proteins during influenza A virus infection. Viruses. 2021; 13(7): 1415. http://doi.org/10.3390/v13071415
- Izumi H. Conformational variability prediction of influenza virus hemagglutinins with amino acid mutations using supersecondary structure code. Methods. Mol. Biol. 2025; 2870: 63–78. http://doi.org/10.1007/978-1-0716-4213-9_5
- Lesch M., Luckner M., Meyer M., Weege F., Gravenstein I., Raftery M., et al. RNAi-based small molecule repositioning reveals clinically approved urea-based kinase inhibitors as broadly active antivirals. PLoS Pathog. 2019; 15(3): e1007601. http://doi.org/101371/journal.ppat.1007601
- Li X., Berg N.K., Mills T., Zhang K., Eltzschig H.K., Yuan X. Adenosine at the interphase of hypoxia and inflammation in lung injury. Front. Immunol. 2021; 11: 604944. http://doi.org/10.3389/fimmu.2020.604944
- Read E.K., Digard P. Individual influenza A virus mRNAs show differential dependence on cellular NXF1/TAP for their nuclear export. J. Gen. Virol. 2010; 91(Pt. 5): 1290–301. http://doi.org/10.1099/vir.0.018564-0
- Ramakrishnan M.A. Determination of 50% endpoint titer using a simple formula. World J. Virol. 2016; 5(2): 85–6. http://doi.org/10.5501/wjv.v5.i2.85
- Pashkov E.A., Samoilikov R.V., Pryanikov G.A., Bykov A.S., Pashkov E.P., Poddubikov A.V., et al. In vitro immunomodulatory effect of siRNA complexes in the influenza infection. Russian Journal of Immunology. 2023; 26(4): 457–62. http://doi.org/10.46235/1028-7221-13984-IVI https://elibrary.ru/byxobk (in Russian)
- Estrin M.A., Hussein I.T.M., Puryear W.B., Kuan A.C., Artim S.C., Runstadler J.A. Host-directed combinatorial RNAi improves inhibition of diverse strains of influenza A virus in human respiratory epithelial cells. PLoS One. 2018; 13(5): e0197246. http://doi.org/10.1371/journal.pone.0197246
- Faizuloev E.B. Study of antiviral activity of antisense RNAs and ribozymes in relation to infection caused by the Aleutian mink disease virus: Diss. Moscow; 2002. (in Russian)
- Lee H.K., Loh T.P., Lee C.K., Tang J.W., Chiu L., Koay E.S. A universal influenza A and B duplex real-time RT-PCR assay. J. Med. Virol. 2012; 84(10): 1646–51. http://doi.org/10.1002/jmv.23375
- Bustin S.A., Benes V., Nolan T., Pfaffl M.W. Quantitative real-time RT-PCR – a perspective. J. Mol. Endocrinol. 2005; 34(3): 597–601. http://doi.org/10.1677/jme.1.01755
- Howard C.W., Zou G., Morrow S.A., Fridman S., Racosta J.M. Wilcoxon-Mann-Whitney odds ratio: A statistical measure for ordinal outcomes such as EDSS. Mult. Scler. Relat. Disord. 2022; 59: 103516. http://doi.org/10.1016/j.msard.2022.103516
- Ge Q., Filip L., Bai A., Nguyen T., Eisen H.N., Chen J. Inhibition of influenza virus production in virus-infected mice by RNA interference. Proc. Natl. Acad. Sci. USA. 2004; 101(23): 8676–81. http://doi.org/10.1073/pnas.0402486101
- Sui H.Y., Zhao G.Y., Huang J.D., Jin D.Y., Yuen K.Y., Zheng B.J. Small interfering RNA targeting M2 gene induces effective and long-term inhibition of influenza A virus replication. PLoS One. 2009; 4(5): 5671. http://doi.org/10.1371/journal.pone.0005671
- Piasecka J., Lenartowicz E., Soszynska-Jozwiak M., Szutkowska B., Kierzek R., Kierzek E. RNA secondary structure motifs of the influenza A virus as targets for siRNA-mediated RNA interference. Mol. Ther. Nucleic. Acids. 2020; 19: 627–42. http://doi.org/10.1016/j/omtn.2019.12.018
- Zhou Y., Liu Y., Gupta S., Paramo M.I., Hou Y., Mao C., et al. A comprehensive SARS-CoV-2-human protein-protein interactome reveals COVID-19 pathobiology and potential host therapeutic targets. Nat. Biotechnol. 2023; 41(1): 128–39. http://doi.org/10.1038/s41587-022-01474-0
- Hu J., Zhang L., Liu X. Role of post-translational modifications in influenza A virus life cycle and host innate immune response. Front. Microbiol. 2020; 11: 517461. http://doi.org/10.3389/fmicb.2020.517461
- Zhang K., Cagatay T., Xie D., Angelos A.E., Cornelius S., Aksenova V., et al. Cellular NS1-BP protein interacts with the mRNA export receptor NXF1 to mediate nuclear export of influenza virus M mRNAs. J. Biol. Chem. 2024; 300(11): 107871. http://doi.org/10.1016/j.jbc.2024.107871
- Esparza M., Bhat P., Fontoura B.M. Viral-host interactions during splicing and nuclear export of influenza virus mRNAs. Curr. Opin. Virol. 2022; 55: 101254. http://doi.org/10.1016/j.coviro.2022.101254
- Dawson A.R., Wilson G.M., Coon J.J., Mehle A. Post-Translation Regulation of Influenza Virus Replication. Annu. Rev. Virol. 2020; 7(1): 167–87. http://doi.org/10.1146/annurev-virology-010320-070410
- Husain M. Influenza A virus and acetylation: the picture is becoming clearer. Viruses. 2024; 16(1): 131. http://doi.org/10.3390/v16010131
- Mei M., Cupic A., Miorin L., Ye C., Cagatay T., Zhang K., et al. Inhibition of mRNA nuclear export promotes SARS-CoV-2 pathogenesis. Proc. Natl. Acad. Sci. USA. 2024; 121(22): e2314166121. http://doi.org/10.1073/pnas.2314166121
- Zhang K., Xie Y., Muñoz-Moreno R., Wang J., Zhang L., Esparza M., et al. Structural basis for influenza virus NS1 protein block of mRNA nuclear export. Nat. Microbiol. 2019; 4(10): 1671–9. http://doi.org/10.1038/s41564-019-0482-x
- Wendt L., Brandt J., Bodmer B.S., Reiche S., Schmidt M.L., Traeger S., et al. The Ebola virus nucleoprotein recruits the nuclear RNA export factor NXF1 into inclusion bodies to facilitate viral protein expression. Cells. 2020; 9(1): 187. http://doi.org/10.3390/cells9010187
- Chen J., Umunnakwe C., Sun D.Q., Nikolaitchik O.A., Pathak V.K., Berkhout B., et al. Impact of nuclear export pathway on cytoplasmic HIV-1 RNA transport mechanism and distribution. mBio. 2020; 11(6): e01578–20. http://doi.org/10.1128/mBio.01578-20
- Guo J., Zhu Y., Ma X., Shang G., Liu B., Zhang K. Virus infection and mRNA nuclear export. Int. J. Mol. Sci. 2023; 24(16): 12593. http://doi.org/10.3390/ijms241612593
- Pak A.V., Pashkov E.A., Abramova N.D., Poddubikov A.V., Nagieva F.G., Bogdanova E.A., et al. Effect of antiviral siRNAs on the production of cytokines in vitro. Tonkie khimicheskie tekhnologii. 2022; 17(5): 384–93. https://doi.org/10.32362/2410-6593-2022-17-5-384-393 https://elibrary.ru/meflst (in Russian)
- Banerjee A., Mukherjee S., Maji B.K. Manipulation of genes could inhibit SARS-CoV-2 infection that causes COVID-19 pandemics. Exp. Biol. Med. (Maywood). 2021; 246(14): 1643–9. http://doi.org/10.1177/15353702211008106
Supplementary files




