N6-(5-phenylpentan-1-yl)adenine – a new non-competitive receptor-specific anti-cytokinin
- Authors: Zenchenko A.A.1, Savelieva E.M.2, Drenichev M.S.1, Romanov G.A.2, Oslovsky V.E.1
-
Affiliations:
- Engelhardt Institute of Molecular Biology, Russian Academy of Sciences
- Timiryazev Institute of Plant Physiology, Russian Academy of Sciences
- Issue: Vol 514, No 1 (2024)
- Pages: 107-110
- Section: Articles
- URL: https://medbiosci.ru/2686-7389/article/view/258956
- DOI: https://doi.org/10.31857/S2686738924010207
- EDN: https://elibrary.ru/KGJSNF
- ID: 258956
Cite item
Full Text
Abstract
For the first time, N6-(5-phenylpentan-1-yl)adenine, a synthetic adenine derivative with a receptor-specific anticytokinin effect, was obtained. This compound exhibits a pronounced anticytokinin effect, reducing cytokinin-induced expression of the GUS reporter gene, when interacting with the cytokinin receptor CRE1/AHK4 of the model plant Arabidopsis thaliana. This effect manifests itself much weaker with the related AHK2 receptor and is not observed at all with the AHK3 receptor. We have shown that N6-(5-phenylpentan-1-yl)adenine does not bind to the ligand-binding sites of the Arabidopsis cytokinin receptors, which does not allow it to be classified as a true cytokinin antagonist. Despite the currently unknown mechanism of action, this compound may find its use as a component of plant growth regulators. Like true anticytokinins, it enhances root growth of Arabidopsis seedlings, apparently suppressing the action of endogenous cytokinins on the “root” receptor CRE1/AHK4.
Full Text
Цитокинины – группа классических фитогормонов. Цитокининовая сигнальная система обнаружена практически у всех видов растений, в том числе у эволюционно древних [1]. Показано, что цитокинины влияют на множество процессов на протяжении всех этапов онтогенеза растений [2, 3]. Возможность управления этой системой открывает широкие перспективы для развития сельского хозяйства. Цитокинины положительно влияют на скорость роста побега, стимулируют развитие хлоропластов, задерживают старение листьев, повышают устойчивость растений к повреждающим факторам внешней среды [4]. Однако основной сложностью на пути масштабного использования цитокининов в растениеводстве является их негативное действие на рост корня [5].
Локальные манипуляции с цитокининовым сигналингом, не связанные с генетическими модификациями растений, возможны за счёт использования растительных стимуляторов и регуляторов роста. В состав таких препаратов могут быть включены рецепторспецифичные антицитокинины, способные действовать орган- и тканеспецифично.
Рецепторы – ключевые белки, определяющие силу и направленность сигналинга гормонов, в том числе цитокининов. В растении рецепторы существуют в виде семейства белков, члены которого обладают разной лигандной специфичностью и разной преимущественной локализацией в органах и тканях [6]. Селективное подавление работы «корневых» цитокининовых рецепторов (CRE1/AHK4 у арабидопсиса [7]) с помощью антицитокининов способно стимулировать рост корней [8], потенциально не влияя на стимулирующую активность цитокининов в наземных частях растений.
В немногочисленных публикациях, сообщающих об обнаружении соединений с антицитокининовым эффектом, были описаны либо основания-антагонисты [8, 9], либо соединения более сложного строения, не имеющие высокого сродства к лиганд-связывающему сайту цитокининовых рецепторов [10–12]. В данной работе нами получен N6-(5-фенилпентан-1-ил)аденин – новое N6-замещенное производное аденина с антицитокининовым действием по отношению к рецептору CRE1/АНК4. Данное соединение является структурным аналогом природного цитокинина N6-бензиладенина (БА) и характеризуется наличием гидрофобного заместителя, содержащего длинный пятичленный алифатический линкер, соединяющий фенильный остаток с аминогруппой в N6-положении аденина. Однако в отличие от уже известных антицитокининов-оснований полученное соединение не является истинным цитокининовым антагонистом.
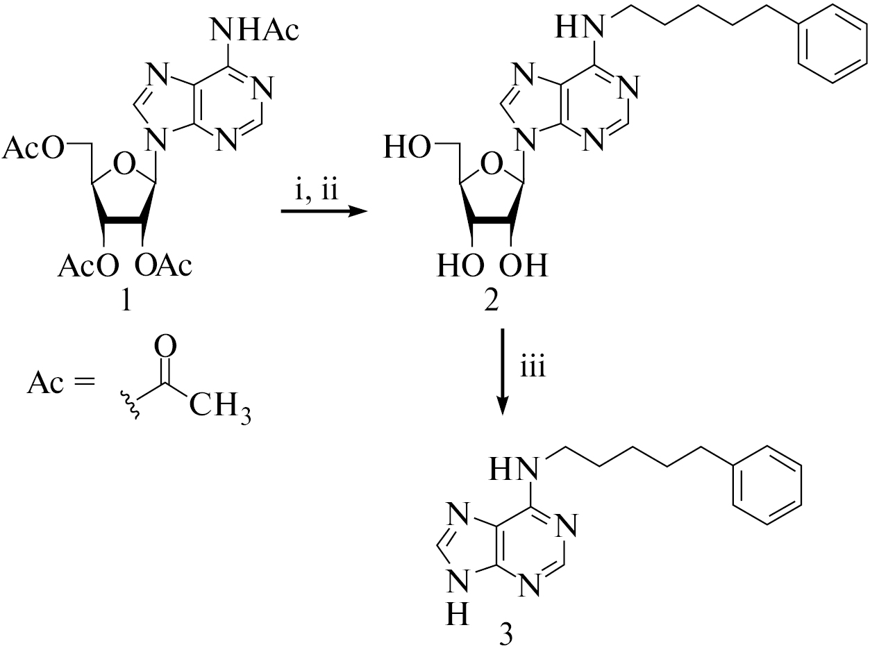
N6-(5-фенилпентан-1-ил)аденин был получен с использованием метода региоселективного алкилирования N6-ацетил-2′,3′,5′-три-O-ацетиладенозина (1) в условиях реакции Мицунобу с последующим деблокированием в основных условиях с получением нуклеозидного производного N6-(5-фенилпентан-1-ил)аденозина (2), который далее подвергали кислотному гидролизу N-гликозидной связи с получением целевого N6-(5-фенилпентан-1-ил)аденина (3) (рис. 1). Структура полученного соединения была подтверждена данными ЯМР-спектрометрии и масс-спектрометрии высокого разрешения (HRMS).
Рис. 1. Синтез N6-(5-фенилпентан‑1-ил)аденина. Реагенты и условия: i. R-OH, Ph3P, DIAD, THF, 20 °C, 48 ч; ii. 5М PrNH2/MeOH, 20 °C, 24 ч; iii. HCl, 100 °C, 3 ч.
Цитокининовая и антицитокининовая активность полученного N6-(5-фенилпентан-1-ил)аденина 3 была исследована в тест-системе на основе проростков Arabidopsis thaliana. Тестирование проводили с использованием двойных инсерционных мутантов по рецепторам цитокининов, у которых в каждом мутантном клоне активен только один из трех рецепторов (AHK2, AHK3 или CRE1/AHK4). Все используемые растения трансформированы геном GUS, который поставлен под контроль промотора гена первичного ответа на цитокинины ARR5.
Цитокининовую активность соединения 3 определяли в физиологической концентрации 10–6 М по уровню GUS-активности, отражающей интенсивность экспрессии конструкции Parr5: GUS [13], и рассчитывали в процентах от активности природного цитокинина БА в той же концентрации. Из всех полученных значений предварительно вычитали уровень GUS-активности, индуцированной эндогенными цитокининами. В результате было показано, что данное соединение не проявляет выраженной фитогормональной активности ни для одного из рецепторов цитокининов арабидопсиса.
Для проверки наличия и силы антицитокининовой активности испытывали способность соединения 3 подавлять физиологическое действие БА. При проведении биотеста на проростках мутантного арабидопсиса, экспрессирующих единственный рецептор CRE1/AHK4, было показано, что 3 достоверно ингибирует действие БА при их совместном добавлении к проросткам. При этом антицитокининовый эффект 3 зависит от его соотношения с цитокинином. При концентрации, превышающей концентрацию БА в 500 раз, N6-(5-фенилпентан-1-ил)аденин подавляет активацию рецептора CRE1/AHK4 цитокинином на ∼92 %, тогда как при более низких соотношениях эффект выражен слабее или отсутствует (рис. 2). На проростках, экспрессирующих единственный рецептор AHK2, антицитокининовый эффект 3 был зафиксирован при разнице концентраций в 500 раз и составил менее 30 %. При разнице концентраций в 100 раз и менее подавление действия БА для рецептора АНК2 не наблюдается. В отношении рецептора AHK3 N6-(5-фенилпентан-1-ил)аденин не проявляет антицитокининового эффекта.
Рис. 2. Действие различных концентраций соединения 3 на интенсивность экспрессии конструкции Parr5: GUS, активируемой БА (0.1 µМ), при взаимо- действии с рецептором CRE1/AHK4. Контроль – действие БА 0.1 µМ на тот же рецептор.
Способность N6-(5-фенилпентан-1-ил)аденина 3 непосредственно взаимодействовать с лиганд- связывающими сайтами цитокининовых рецепторов арабидопсиса было проверено радиолигандным методом с использованием растительных мембран из транзиентно трансформированных растений Nicotiana benthamiana [14]. Было показано, что исследуемое соединение не обладает сколько-нибудь значимой афинностью к сайтам связывания цитокининов указанных белков и, соответственно, не может считаться истинным цитокининовым антагонистом.
Мы проверили действие N6-(5-фенилпентан-1-ил)аденина 3 на корнеобразование растений арабидопсиса Colambia-0 в условиях in vitro. Растения были введены в стерильную культуру на стадии семян и проращивались в воде до возраста 4 дней. После этого они были перемещены на вертикальные чашки Петри с агаризованной средой MS (½ по макросолям). Добавление в среду соединения 3 в концентрации 10 µМ достоверно приводило (на 5-й день проращивания) к увеличению средней длины главных корней на 9 % по сравнению со средой без добавок.
Таким образом, N6-(5-фенилпентан-1-ил)аденин является, по всей видимости, антицитокинином, специфично взаимодействующим пока неизвестным способом с рецептором CRE1/AHK4; это взаимодействие напоминает аллостерическую регуляцию активности ферментов. В перспективе, обнаруженное соединение может быть использовано в качестве регулятора роста растений в сельском хозяйстве.
ИСТОЧНИК ФИНАНСИРОВАНИЯ
Работа выполнена при финансовой поддержке гранта РНФ № 23-24-00527. Выражаем благодарность Министерству науки и высшего образования Российской Федерации (темы № 0103-2019-0004 и № 122042700043-9).
СОБЛЮДЕНИЕ ЭТИЧЕСКИХ СТАНДАРТОВ
Работа не содержит каких-либо исследований с участием людей и животных.
КОНФЛИКТ ИНТЕРЕСОВ
Авторы не имеют конфликта интересов.
About the authors
A. A. Zenchenko
Engelhardt Institute of Molecular Biology, Russian Academy of Sciences
Author for correspondence.
Email: kolomatchenkoa@yandex.ru
Russian Federation, Moscow
E. M. Savelieva
Timiryazev Institute of Plant Physiology, Russian Academy of Sciences
Email: kolomatchenkoa@yandex.ru
Russian Federation, Moscow
M. S. Drenichev
Engelhardt Institute of Molecular Biology, Russian Academy of Sciences
Email: kolomatchenkoa@yandex.ru
Russian Federation, Moscow
G. A. Romanov
Timiryazev Institute of Plant Physiology, Russian Academy of Sciences
Email: kolomatchenkoa@yandex.ru
Russian Federation, Moscow
V. E. Oslovsky
Engelhardt Institute of Molecular Biology, Russian Academy of Sciences
Email: kolomatchenkoa@yandex.ru
Russian Federation, Moscow
References
- Spíchal L. Cytokinins – recent news and views of evolutionally old molecules // Funct. Plant Biol. 2012. Vol. 39. P. 267–84.
- Werner T., Schmülling T. Cytokinin action in plant development // Curr. Opin. Plant Biol. 2009. Vol. 12. P. 527–538.
- Gruhn N., Heyl A. Updates on the model and the evolution of cytokinin signaling // Curr. Opin. Plant Biol. 2013. Vol. 16. P. 569–574.
- Kieber J. J., Schaller G. E. Cytokinins // Arabidopsis Book, 2014. Vol. 12. P. e0168.
- Schaller G. E., Bishopp A., Kieber J. J. The yin-yang of hormones: cytokinin and auxin interactions in plant development // Plant Cell. 2015. Vol. 27. P. 44.
- Higuchi M., Pischke M. S., Mähönen A. P., et al. In planta functions of the Arabidopsis cytokinin receptor family // Proc. Natl. Acad. Sci. USA. 2004. Vol. 101. P. 8821–8826.
- Riefler M., Novak O., Strnad M., et al. Arabidopsis cytokinin receptor mutants reveal functions in shoot growth, leaf senescence, seed size, germination, root development, and cytokinin metabolism // Plant Cell. 2006. Vol. 18. P. 40.
- Spíchal L., Werner T., Popa I., et al. The purine derivative PI-55 blocks cytokinin action via receptor inhibition // FEBS J. 2009. Vol. 276. P. 244–53.
- Nisler J., Zatloukal M., Popa I., et al. Cytokinin receptor antagonists derived from 6-benzylaminopurine // Phytochem. 2010. Vol. 71 (7). P. 823–30.
- Arata Y., Nagasawa-Iida A., Uneme H., et al. The phenylquinazoline compound S-4893 is a non-competitive cytokinin antagonist that targets Arabidopsis cytokinin receptor CRE1 and promotes root growth in Arabidopsis and rice // Plant Cell Physiol. 2010. Vol. 51 (12). P. 2047–2059.
- Krivosheev D. M., Kolyachkina S. V., Mikhailov S. N., et al. N6(Benzyloxymethyl)adenosine is a novel anticytokinin, an antagonist of cytokinin receptor CRE1/AHK4 of Arabidopsis // Doklady Biochem.Biophys. 2012. Vol. 444. P. 178–181.
- Savelieva E. M., Zenchenko A. A., Drenichev M. S., et al. In planta, in vitro and in silico studies of chiral N6-benzyladenine derivatives: discovery of receptor-specific S-enantiomers with cytokinin or anticytokinin activities // Int. J. Mol. Sci. 2022. Vol. 23 (19). P. 11334.
- Zvereva S. D., Romanov G. A. Reporter genes for plant genetic engineering: characteristics and detection // Russ. J. Plant Physiol. 2000. Vol. 47. P. 424–432.
- Savelieva E. M., Lomin S. N., Romanov G. A. A modified method for quantification of cytokinin-receptor binding using isolated plant microsomes enriched with cognate transmembrane receptors // Russ. J. Plant Physiol. 2022. Vol. 69. P. 6.
Supplementary files




