Vol 70, No 1 (2025)
REVIEWS
Acute respiratory viral infections in monkeys
Abstract
Acute respiratory viral infections (ARVI) are one of the most significant infections affecting the breeding of monkeys, especially among imported and captive primates. Respiratory diseases are also an important cause of morbidity and mortality in wild populations, and most of these infections can affect humans. Many anthropoid species, including apes, are susceptible to ARVI. Outbreaks of spontaneous respiratory infections have been described in many zoos and primatological centers around the world. Moreover, the study of spontaneous and experimental infection in laboratory primates provides an invaluable source of information on the biology and pathogenesis of ARVI and remains an indispensable tool for testing vaccines and drugs. The aim of this literature review was to summarize and analyze published data on the circulation of ARVI causative agents (parainfluenza viruses, adenoviruses, respiratory syncytial virus, influenza viruses, rhinoviruses, coronaviruses, metapneumoviruses, bocaviruses) among wild and captive primates, as well as the results of experimental modeling these infections in monkeys.
7-24
ORIGINAL RESEARCHES
Analysis of the association of influenza clinical course with single nucleotide polymorphisms in genes affecting the interferon-λ3 production
Abstract
Introduction. Predisposition to different courses of the infectious process is largely associated with the polymorphisms in human genome, especially in genes encoding proteins of the immune system. In the early stages of influenza infection such components of innate immunity as interferons I (α/β) and III (λ) type play a significant role in limiting virus replication.
The aim of the work was to investigate associations of single nucleotide polymorphism in IFNL3 (rs8099917 T/G) and IFNL4 (rs12979860 C/T) genes with different course of influenza, and identify genetic markers of influenza complicated by community-acquired pneumonia. The genes noted above affect the production of interferon-λ3, which is involved in restriction of the viral replication.
Materials and methods. Samples from 456 patients with mild (n = 150), moderate (n = 173), and severe (n = 133) influenza were studied. The viral RNA was detected by reverse transcription and polymerase chain reaction (RT-PCR). Polymorphisms in IFNL3 (rs8099917 T/G) and IFNL4 (rs12979860 C/T) genes was detected by PCR. Statistical analysis was performed using SNPStats software.
Results. Patients with the C/T or T/T genotype of IFNL4 gene (rs12979860 C/T) were more likely to have pneumonia than those with the C/C genotype (OR 2.47 (1.31–4.63); p = 0.0044; q = 0.0059). The presence of one T allele increased the risk of developing pneumonia (OR 2.02 (1.05–4.02); p = 0.006; q = 0.008). In the presence of the T/T genotype, the risk increased more than twofold: OR 2.14 (1.31–3.48). Analysis of the SNP of IFNL3 gene (rs8099917 T/G) revealed a weak association of the G allele with pneumonia (OR 1.86 (1.04–3.31); p = 0.03; q = 0.045).
Conclusion. Genetic markers of increased risk of community-acquired pneumonia in influenza include the presence of the T allele in IFNL4 gene (rs12979860 C/T) and, to a lesser extent, the G allele in IFNL3 gene (rs8099917 T/G). Patients carrying these alleles have an increased risk of developing pneumonia, especially in old age.
25-34
Pre-clinical safety studies of intranasal virus-like particles based vaccine for prevention of COVID-19
Abstract
Introduction. The large-scale and prolonged pandemic of the novel coronavirus disease (COVID-19) has demonstrated the need for effective vaccination. Along with immunogenicity, safety is a critical issue for vaccines, as public trust can contribute to the success or failure of immunization programs. In preclinical studies, we assessed the safety of an intranasal Virus-like particle (VLP)-based vaccine in mice and rats.
The aim of the study is to conduct preclinical acute and subchronic toxicity studies assessing local tolerability of an intranasal VLP vaccine against COVID-19 in accordance with good laboratory practice.
Materials and methods. Study was performed on adult outbreed mice (30 males, 30 females) and rats (45 males, 45 females). Physiological, morphometric and histological parameters, as well as general and biochemical blood tests and urine analysis were assessed.
Results. No deaths or intoxication were recorded in the acute toxicity study on mice, all parameters were within the physiological norm. In the subchronic toxicity study on rats, no changes in the general condition, behavior, or death of animals were noted. The structure of internal organs, blood and urine tests, hemostasis did not differ significantly between the groups. No local irritant effect was detected at the injection site during visual assessment, cytological and histological analysis.
Conclusion. The VLP vaccine is safe, as evidenced by the results of preclinical studies, does not negatively affect the function of various organs, the level of cellular and biochemical biomarkers in the blood and urine of mice and rats. Visual assessment, cytology and histology of the vaccine injection site did not reveal any local irritant effect.
35-46
Detection and characterization of the Dezidougou virus (genus Negevirus) in mosquitoes (Ochlerotatus caspius) collected in the Republic of Sakha (Yakutia)
Abstract
Introduction. Monitoring and research on arthropod-borne microorganisms is important. Recently, with the development of next-generation sequencing methods, many previously unknown viruses have been identified in insects.
Aim of the study. Isolation of viruses from mosquitoes sampled in the Republic of Sakha (Yakutia), followed by the study of a new for Russia negevirus isolated from mosquitoes of the species Ochlerotatus caspius, including determination of its complete nucleotide sequence, phylogenetic and virological characteristics.
Materials and methods. Dezidougou virus isolation was performed on C6/36 (Aedes albopictus) cell culture. Electron microscopy was performed using a JEM 1400 electron microscope. Nucleotide sequence screening was performed by NGS on a high-throughput sequencer MiSeq, Illumina (USA). Full genome nucleotide sequence was determined by Sanger sequencing. Phylogenetic analysis was performed using GenBank database, using Vector NTI Advance 11 and MEGA 11 programs.
Results. The virus isolated from mosquitoes replicated efficiently in C6/36 cells, causing their death. However, it did not replicate in the mammalian cell cultures used. The isolated virus did not cause pathologic manifestations in suckling mice when infected intracerebrally. Electron microscopic examination of the purified virus-containing suspension showed the presence of spherical viral particles with a diameter of 45‒55 nm. The results of full genome sequencing identified it as belonging to Dezidougou virus, first isolated in Côte d’Ivoire. The nucleotide sequence of the genome of Yakutsk 2023 strain of Dezidougou virus was deposited in GenBank (PP975071.1).
Conclusion. Dezidougou virus of genus Negevirus was isolated and characterized for the first time in the Russian Federation. Further studies on the prevalence of negeviruses, their virological features, potential importance for public health and their impact on vector competence of vectors are important and promising.
47-56
The evaluation of the possibility of the estimation the amount of hemagglutininin in the final lots of inactivated adjuvanted influenza vaccines
Abstract
Introduction. The main quality indicator for inactivated influenza vaccines is their potency (the amount of hemagglutinin). The potency test for the influenza vaccine with the SOVIDON adjuvant is carried out in a trivalent bulk vaccine before the addition of the adjuvant. This approach has its fair share of drawbacks. The analysis of the statistical process control and stability by control charts plays an important role in the release of influenza vaccines.
The aim of the study is to compare the results of hemagglutinin quanitation in the trivalent bulk vaccine and in the final lots of influenza vaccine with SOVIDON adjuvant; as well as the analysis of the potency test results to evaluate the statistical process control.
Materials and methods. This study covered the inactivated influenza vaccine with the SOVIDON adjuvant. Both the trivalent bulks vaccine before the addition of the adjuvant and the final lots were investigated by single radial immunodiffusion assay. The software SIAMS Photolab was used to calculate the amount of hemagglutinin. Microsoft Excel was used to create the control charts using the data of the manufacturer.
Results. The data of the study confirm the absence of statistically significant differences (p < 0.05) of the content of hemagglutinin in the trivalent bulks and the final lots of the influenza vaccine. The analysis of control charts showed the presence of out-of-control signals.
Conclusion. The study has shown the possibility and feasibility of the potency testing of the influenza vaccine with the SOVIDON adjuvant. The presence of out-of-control signals on the control charts is the basis for the identification of the reasons behind the changes and for the analysis of risks of the release of a defective influenza vaccine.
57-65
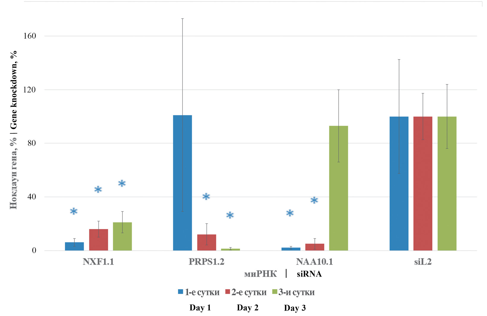
Assessment of the preventive effect of knockdown of cellular genes NXF1, PRPS1PRPS1 and NAA10 in influenza infection in an in vitro model
Abstract
Introduction. Influenza is an acute respiratory viral infectious disease caused by the influenza viruses. Current preventive and therapeutic approaches are of great anti-epidemic importance, but there are a number of problems, such as the rapid emergence of resistant strains, the lack of cross-immunity and the effectiveness of vaccines. One of the approaches to the development of anti-influenza agents is the use of RNA interference and small interfering RNAs complementary to the mRNA target of viral and cellular genes.
Aim ‒ to evaluate the prophylactic anti-influenza effect of siRNAs directed to the cellular genes NXF1, PRPS1 and NAA10 in an in vitro model.
Materials and methods. Antigenic variants of influenza A virus: A/California/7/09 (H1N1), A/WSN/33 (H1N1) and A/Brisbane/59/07 (H1N1); cell cultures A549 and MDCK. The study was performed using molecular genetic (transfection, NC isolation, RT-PCR-RV) and virological (cell culture infection, titration by visual CPE, viral titer assessment using the Ramakrishnan method) methods.
Results. It was shown that siRNAs targeting the cellular genes NXF1, PRPS1 and NAA10, when used prophylactically in cell culture at a concentration of 0.25 μg per well, during infection with influenza virus strains A/California/7/09 (H1N1), A/WSN/33 (H1N1) and A/Brisbane/59/07 (H1N1) at a multiplicity of infection of 0.01, reduced viral replication to a level of 220 TCID50 per 1 ml of cell medium, whereas in control untreated cells the viral yield was ~106 TCID50 per 1 ml of medium.
Conclusions. Reproduction of influenza A viruses directly depends on the protein products of the NXF1, PRPS1, and NAA10 genes. Reduced expression of these genes disrupts the life cycle and activity of influenza viruses. Such an approach can potentially be studied and used for closely and distantly related representatives of other virus families.
66-77
Total antibodies and neutralizing ability of convalescent sera against three different strains of SARS-CoV-2
Abstract
The aim of the study was to assess the level of humoral immunity to SARS-CoV-2 in COVID-19 convalescents.
Materials and methods. We used ELISA for antibody quantitation, microneutralization test using three SARS-CoV-2 strains for neutralizing activity measurement, Illumina MiSeq platform for NGS sequencing and NextClade resource for phylogenetic analysis.
Results. The mean concentration of antibody in convalescents was 133.42 ± 7.2 BAU/mL and the value depended on neither the gender and age of the patients, nor on the time elapsed since COVID-19 infection. The studied SARS-CoV-2 strains were sequenced and deposited in the international GISAID database. According to genetic analysis: EPI_ISL_19424272 phylogenetically belongs to the B1.1 clade, EPI_ISL_19424271 – to B.1.1.397 clade, EPI_ISL_19424270 – to Delta B.1.617.2.122. There were no significant differences in the neutralizing ability of convalescent sera (those who had been ill 2–3 months before the study) for the first two variants of SARS-CoV-2 and it was significantly reduced for the Delta variant, which appeared in the Novosibirsk region later.
Conclusions. The neutralizing activity of convalescent sera was the highest against those variants of the virus that the patient had recovered from, while was reduced or absent against the new variant. The antibody developed to the original variants of the SARS-CoV-2 may not be effective enough against newly emerging strains due to the emergence of mutations in the virus that allow it to evade previously developed humoral immune response.
78-86
Identification of orthohantaviruses detected for the first time in the Republic of Belarus
Abstract
Introduction. Monitoring of hemorrhagic fever with renal syndrome (HFRS) pathogens in the Republic of Belarus is necessary and relevant, since the number of HFRS cases in the population has increased in recent years, and genetic characteristics of the pathogens remain unidentified.
Aim of the study. Identification of orthohantaviruses circulating in the territory of the Republic of Belarus and defining of their genetic characteristics.
Materials and methods. Screening of 613 samples from small mammals caught in the territory of the Republic of Belarus was carried out by the real time PCR method using the test system «Belar-GLPS-PCR/RV». Positive samples were sequenced by the Sanger method. Comparative and phylogenetic analysis was carried out using the MegAlign programs from the Lasergene package (DNASTAR, USA) and MEGA 11.
Results. The primary screening yielded 32 PCR-positive samples (5.2%), of which 24 belonged to Puumala virus (PUUV) and 8 to Dobrava-Belgrade virus (DOBV). Three nucleotide sequences of the M-segment region of PUUV, two sequences of the 291-base pair (bp) M-segment region and one sequence of the 348-bp S-segment region of DOBV were sequenced. Comparative and phylogenetic analysis showed that the identified PUUV sequences belong to the Russian genetic lineage, to the same sublineage as the strains common in the Moscow and Kursk regions. The identified DOBV ssequences demonstrated the closest relationship to the strains from the central region of the European part of Russia.
Conclusion. The results of molecular biological analysis showed that PUUV circulates in the territory of the Republic of Belarus and is widespread. At the same time, DOBV was detected in four regions of the republic, which indicates an expansion of the range of this HFRS pathogen. In the Republic of Belarus, nucleotide sequences of orthohantaviruses were obtained for the first time and their molecular genetic analysis was carried out.
87-98
